• 文献检索
  • 文档翻译
  • 深度研究
  • 学术资讯
  • Suppr Zotero 插件Zotero 插件
  • 邀请有礼
  • 套餐&价格
  • 历史记录
应用&插件
Suppr Zotero 插件Zotero 插件浏览器插件Mac 客户端Windows 客户端微信小程序
定价
高级版会员购买积分包购买API积分包
服务
文献检索文档翻译深度研究API 文档MCP 服务
关于我们
关于 Suppr公司介绍联系我们用户协议隐私条款
关注我们

Suppr 超能文献

核心技术专利:CN118964589B侵权必究
粤ICP备2023148730 号-1Suppr @ 2026

文献检索

告别复杂PubMed语法,用中文像聊天一样搜索,搜遍4000万医学文献。AI智能推荐,让科研检索更轻松。

立即免费搜索

文件翻译

保留排版,准确专业,支持PDF/Word/PPT等文件格式,支持 12+语言互译。

免费翻译文档

深度研究

AI帮你快速写综述,25分钟生成高质量综述,智能提取关键信息,辅助科研写作。

立即免费体验

模拟大气条件下OH引发的一系列甲基丁烯醇氧化反应的气相动力学研究

Gas-Phase Kinetic Investigation of the OH-Initiated Oxidation of a Series of Methyl-Butenols under Simulated Atmospheric Conditions.

作者信息

Rusu Vasilache Ana-Maria, Roman Claudiu, Bejan Iustinian G, Arsene Cecilia, Olariu Romeo I

机构信息

Department of Chemistry, Faculty of Chemistry, "Alexandru Ioan Cuza" University of Iasi, 11 Carol I, 700506 Iasi, Romania.

Integrated Centre of Environmental Science Studies in the North Eastern Region (CERNESIM), "Alexandru Ioan Cuza" University of Iasi, 11 Carol I, 700506 Iasi, Romania.

出版信息

J Phys Chem A. 2024 Jun 20;128(24):4838-4849. doi: 10.1021/acs.jpca.4c02287. Epub 2024 Jun 10.

DOI:10.1021/acs.jpca.4c02287
PMID:38857889
原文链接:https://pmc.ncbi.nlm.nih.gov/articles/PMC11194805/
Abstract

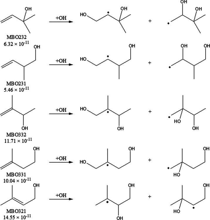
Five biogenic unsaturated alcohols have been investigated under simulated atmospheric conditions regarding their gas-phase OH reactivity. The gas-phase rate coefficients of OH radicals with 2-methyl-3-buten-2-ol (), 3-methyl-2-buten-1-ol (), 3-methyl-3-buten-1-ol (), 2-methyl-3-buten-1-ol (), and 3-methyl-3-buten-2-ol () at 298 ± 2 K and 1000 ± 10 mbar total pressure of synthetic air were determined under low- and high-NO conditions using the relative kinetic technique. The present work provides for the first time the rate coefficients of gas-phase reactions of hydroxyl radicals with 2-methyl-3-buten-1-ol and 3-methyl-3-buten-2-ol. The following rate constants were measured (in 10 cm molecule s): = 6.32 ± 0.49, = 14.55 ± 0.93, = 10.04 ± 0.78, = 5.31 ± 0.37, and = 11.71 ± 1.29. No significant differences in the measured rate coefficients were obtained when either 365 nm photolysis of CHONO in the presence of NO or 254 nm photolysis of HO was used as a source of OH radicals. Reactivity toward other classes of related compounds such as alkenes and saturated alcohols is discussed. A comparison of the structure-activity relationship (SAR) estimates derived from the available accepted methodologies with experimental data available for unsaturated alcohols is provided. Atmospheric lifetimes for the investigated series of alkenols with respect to the main atmospheric oxidants are given and discussed.

