Suppr超能文献

布洛芬和邻苯二甲酸二丁酯对鱼类基因表达影响的分子机制的计算分析

A computational analysis of the molecular mechanisms underlying the effects of ibuprofen and dibutyl phthalate on gene expression in fish.

作者信息

Ogunwole Germaine Akinola, Adeyemi Joseph Adewuyi, Saliu Joseph Kayode, Olorundare Kayode Emmanuel

机构信息

Department of Biology, School of Science, Federal University of Technology, Akure. P.M.B 704, Ondo, Nigeria.

Department of Zoology, Faculty of Science, University of Lagos, Akoka, Lagos, Nigeria.

出版信息

Heliyon. 2024 May 23;10(11):e31880. doi: 10.1016/j.heliyon.2024.e31880. eCollection 2024 Jun 15.

Abstract

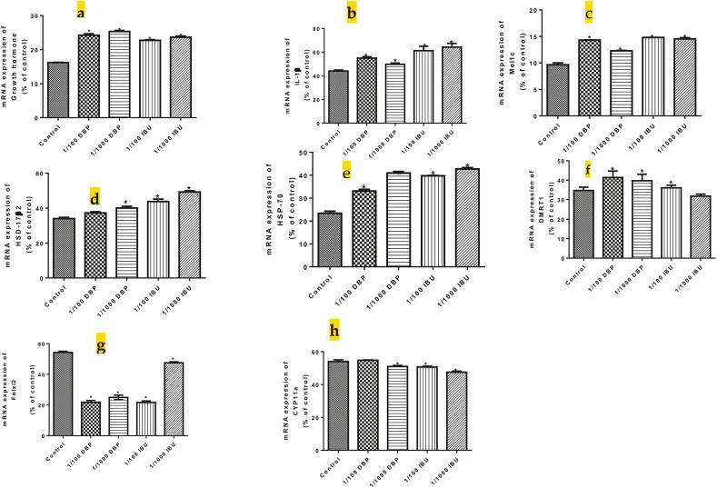
The impact of emerging pollutants such as ibuprofen and dibutyl phthalate on aquatic species is a growing concern and the need for proper assessment and evaluation of these toxicants is imperative. The objective of this study was to examine the toxicogenomic impacts of ibuprofen and dibutyl phthalate on , a widely distributed African catfish species. Results showed that exposure to the test compounds caused significant changes in gene expression, including upregulation of growth hormone, interleukin, melatonin receptors, 17β-Hydroxysteroid Dehydrogenase, heat shock protein, doublesex, and mab-3 related transcription factor. On the other hand, expression of forkhead Box Protein L2 and cytochrome P450 was downregulated, revealing a potential to induce female to male sex reversal. The binding affinities and hydrophobic interactions of the test compounds with the reference genes were also studied, showing that ibuprofen had the lowest binding energy and the highest affinity for the docked genes. Both compounds revealed a mutual molecular interaction with amino acids residues within the catalytic cavity of the docked genes. These results provide new insights into the toxic effects of ibuprofen and dibutyl phthalate on , contributing to a better understanding of the environmental impact of these pollutants

摘要

布洛芬和邻苯二甲酸二丁酯等新兴污染物对水生物种的影响日益受到关注,因此必须对这些有毒物质进行适当的评估和评价。本研究的目的是检验布洛芬和邻苯二甲酸二丁酯对一种广泛分布的非洲鲶鱼物种的毒理基因组学影响。结果表明,接触受试化合物会导致基因表达发生显著变化,包括生长激素、白细胞介素、褪黑素受体、17β-羟基类固醇脱氢酶、热休克蛋白、双性基因和mab-3相关转录因子的上调。另一方面,叉头盒蛋白L2和细胞色素P450的表达下调,揭示了诱导雌性向雄性性逆转的可能性。还研究了受试化合物与参考基因的结合亲和力和疏水相互作用,结果表明布洛芬对对接基因的结合能最低,亲和力最高。两种化合物都显示出与对接基因催化腔内的氨基酸残基存在相互分子作用。这些结果为布洛芬和邻苯二甲酸二丁酯对该物种的毒性作用提供了新的见解,有助于更好地理解这些污染物对环境的影响。

https://cdn.ncbi.nlm.nih.gov/pmc/blobs/2e1a/11153241/02274b5dc4f7/gr1.jpg

文献检索

告别复杂PubMed语法,用中文像聊天一样搜索,搜遍4000万医学文献。AI智能推荐,让科研检索更轻松。

立即免费搜索

文件翻译

保留排版,准确专业,支持PDF/Word/PPT等文件格式,支持 12+语言互译。

免费翻译文档

深度研究

AI帮你快速写综述,25分钟生成高质量综述,智能提取关键信息,辅助科研写作。

立即免费体验