Suppr超能文献

高等教育扩张的经济背景:不同群体和代际间的种族、性别与家庭财务状况

The Economic Context of Higher Education Expansion: Race, Gender, and Household Finances Across Cohorts and Generations.

作者信息

Quadlin Natasha, Conwell Jordan A, Rouhani Shiva

机构信息

Department of Sociology, University of California, Los Angeles, 264 Haines Hall, 375 Portola Plaza, Los Angeles, CA 90095, USA.

University of Texas at Austin, Austin, USA.

出版信息

J Fam Econ Issues. 2024 Jun;45(2):430-443. doi: 10.1007/s10834-023-09918-8. Epub 2023 Jul 1.

Abstract

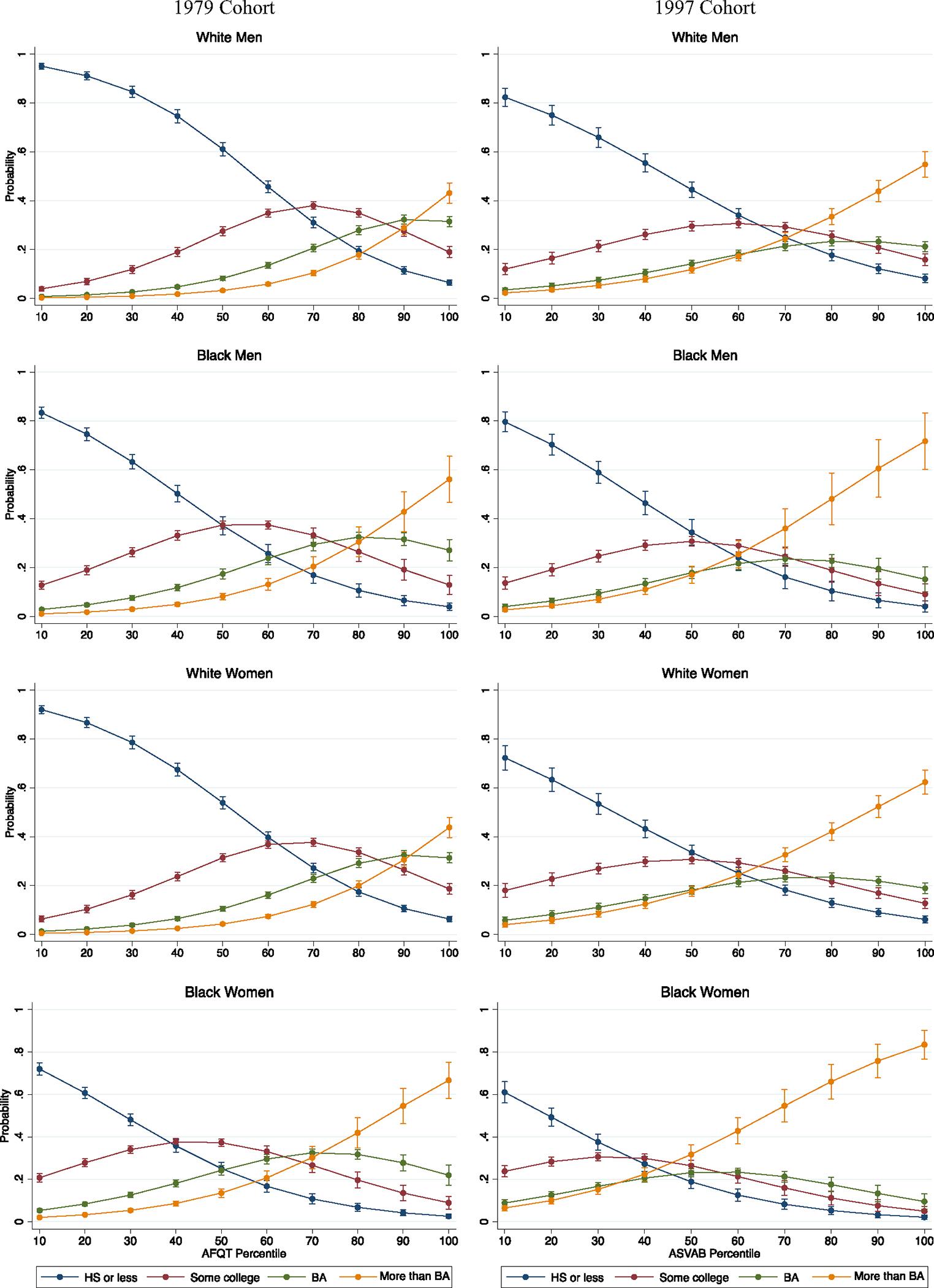
This article assesses how the economic context of higher education expansion since the mid-20th century has shaped families' financial lives-in terms of income and wealth/debt-as well as how these trends have differed for Black and White women and men. We use data from the NLSY-79 (comprising trailing-edge Baby Boomers) and NLSY-97 (comprising early Millennials) to show how academically similar students in these two cohorts fared in terms of educational attainment, household income, household wealth, and total student debt accrued by age 35. While we discuss findings across race-gender groups, our results call attention to the education-related economic disadvantages faced by Black women that have accelerated across cohorts. Over time, Black women's educational attainment has increased substantially, and high-achieving Black women, in particular, have become uniquely likely to progress beyond the BA. But while high-achieving Black women have made many advances in higher education, they also have become more likely than similarly high-achieving White men, White women, and Black men to have zero or negative wealth at the household level, and to accrue student debt for themselves and for their children. Our findings demonstrate that the costs of expanded access to credit for higher education have not been borne equally across race, gender, and achievement, and that these patterns have multigenerational financial consequences for college attendees and their families.