摘要

在模拟大气条件下,对五种生物源不饱和醇的气相OH反应活性进行了研究。在298±2K和合成空气总压为1000±10毫巴的条件下,使用相对动力学技术,在低NO和高NO条件下,测定了OH自由基与2-甲基-3-丁烯-2-醇()、3-甲基-2-丁烯-1-醇()、3-甲基-3-丁烯-1-醇()、2-甲基-3-丁烯-1-醇()和3-甲基-3-丁烯-2-醇()的气相速率系数。本工作首次提供了羟基自由基与2-甲基-3-丁烯-1-醇和3-甲基-3-丁烯-2-醇气相反应的速率系数。测量了以下速率常数(单位为10⁻¹²cm³·分子⁻¹·s⁻¹): = 6.32±0.49, = 14.55±0.93, = 10.04±0.78, = 5.31±0.37, = 11.71±1.29。当使用在NO存在下CH₂ONO的365nm光解或H₂O的254nm光解作为OH自由基源时,测得的速率系数没有显著差异。讨论了对其他相关化合物类别的反应活性,如烯烃和饱和醇。提供了从现有公认方法得出的结构-活性关系(SAR)估计值与不饱和醇可用实验数据的比较。给出并讨论了所研究的一系列链烯醇相对于主要大气氧化剂的大气寿命。

https://cdn.ncbi.nlm.nih.gov/pmc/blobs/bcbc/11194805/117fde5cc594/jp4c02287_0006.jpg
https://cdn.ncbi.nlm.nih.gov/pmc/blobs/bcbc/11194805/feb7356ff43b/jp4c02287_0001.jpg
https://cdn.ncbi.nlm.nih.gov/pmc/blobs/bcbc/11194805/35528a91c429/jp4c02287_0002.jpg
https://cdn.ncbi.nlm.nih.gov/pmc/blobs/bcbc/11194805/8a66ad5b9e3e/jp4c02287_0003.jpg
https://cdn.ncbi.nlm.nih.gov/pmc/blobs/bcbc/11194805/6704b6e93af9/jp4c02287_0004.jpg
https://cdn.ncbi.nlm.nih.gov/pmc/blobs/bcbc/11194805/6a8bc35a6f4c/jp4c02287_0005.jpg
https://cdn.ncbi.nlm.nih.gov/pmc/blobs/bcbc/11194805/117fde5cc594/jp4c02287_0006.jpg
https://cdn.ncbi.nlm.nih.gov/pmc/blobs/bcbc/11194805/feb7356ff43b/jp4c02287_0001.jpg
https://cdn.ncbi.nlm.nih.gov/pmc/blobs/bcbc/11194805/35528a91c429/jp4c02287_0002.jpg
https://cdn.ncbi.nlm.nih.gov/pmc/blobs/bcbc/11194805/8a66ad5b9e3e/jp4c02287_0003.jpg
https://cdn.ncbi.nlm.nih.gov/pmc/blobs/bcbc/11194805/6704b6e93af9/jp4c02287_0004.jpg
https://cdn.ncbi.nlm.nih.gov/pmc/blobs/bcbc/11194805/6a8bc35a6f4c/jp4c02287_0005.jpg
https://cdn.ncbi.nlm.nih.gov/pmc/blobs/bcbc/11194805/117fde5cc594/jp4c02287_0006.jpg

