• 文献检索
  • 文档翻译
  • 深度研究
  • 学术资讯
  • Suppr Zotero 插件Zotero 插件
  • 邀请有礼
  • 套餐&价格
  • 历史记录
应用&插件
Suppr Zotero 插件Zotero 插件浏览器插件Mac 客户端Windows 客户端微信小程序
定价
高级版会员购买积分包购买API积分包
服务
文献检索文档翻译深度研究API 文档MCP 服务
关于我们
关于 Suppr公司介绍联系我们用户协议隐私条款
关注我们

Suppr 超能文献

核心技术专利:CN118964589B侵权必究
粤ICP备2023148730 号-1Suppr @ 2026

文献检索

告别复杂PubMed语法,用中文像聊天一样搜索,搜遍4000万医学文献。AI智能推荐,让科研检索更轻松。

立即免费搜索

文件翻译

保留排版,准确专业,支持PDF/Word/PPT等文件格式,支持 12+语言互译。

免费翻译文档

深度研究

AI帮你快速写综述,25分钟生成高质量综述,智能提取关键信息,辅助科研写作。

立即免费体验

内镜和手术切除后高危T1期结肠癌的复发风险:基于登记处的队列研究

Risk of recurrence in high-risk T1 colon cancer following endoscopic and surgical resection: registry-based cohort study.

作者信息

Nilsson Emelie, Wetterholm Erik, Syk Ingvar, Thorlacius Henrik, Rönnow Carl-Fredrik

机构信息

Department of Clinical Sciences, Division of Surgery, Skåne University Hospital, Lund University, Malmö, Sweden.

出版信息

BJS Open. 2024 May 8;8(3). doi: 10.1093/bjsopen/zrae053.

DOI:10.1093/bjsopen/zrae053
PMID:38869239
原文链接:https://pmc.ncbi.nlm.nih.gov/articles/PMC11170496/
Abstract

BACKGROUND

Endoscopic resection of T1 colon cancer (CC) is currently limited by guidelines related to risk of lymph node metastases. However, clinical outcome following endoscopic and surgical resection is poorly investigated.

METHOD

A retrospective multicentre national cohort study was conducted on prospectively collected data from the Swedish colorectal cancer registry on all non-pedunculated T1 CC patients undergoing surgical and endoscopic resection between 2009 and 2021. Patients were categorized on the basis of deep submucosal invasion (Sm2-3), lymphovascular invasion (LVI), poor tumour differentiation, and R1/Rx into low- and high-risk cases. The primary outcomes of interest were recurrence rates and disease-free interval (DFI, defined as time from treatment to date of recurrence) according to resection methods and risk factors (sex, age at diagnosis, histologic grade, LVI, perineural invasion, mucinous subtype, submucosal invasion, tumour location, resection margin and nodal positivity in the surgical group).

RESULTS

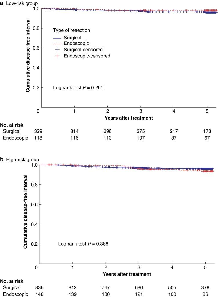
In total, 1805 patients undergoing endoscopic (488) and surgical (1317) resection with 60.0 months median follow-up were included. Recurrence occurred in 18 (3.7%) endoscopically and 48 (3.6%) surgically resected patients. Adjuvant treatment was administered in 7.4% and 0.2% of the cases respectively in the surgical and endoscopically treated patients. Five-year DFI was 95.6% after endoscopic and 96.2% after surgical resection, with no significant difference when adjusting for confounding factors (HR 1.03, 95% c.i. 0.56 to 1.91, P = 0.920). There were no statistically significant differences in recurrence comparing endoscopic (1.7%) versus surgical (3.6%) low-risk and endoscopic (5.4%) versus surgical (3.8%) high-risk cases. LVI was the only significant risk factor for recurrence in multivariate Cox regression (HR 3.73, 95% c.i. 1.76 to 7.92, P < 0.001).

CONCLUSIONS

This study shows no difference in recurrence after endoscopic and surgical resection in high-risk T1 CC. Although it was not possible to match groups according to treatment, the multivariate analysis showed that lymphovascular invasion was the only independent risk factor for recurrence.

