• 文献检索
  • 文档翻译
  • 深度研究
  • 学术资讯
  • Suppr Zotero 插件Zotero 插件
  • 邀请有礼
  • 套餐&价格
  • 历史记录
应用&插件
Suppr Zotero 插件Zotero 插件浏览器插件Mac 客户端Windows 客户端微信小程序
定价
高级版会员购买积分包购买API积分包
服务
文献检索文档翻译深度研究API 文档MCP 服务
关于我们
关于 Suppr公司介绍联系我们用户协议隐私条款
关注我们

Suppr 超能文献

核心技术专利:CN118964589B侵权必究
粤ICP备2023148730 号-1Suppr @ 2026

文献检索

告别复杂PubMed语法,用中文像聊天一样搜索,搜遍4000万医学文献。AI智能推荐,让科研检索更轻松。

立即免费搜索

文件翻译

保留排版,准确专业,支持PDF/Word/PPT等文件格式,支持 12+语言互译。

免费翻译文档

深度研究

AI帮你快速写综述,25分钟生成高质量综述,智能提取关键信息,辅助科研写作。

立即免费体验

新型节拍式呼吸技术对老年急性心肌梗死后经皮冠状动脉介入治疗患者康复疗效的初步研究。

The Rehabilitation Efficacy of the Novel Metronomic Breathing Technique for Gerontic Patients After Percutaneous Coronary Intervention for Acute Myocardial Infarction-A Pilot Study.

机构信息

Department of Cardiology, Shanghai Tenth People's Hospital, Tongji University School of Medicine, Shanghai, 200072, People's Republic of China.

出版信息

Clin Interv Aging. 2024 Jun 7;19:1029-1039. doi: 10.2147/CIA.S458675. eCollection 2024.

DOI:10.2147/CIA.S458675
PMID:38863479
原文链接:https://pmc.ncbi.nlm.nih.gov/articles/PMC11166167/
Abstract

BACKGROUND

The respiratory rehabilitation technique is a crucial component of early cardiac recovery in geriatric patients with acute myocardial infarction (AMI). This study primarily investigated the effectiveness of a novel respiratory rehabilitation technique, metronomic breathing (MB), on geriatric patients after percutaneous coronary intervention for AMI and compliance with home-based rehabilitation compared to traditional respiratory rehabilitation.

METHODS

From June 2022 to March 2023, 75 acute myocardial infarction (AMI) patients admitted to the Shanghai Tenth People's Hospital Cardiovascular Department were consecutively enrolled. Ultimately, 46 patients completed the follow-up in this study-26 in the MB group and 20 in the control group-who underwent the novel MB technique and conventional abdominal breathing training. The primary endpoint of the study was left ventricular function measured by noninvasive hemodynamics three months after discharge. The secondary endpoints were compliance and quality of life after three months of home rehabilitation.

RESULTS

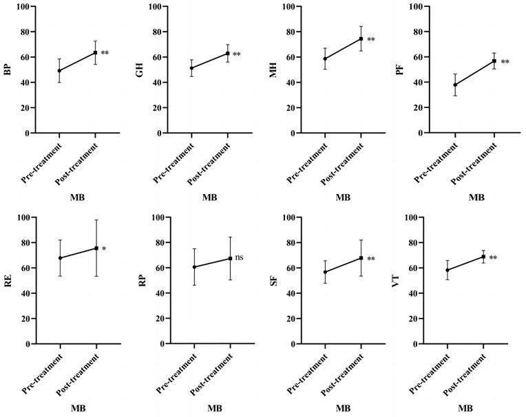
After the intervention, several cardiac functional parameters (SV, SVI, CO, CI, LCW, and LCWI), myocardial contractility parameters (VI), and systemic vascular resistance parameters (SVR and SVRI) were significantly greater in the MB group than in the preintervention group (P < 0.05). Furthermore, post-treatment, the MB group exhibited greater SV, SVI, CO, CI, and VI; lower SVR, SVRI, and SBP; and a lower readmission rate three months later than did the control group. The SF-36 scores after three months of MB intervention, PE, BP, GH, VT, SF, RE, and MH, were all significantly greater than those before treatment (P < 0.05). Moreover, the MB group displayed greater compliance with home-based cardiac rehabilitation (P < 0.05).

