Department of Pathology and Laboratory Medicine, David Geffen School of Medicine, University of California at Los Angeles, Los Angeles, California.
Department of Medicine, David Geffen School of Medicine, University of California at Los Angeles, Los Angeles, California.
Cancer Res Commun. 2024 Jul 1;4(7):1738-1747. doi: 10.1158/2767-9764.CRC-23-0564.
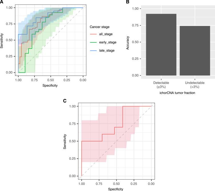
Accurate diagnosis of lung cancer is important for treatment decision-making. Tumor biopsy and histologic examination are the standard for determining histologic lung cancer subtypes. Liquid biopsy, particularly cell-free DNA (cfDNA), has recently shown promising results in cancer detection and classification. In this study, we investigate the potential of cfDNA methylome for the noninvasive classification of lung cancer histologic subtypes. We focused on the two most prevalent lung cancer subtypes, lung adenocarcinoma and lung squamous cell carcinoma. Using a fragment-based marker discovery approach, we identified robust subtype-specific methylation markers from tumor samples. These markers were successfully validated in independent cohorts and associated with subtype-specific transcriptional activity. Leveraging these markers, we constructed a subtype classification model using cfDNA methylation profiles, achieving an AUC of 0.808 in cross-validation and an AUC of 0.747 in the independent validation. Tumor copy-number alterations inferred from cfDNA methylome analysis revealed potential for treatment selection. In summary, our study demonstrates the potential of cfDNA methylome analysis for noninvasive lung cancer subtyping, offering insights for cancer monitoring and early detection.
This study explores the use of cfDNA methylomes for the classification of lung cancer subtypes, vital for effective treatment. By identifying specific methylation markers in tumor tissues, we developed a robust classification model achieving high accuracy for noninvasive subtype detection. This cfDNA methylome approach offers promising avenues for early detection and monitoring.
准确诊断肺癌对于治疗决策至关重要。肿瘤活检和组织学检查是确定组织学肺癌亚型的标准。液体活检,特别是游离 DNA(cfDNA),最近在癌症检测和分类方面显示出了有前途的结果。在这项研究中,我们研究了 cfDNA 甲基组在非侵入性肺癌组织学亚型分类中的潜力。我们专注于两种最常见的肺癌亚型,肺腺癌和肺鳞状细胞癌。使用基于片段的标志物发现方法,我们从肿瘤样本中鉴定出了具有强大亚型特异性的甲基化标志物。这些标志物在独立队列中得到了成功验证,并与亚型特异性转录活性相关。利用这些标志物,我们构建了一个基于 cfDNA 甲基化谱的亚型分类模型,在交叉验证中 AUC 为 0.808,在独立验证中 AUC 为 0.747。从 cfDNA 甲基组分析推断的肿瘤拷贝数改变揭示了治疗选择的潜力。总之,我们的研究表明 cfDNA 甲基组分析在非侵入性肺癌亚型分类中的潜力,为癌症监测和早期检测提供了新的见解。
本研究探索了 cfDNA 甲基组在肺癌亚型分类中的应用,这对有效治疗至关重要。通过在肿瘤组织中鉴定出特定的甲基化标志物,我们开发了一种稳健的分类模型,实现了非侵入性亚型检测的高准确性。这种 cfDNA 甲基组方法为早期检测和监测提供了有前途的途径。