摘要

背景

目前,T1期结肠癌(CC)的内镜切除受淋巴结转移风险相关指南限制。然而,内镜切除与手术切除后的临床结局鲜有研究。

方法

对瑞典结直肠癌登记处前瞻性收集的2009年至2021年间所有接受手术和内镜切除的无蒂T1期CC患者的数据进行一项回顾性多中心全国队列研究。根据深层黏膜下浸润(Sm2-3)、淋巴管浸润(LVI)、肿瘤分化差以及R1/Rx将患者分为低风险和高风险病例。主要关注的结局是根据切除方法和风险因素(性别、诊断时年龄、组织学分级、LVI、神经周围浸润、黏液亚型、黏膜下浸润、肿瘤位置、手术组的切缘和淋巴结阳性情况)得出的复发率和无病间期(DFI,定义为从治疗到复发日期的时间)。

结果

总共纳入了1805例接受内镜(488例)和手术(1317例)切除的患者,中位随访时间为60.0个月。内镜切除患者中有18例(3.7%)复发,手术切除患者中有48例(3.6%)复发。手术治疗和内镜治疗患者中分别有7.4%和0.2%的病例接受了辅助治疗。内镜切除后五年无病间期为95.6%,手术切除后为96.2%,调整混杂因素后无显著差异(风险比1.03,95%置信区间0.56至1.91,P = 0.920)。在内镜(1.7%)与手术(3.6%)低风险病例以及内镜(5.4%)与手术(3.8%)高风险病例的复发情况比较中,均无统计学显著差异。在多变量Cox回归分析中,LVI是复发的唯一显著风险因素(风险比3.73,95%置信区间1.76至7.92,P < 0.001)。

结论

本研究表明,高风险T1期CC患者内镜切除与手术切除后的复发情况无差异。尽管无法根据治疗方法对组进行匹配,但多变量分析显示,淋巴管浸润是复发的唯一独立风险因素。

https://cdn.ncbi.nlm.nih.gov/pmc/blobs/2145/11170496/2f1e05788dde/zrae053f3.jpg
https://cdn.ncbi.nlm.nih.gov/pmc/blobs/2145/11170496/4839ad2d7873/zrae053f1.jpg
https://cdn.ncbi.nlm.nih.gov/pmc/blobs/2145/11170496/88f87d70f7b4/zrae053f2.jpg
https://cdn.ncbi.nlm.nih.gov/pmc/blobs/2145/11170496/2f1e05788dde/zrae053f3.jpg
https://cdn.ncbi.nlm.nih.gov/pmc/blobs/2145/11170496/4839ad2d7873/zrae053f1.jpg
https://cdn.ncbi.nlm.nih.gov/pmc/blobs/2145/11170496/88f87d70f7b4/zrae053f2.jpg
https://cdn.ncbi.nlm.nih.gov/pmc/blobs/2145/11170496/2f1e05788dde/zrae053f3.jpg