CONCLUSION

Compared to conventional respiratory rehabilitation training methods, short-term metronomic respiratory therapy is more effective for reducing systemic vascular resistance, enhancing left ventricular ejection function, enhancing quality of life, and increasing home-based rehabilitation compliance in geriatric patients following AMI with PCI.

摘要

背景

呼吸康复技术是老年急性心肌梗死(AMI)患者心脏早期康复的关键组成部分。本研究主要探讨了一种新的呼吸康复技术——节拍呼吸(MB)对经皮冠状动脉介入治疗(PCI)后老年 AMI 患者的有效性,以及与传统呼吸康复相比,对家庭康复的依从性。

方法

2022 年 6 月至 2023 年 3 月,连续纳入上海第十人民医院心血管科收治的 75 例急性心肌梗死(AMI)患者。最终,46 例患者完成了本研究的随访,其中 26 例患者在 MB 组,20 例患者在对照组,他们接受了新的 MB 技术和常规腹部呼吸训练。研究的主要终点是出院后三个月通过无创血流动力学测量的左心室功能。次要终点是三个月家庭康复后的依从性和生活质量。

结果

干预后,MB 组的几个心功能参数(SV、SVI、CO、CI、LCW 和 LCWI)、心肌收缩力参数(VI)和全身血管阻力参数(SVR 和 SVRI)均显著大于干预前(P<0.05)。此外,治疗后,MB 组的 SV、SVI、CO、CI 和 VI 更高,SVR、SVRI 和 SBP 更低,三个月后再入院率更低。MB 干预三个月后的 SF-36 评分、PE、BP、GH、VT、SF、RE 和 MH 均显著高于治疗前(P<0.05)。此外,MB 组在家进行心脏康复的依从性更高(P<0.05)。

结论

与传统的呼吸康复训练方法相比,短期节拍呼吸治疗对降低老年 AMI 患者 PCI 后全身血管阻力、增强左心室射血功能、提高生活质量和增加家庭康复依从性更为有效。

https://cdn.ncbi.nlm.nih.gov/pmc/blobs/a8b1/11166167/f250e1e18d3c/CIA-19-1029-g0003.jpg
https://cdn.ncbi.nlm.nih.gov/pmc/blobs/a8b1/11166167/f35a4f7bbc23/CIA-19-1029-g0001.jpg
https://cdn.ncbi.nlm.nih.gov/pmc/blobs/a8b1/11166167/2945627b283e/CIA-19-1029-g0002.jpg
https://cdn.ncbi.nlm.nih.gov/pmc/blobs/a8b1/11166167/f250e1e18d3c/CIA-19-1029-g0003.jpg
https://cdn.ncbi.nlm.nih.gov/pmc/blobs/a8b1/11166167/f35a4f7bbc23/CIA-19-1029-g0001.jpg
https://cdn.ncbi.nlm.nih.gov/pmc/blobs/a8b1/11166167/2945627b283e/CIA-19-1029-g0002.jpg
https://cdn.ncbi.nlm.nih.gov/pmc/blobs/a8b1/11166167/f250e1e18d3c/CIA-19-1029-g0003.jpg