相似文献

1
Gas-Phase Kinetic Investigation of the OH-Initiated Oxidation of a Series of Methyl-Butenols under Simulated Atmospheric Conditions.模拟大气条件下OH引发的一系列甲基丁烯醇氧化反应的气相动力学研究
J Phys Chem A. 2024 Jun 20;128(24):4838-4849. doi: 10.1021/acs.jpca.4c02287. Epub 2024 Jun 10.
2
Gas-Phase Reaction Kinetic Study of a Series of Methyl-Butenols with Ozone under Atmospherically Relevant Conditions.在大气相关条件下一系列甲基丁烯醇与臭氧的气相反应动力学研究
J Phys Chem A. 2024 Aug 15;128(32):6745-6756. doi: 10.1021/acs.jpca.4c03653. Epub 2024 Aug 6.
3
Rate coefficients for the reaction of OH with a series of unsaturated alcohols between 263 and 371 K.263至371K之间OH与一系列不饱和醇反应的速率系数。
J Phys Chem A. 2008 May 15;112(19):4444-50. doi: 10.1021/jp7111186. Epub 2008 Apr 24.
4
Atmospheric Sink of (E)-3-Hexen-1-ol, (Z)-3-Hepten-1-ol, and (Z)-3-Octen-1-ol: Rate Coefficients and Mechanisms of the OH-Radical Initiated Degradation.(E)-3-己烯-1-醇、(Z)-3-庚烯-1-醇和(Z)-3-辛烯-1-醇的大气汇:OH 自由基引发降解的速率系数和机理。
Environ Sci Technol. 2015 Jul 7;49(13):7717-25. doi: 10.1021/es506125c. Epub 2015 Jun 12.
5
An experimental study of the gas-phase reaction of the NO3 radical with alpha,beta-unsaturated carbonyl compounds.硝酸根自由基与α,β-不饱和羰基化合物气相反应的实验研究。
Phys Chem Chem Phys. 2005 Feb 21;7(4):643-50. doi: 10.1039/b416574h.
6
Studies of the gas phase reactions of linalool, 6-methyl-5-hepten-2-ol and 3-methyl-1-penten-3-ol with O3 and OH radicals.香叶醇、6-甲基-5-庚烯-2-醇和 3-甲基-1-戊烯-3-醇与 O3 和 OH 自由基的气相反应研究。
J Phys Chem A. 2012 Jun 21;116(24):6113-26. doi: 10.1021/jp211355d. Epub 2012 Feb 29.
7
Comparative kinetics of the 3-buten-1-ol and 1-butene reactions with OH radicals: a density functional theory/RRKM investigation.3-丁烯-1-醇与1-丁烯和羟基自由基反应的比较动力学:密度泛函理论/RRKM研究
J Phys Chem A. 2015 Apr 2;119(13):3171-80. doi: 10.1021/jp512544x. Epub 2015 Mar 24.
8
Kinetics and mechanism of chlorine-atom-initiated oxidation of allyl alcohol, 3-buten-2-ol, and 2-methyl-3-buten-2-ol.氯原子引发的烯丙醇、3-丁烯-2-醇和 2-甲基-3-丁烯-2-醇氧化反应的动力学和机理。
J Phys Chem A. 2010 Apr 1;114(12):4224-31. doi: 10.1021/jp908104r.
9
Atmospheric chemistry of HFE-7000 (CF(3)CF (2)CF (2)OCH (3)) and 2,2,3,3,4,4,4-heptafluoro-1-butanol (CF (3)CF (2)CF (2)CH (2)OH): kinetic rate coefficients and temperature dependence of reactions with chlorine atoms.HFE-7000(CF(3)CF (2)CF (2)OCH (3))和2,2,3,3,4,4,4-七氟-1-丁醇(CF (3)CF (2)CF (2)CH (2)OH)的大气化学:与氯原子反应的动力学速率系数及温度依赖性
Environ Sci Pollut Res Int. 2008 Oct;15(7):584-91. doi: 10.1007/s11356-008-0030-3. Epub 2008 Aug 19.
10
Gas-Phase Ozone Reaction Kinetics of C-C Unsaturated Alcohols of Biogenic Interest.具有生物源重要性的 C-C 不饱和醇的气相臭氧反应动力学。
J Phys Chem A. 2022 Jul 14;126(27):4413-4423. doi: 10.1021/acs.jpca.2c02805. Epub 2022 Jul 1.

引用本文的文献

1
Gas-Phase Reaction Kinetic Study of a Series of Methyl-Butenols with Ozone under Atmospherically Relevant Conditions.在大气相关条件下一系列甲基丁烯醇与臭氧的气相反应动力学研究
J Phys Chem A. 2024 Aug 15;128(32):6745-6756. doi: 10.1021/acs.jpca.4c03653. Epub 2024 Aug 6.