摘要

本文评估了自20世纪中叶以来高等教育扩张的经济背景如何塑造了家庭的财务状况——包括收入和财富/债务方面——以及这些趋势在黑人和白人女性及男性中存在哪些差异。我们使用来自全国青年纵向调查1979年队列(包括后期婴儿潮一代)和全国青年纵向调查1997年队列(包括早期千禧一代)的数据,以展示这两个队列中学业水平相似的学生在教育成就、家庭收入、家庭财富以及35岁时累积的学生债务总额方面的表现。虽然我们讨论了不同种族-性别群体的研究结果,但我们的研究结果提请人们关注黑人女性面临的与教育相关的经济劣势,这种劣势在不同队列中加速加剧。随着时间的推移,黑人女性的教育成就大幅提高,尤其是成绩优异的黑人女性,她们获得学士学位以上学历的可能性变得尤为突出。但是,尽管成绩优异的黑人女性在高等教育方面取得了许多进步,但与成绩同样优异的白人男性、白人女性和黑人男性相比,她们在家庭层面拥有零财富或负财富以及为自己和子女累积学生债务的可能性也更高。我们的研究结果表明,高等教育信贷获取机会扩大的成本在种族、性别和成就方面的承担并不均等,而且这些模式对大学参与者及其家庭具有多代人的财务影响。

https://cdn.ncbi.nlm.nih.gov/pmc/blobs/c7d2/11160938/06fd6bbb3b78/nihms-1944444-f0001.jpg

相似文献

1
The Economic Context of Higher Education Expansion: Race, Gender, and Household Finances Across Cohorts and Generations.
J Fam Econ Issues. 2024 Jun;45(2):430-443. doi: 10.1007/s10834-023-09918-8. Epub 2023 Jul 1.
3
Financial Stress, Race, and Student Debt during the Great Recession.
Soc Curr. 2021 Oct;8(5):424-445. doi: 10.1177/23294965211026692. Epub 2021 Jul 23.
4
College Graduation and Wealth Accumulation: Blacks' Diminished Returns.
World J Educ Res. 2020;7(3):1-18. doi: 10.22158/wjer.v7n3p1. Epub 2020 Jun 28.
5
Race, Gender, Higher Education, and Socioeconomic Attainment: Evidence from Baby Boomers at Midlife.
Soc Forces. 2022 Mar;100(3):990-1024. doi: 10.1093/sf/soab010. Epub 2021 Mar 2.
7
Impact of the 2008 Recession on Wealth-Adjusted Income and Inequality for U.S. Cohorts.
J Gerontol B Psychol Sci Soc Sci. 2022 Apr 1;77(4):780-789. doi: 10.1093/geronb/gbab141.
8
Household Income and Offspring Education Explain Blacks' Diminished Returns of Parental Education.
Open J Psychol. 2024;4(1):18-29. doi: 10.31586/ojp.2024.986. Epub 2024 Jul 18.
9
Blacks' Diminished Returns of Parental Education on Household Income: A Study of College Students in the US.
Open J Educ Res. 2024;4(4):187-196. doi: 10.31586/ojer.2024.1016. Epub 2024 Aug 4.
10
Student Debt Spans Generations: Characteristics of Parents Who Borrow to Pay for Their Children's College Education.
J Gerontol B Psychol Sci Soc Sci. 2017 Oct 1;72(6):1084-1089. doi: 10.1093/geronb/gbw150.

引用本文的文献

1
The Relationship Between Race and Obesity Among Non-Hispanic White and Non-Hispanic Black Men by Education Level.
Am J Mens Health. 2025 Mar-Apr;19(2):15579883251329679. doi: 10.1177/15579883251329679. Epub 2025 Mar 28.

本文引用的文献

1
DIVERGING DISPARITIES: RACE, PARENTAL INCOME, AND CHILDREN'S MATH SCORES, 1960-2009.
Sociol Educ. 2021 Apr;94(2):124-142. doi: 10.1177/0038040720963279. Epub 2021 Mar 19.
2
Financial Stress, Race, and Student Debt during the Great Recession.
Soc Curr. 2021 Oct;8(5):424-445. doi: 10.1177/23294965211026692. Epub 2021 Jul 23.
4
Back to School: Racial and Gender Differences in Adults' Participation in Formal Schooling, 1978-2013.
Demography. 2017 Jun;54(3):1147-1173. doi: 10.1007/s13524-017-0570-6.
5
The black gender gap in educational attainment: historical trends and racial comparisons.
Demography. 2011 Aug;48(3):889-914. doi: 10.1007/s13524-011-0037-0.

文献AI研究员

20分钟写一篇综述,助力文献阅读效率提升50倍。

立即体验

用中文搜PubMed

大模型驱动的PubMed中文搜索引擎

马上搜索

文档翻译

学术文献翻译模型,支持多种主流文档格式。

立即体验