相似文献

1
The Rehabilitation Efficacy of the Novel Metronomic Breathing Technique for Gerontic Patients After Percutaneous Coronary Intervention for Acute Myocardial Infarction-A Pilot Study.新型节拍式呼吸技术对老年急性心肌梗死后经皮冠状动脉介入治疗患者康复疗效的初步研究。
Clin Interv Aging. 2024 Jun 7;19:1029-1039. doi: 10.2147/CIA.S458675. eCollection 2024.
2
Cardiac rehabilitation in acute myocardial infarction patients after percutaneous coronary intervention: A community-based study.经皮冠状动脉介入治疗后急性心肌梗死患者的心脏康复:一项基于社区的研究。
Medicine (Baltimore). 2018 Feb;97(8):e9785. doi: 10.1097/MD.0000000000009785.
3
The non-invasive evaluation of heart function in patients with an acute myocardial infarction: The role of impedance cardiography.急性心肌梗死患者心功能的无创评估:阻抗心动图的作用。
Cardiol J. 2021;28(1):77-85. doi: 10.5603/CJ.a2019.0098. Epub 2019 Oct 23.
4
Efficacy of Buqi Huoxue Decoction Combined with Cardiac Rehabilitation Nursing after Coronary Intervention in Patients with Acute ST-Segment Elevation Myocardial Infarction and Its Influence on Prognosis.补气活血方联合心脏康复护理对急性 ST 段抬高型心肌梗死患者经皮冠状动脉介入治疗术后的疗效及其对预后的影响。
J Healthc Eng. 2022 Mar 19;2022:4008966. doi: 10.1155/2022/4008966. eCollection 2022.
5
[Application of an intervention plan based on unplanned readmission risk model in the rehabilitation of patients with acute myocardial infarction complicated with cardiogenic shock after percutaneous coronary intervention].基于非计划再入院风险模型的干预方案在急性心肌梗死合并心源性休克患者经皮冠状动脉介入治疗后康复中的应用
Zhonghua Wei Zhong Bing Ji Jiu Yi Xue. 2021 Apr;33(4):487-490. doi: 10.3760/cma.j.cn121430-20210304-00333.
6
Efficacy of Phase II Remote Home Rehabilitation in Patients with Acute Myocardial Infarction after Percutaneous Coronary Intervention.经皮冠状动脉介入治疗后急性心肌梗死患者远程家庭康复 II 期的疗效。
Contrast Media Mol Imaging. 2022 Jun 13;2022:4634769. doi: 10.1155/2022/4634769. eCollection 2022.
7
Effects of different early cardiac rehabilitation exercise treatments on the prognosis of acute myocardial infarction patients receiving percutaneous coronary intervention.不同早期心脏康复运动治疗对行经皮冠状动脉介入治疗的急性心肌梗死患者预后的影响。
Clinics (Sao Paulo). 2024 Jun 13;79:100408. doi: 10.1016/j.clinsp.2024.100408. eCollection 2024.
8
Phase I cardiac rehabilitation with 5-phase music after emergency percutaneous coronary intervention for acute myocardial infarction: A prospective randomized study.急性心肌梗死后急诊经皮冠状动脉介入治疗后进行 5 阶段音乐的 I 期心脏康复:一项前瞻性随机研究。
Medicine (Baltimore). 2023 Mar 3;102(9):e33183. doi: 10.1097/MD.0000000000033183.
9
Effect analysis of kinetic energy progressive exercise in patients with acute myocardial infarction after percutaneous coronary intervention: a randomized trial.经皮冠状动脉介入治疗后急性心肌梗死患者的动能递增运动的效果分析:一项随机试验。
Ann Palliat Med. 2021 Jul;10(7):7823-7831. doi: 10.21037/apm-21-1478.
10
[Effects of Tongxinluo Capsule on Platelet Activating Factor, Vascular Endothelial Function, Blood Flow of Thrombolysis in Myocardial Infarction in Acute Myocardial Infarction Patients after Delayed Percutaneous Coronary Intervention].通心络胶囊对急性心肌梗死患者延迟经皮冠状动脉介入治疗后心肌梗死溶栓中血小板活化因子、血管内皮功能及血流的影响
Zhongguo Zhong Xi Yi Jie He Za Zhi. 2016 Apr;36(4):415-20.