本文引用的文献

1
Gas-Phase Ozone Reaction Kinetics of C-C Unsaturated Alcohols of Biogenic Interest.具有生物源重要性的 C-C 不饱和醇的气相臭氧反应动力学。
J Phys Chem A. 2022 Jul 14;126(27):4413-4423. doi: 10.1021/acs.jpca.2c02805. Epub 2022 Jul 1.
2
Simultaneous Real-Time Measurement of Isoprene and 2-Methyl-3-Buten-2-ol Emissions From Trees Using SIFT-MS.使用选择离子流动管质谱法同时实时测量树木排放的异戊二烯和2-甲基-3-丁烯-2-醇
Front Plant Sci. 2020 Nov 27;11:578204. doi: 10.3389/fpls.2020.578204. eCollection 2020.
3
Atmospheric Sink of (E)-3-Hexen-1-ol, (Z)-3-Hepten-1-ol, and (Z)-3-Octen-1-ol: Rate Coefficients and Mechanisms of the OH-Radical Initiated Degradation.
(E)-3-己烯-1-醇、(Z)-3-庚烯-1-醇和(Z)-3-辛烯-1-醇的大气汇:OH 自由基引发降解的速率系数和机理。
Environ Sci Technol. 2015 Jul 7;49(13):7717-25. doi: 10.1021/es506125c. Epub 2015 Jun 12.
4
Atmospheric chemistry of oxygenated volatile organic compounds: impacts on air quality and climate.含氧挥发性有机化合物的大气化学:对空气质量和气候的影响。
Chem Rev. 2015 May 27;115(10):3984-4014. doi: 10.1021/cr500549n. Epub 2015 Apr 1.
5
Rate coefficients for the reaction of OH radicals with cis-3-hexene: an experimental and theoretical study.
Phys Chem Chem Phys. 2015 Apr 14;17(14):8714-22. doi: 10.1039/c4cp05760k. Epub 2015 Mar 4.
6
Gas-phase rate coefficients for the OH + n-, i-, s-, and t-butanol reactions measured between 220 and 380 K: non-Arrhenius behavior and site-specific reactivity.在 220 至 380 K 之间测量的 OH + n-、i-、s-和 t-丁醇反应的气相速率系数:非 Arrhenius 行为和特定位置的反应性。
J Phys Chem A. 2013 Jun 6;117(22):4636-56. doi: 10.1021/jp402702u. Epub 2013 May 22.
7
Studies of the gas phase reactions of linalool, 6-methyl-5-hepten-2-ol and 3-methyl-1-penten-3-ol with O3 and OH radicals.香叶醇、6-甲基-5-庚烯-2-醇和 3-甲基-1-戊烯-3-醇与 O3 和 OH 自由基的气相反应研究。
J Phys Chem A. 2012 Jun 21;116(24):6113-26. doi: 10.1021/jp211355d. Epub 2012 Feb 29.
8
Kinetics and mechanism of chlorine-atom-initiated oxidation of allyl alcohol, 3-buten-2-ol, and 2-methyl-3-buten-2-ol.氯原子引发的烯丙醇、3-丁烯-2-醇和 2-甲基-3-丁烯-2-醇氧化反应的动力学和机理。
J Phys Chem A. 2010 Apr 1;114(12):4224-31. doi: 10.1021/jp908104r.
9
Photooxidation of leaf-wound oxygenated compounds, 1-penten-3-ol, (Z)-3-hexen-1-ol, and 1-penten-3-one, initiated by OH radicals and sunlight.由羟基自由基和阳光引发的叶片伤口氧化化合物、1-戊烯-3-醇、(Z)-3-己烯-1-醇和1-戊烯-3-酮的光氧化作用。
Environ Sci Technol. 2009 Mar 15;43(6):1831-7. doi: 10.1021/es8027814.
10
Rate constants for the gas-phase reactions of OH radicals with a series of C6-C14 alkenes at 299 +/- 2 K.在299±2K温度下,OH自由基与一系列C6 - C14烯烃发生气相反应的速率常数。
J Phys Chem A. 2009 Feb 5;113(5):852-7. doi: 10.1021/jp809305w.