引用本文的文献

1
Index of Consciousness monitoring may effectively predict and prevent circulatory stress induced by endotracheal intubation under general anesthesia: a prospective randomized controlled trial.意识监测指数可有效预测和预防全麻下经气管插管引起的循环应激:一项前瞻性随机对照试验。
BMC Anesthesiol. 2024 Sep 6;24(1):316. doi: 10.1186/s12871-024-02701-8.

本文引用的文献

1
The prognostic value of HALP score in predicting in-hospital mortality in patients with ST-elevation myocardial infarction undergoing primary percutaneous coronary intervention.HALP 评分对行直接经皮冠状动脉介入治疗的 ST 段抬高型心肌梗死患者院内死亡率的预测价值。
Coron Artery Dis. 2023 Nov 1;34(7):483-488. doi: 10.1097/MCA.0000000000001271. Epub 2023 Jul 28.
2
Capnography-Assisted Learned, Monitored (CALM) breathing therapy for dysfunctional breathing in COPD: A bridge to pulmonary rehabilitation.用于慢性阻塞性肺疾病(COPD)呼吸功能障碍的二氧化碳波形图辅助学习、监测(CALM)呼吸疗法:通往肺康复的桥梁。
Contemp Clin Trials. 2023 Nov;134:107340. doi: 10.1016/j.cct.2023.107340. Epub 2023 Sep 18.
3
The Influence of Breathing Exercises on Regional Ventilation in Healthy and Patients with Chronic Obstructive Pulmonary Disease.
呼吸练习对健康人和慢性阻塞性肺疾病患者区域性通气的影响。
COPD. 2023 Dec;20(1):248-255. doi: 10.1080/15412555.2023.2234992.
4
Increased thoracic fluid content is associated with higher risk for pneumonia in patients undergoing maintenance hemodialysis.胸腔液含量增加与维持性血液透析患者发生肺炎的风险增加相关。
Ren Fail. 2023 Dec;45(1):2207666. doi: 10.1080/0886022X.2023.2207666.
5
Phase I cardiac rehabilitation with 5-phase music after emergency percutaneous coronary intervention for acute myocardial infarction: A prospective randomized study.急性心肌梗死后急诊经皮冠状动脉介入治疗后进行 5 阶段音乐的 I 期心脏康复:一项前瞻性随机研究。
Medicine (Baltimore). 2023 Mar 3;102(9):e33183. doi: 10.1097/MD.0000000000033183.
6
Physicians' Perceptions of and Barriers to Cardiopulmonary Rehabilitation for Heart Failure Patients in Saudi Arabia: A Cross-Sectional Study.沙特阿拉伯心力衰竭患者心脏康复的医生认知与障碍:一项横断面研究。
Int J Environ Res Public Health. 2022 Nov 17;19(22):15208. doi: 10.3390/ijerph192215208.
7
Changes in Subjective Time and Self during Meditation.冥想过程中主观时间和自我的变化。
Biology (Basel). 2022 Jul 26;11(8):1116. doi: 10.3390/biology11081116.
8
Association of Music Interventions With Health-Related Quality of Life: A Systematic Review and Meta-analysis.音乐干预与健康相关生活质量的关联:系统评价和荟萃分析。
JAMA Netw Open. 2022 Mar 1;5(3):e223236. doi: 10.1001/jamanetworkopen.2022.3236.
9
Inspiratory muscle weakness in cardiovascular diseases: Implications for cardiac rehabilitation.心血管疾病中的吸气肌功能障碍:对心脏康复的影响。
Prog Cardiovasc Dis. 2022 Jan-Feb;70:49-57. doi: 10.1016/j.pcad.2021.10.002. Epub 2021 Oct 22.
10
Music interventions for improving psychological and physical outcomes in people with cancer.音乐干预对改善癌症患者心理和生理结局的影响。
Cochrane Database Syst Rev. 2021 Oct 12;10(10):CD006911. doi: 10.1002/14651858.CD006911.pub4.