相似文献

1
Risk of recurrence in high-risk T1 colon cancer following endoscopic and surgical resection: registry-based cohort study.内镜和手术切除后高危T1期结肠癌的复发风险:基于登记处的队列研究
BJS Open. 2024 May 8;8(3). doi: 10.1093/bjsopen/zrae053.
2
Endoscopic and surgical resection of T1a/T1b esophageal neoplasms: a systematic review.内镜及手术切除 T1a/T1b 食管肿瘤:系统评价。
World J Gastroenterol. 2013 Mar 7;19(9):1424-37. doi: 10.3748/wjg.v19.i9.1424.
3
Resection with en bloc removal of regional lymph node after endoscopic resection for T1 colorectal cancer.内镜切除 T1 结直肠癌后整块切除区域淋巴结。
Ann Surg Oncol. 2012 Dec;19(13):4161-7. doi: 10.1245/s10434-012-2471-7. Epub 2012 Jul 7.
4
Risk of recurrence after endoscopic resection of nonpedunculated T1 colorectal cancer.内镜切除非蒂状 T1 结直肠肿瘤后的复发风险。
Endoscopy. 2022 Nov;54(11):1071-1077. doi: 10.1055/a-1814-4434. Epub 2022 May 4.
5
Lymphovascular Infiltration, Not Depth of Invasion, is the Critical Risk Factor of Metastases in Early Colorectal Cancer: Retrospective Population-based Cohort Study on Prospectively Collected Data, Including Validation.淋巴管浸润而非浸润深度是早期结直肠癌转移的关键危险因素:前瞻性收集数据的回顾性基于人群队列研究,包括验证。
Ann Surg. 2022 Jan 1;275(1):e148-e154. doi: 10.1097/SLA.0000000000003854.
6
Factors associated with risk for colorectal cancer recurrence after endoscopic resection of T1 tumors.内镜切除 T1 肿瘤后结直肠癌复发风险的相关因素。
Clin Gastroenterol Hepatol. 2014 Feb;12(2):292-302.e3. doi: 10.1016/j.cgh.2013.08.008. Epub 2013 Aug 17.
7
The Risk of Metastatic Recurrence after Non-Curative Endoscopic Resection with Negative Deep Margins for Early Colorectal Cancer: Two-Center Retrospective Cohort Study.内镜下切缘阴性的非治愈性切除治疗早期结直肠癌后转移复发的风险:一项两中心回顾性队列研究。
Digestion. 2024;105(4):320-330. doi: 10.1159/000538557. Epub 2024 Mar 27.
8
Long-term Recurrence-free Survival After Standard Endoscopic Resection Versus Surgical Resection of Submucosal Invasive Colorectal Cancer: A Population-based Study.标准内镜切除与手术切除黏膜下浸润性结直肠癌的长期无复发生存率比较:一项基于人群的研究。
Clin Gastroenterol Hepatol. 2017 Mar;15(3):403-411.e1. doi: 10.1016/j.cgh.2016.08.041. Epub 2016 Sep 5.
9
Clinical features and prognosis of early colorectal cancer treated by endoscopic mucosal resection.内镜黏膜切除术治疗早期结直肠癌的临床特征及预后。
J Gastroenterol Hepatol. 2011 Nov;26(11):1619-25. doi: 10.1111/j.1440-1746.2011.06749.x.
10
Recurrence Risk After Up-to-Date Colon Cancer Staging, Surgery, and Pathology: Analysis of the Entire Swedish Population.更新后的结肠癌分期、手术和病理学后复发风险:对整个瑞典人群的分析。
Dis Colon Rectum. 2018 Sep;61(9):1016-1025. doi: 10.1097/DCR.0000000000001158.

引用本文的文献

1
Salvage Surgery After Non-Curative Endoscopic Submucosal Dissection for Early Colorectal Cancer: A Comprehensive Review.早期结直肠癌非根治性内镜黏膜下剥离术后的挽救性手术:综述
J Clin Med. 2025 Sep 8;14(17):6343. doi: 10.3390/jcm14176343.

本文引用的文献

1
Endoscopic submucosal dissection for superficial gastrointestinal lesions: European Society of Gastrointestinal Endoscopy (ESGE) Guideline - Update 2022.用于浅表性胃肠道病变的内镜黏膜下剥离术:欧洲胃肠内镜学会(ESGE)指南 - 2022年更新版
Endoscopy. 2022 Jun;54(6):591-622. doi: 10.1055/a-1811-7025. Epub 2022 May 6.
2
Risk of recurrence after endoscopic resection of nonpedunculated T1 colorectal cancer.内镜切除非蒂状 T1 结直肠肿瘤后的复发风险。
Endoscopy. 2022 Nov;54(11):1071-1077. doi: 10.1055/a-1814-4434. Epub 2022 May 4.
3
Deep Submucosal Invasion Is Not an Independent Risk Factor for Lymph Node Metastasis in T1 Colorectal Cancer: A Meta-Analysis.
深度黏膜下浸润不是 T1 结直肠癌淋巴结转移的独立危险因素:一项荟萃分析。
Gastroenterology. 2022 Jul;163(1):174-189. doi: 10.1053/j.gastro.2022.04.010. Epub 2022 Apr 15.
4
The Risk Analyses of Lymph Node Metastasis and Recurrence for Submucosal Invasive Colorectal Cancer: Novel Criteria to Skip Completion Surgery.黏膜下浸润性结直肠癌淋巴结转移及复发的风险分析:避免根治性手术的新标准
Cancers (Basel). 2022 Feb 6;14(3):822. doi: 10.3390/cancers14030822.
5
Clinical outcome of non-curative endoscopic submucosal dissection for early colorectal cancer.早期结直肠癌非根治性内镜黏膜下剥离术的临床结局
Gut. 2022 Sep 7;71(10):1998-2004. doi: 10.1136/gutjnl-2020-323897.
6
Colorectal cancer incidence, mortality, and stage distribution in European countries in the colorectal cancer screening era: an international population-based study.结直肠癌筛查时代欧洲国家结直肠癌发病、死亡和分期分布:一项基于人群的国际研究。
Lancet Oncol. 2021 Jul;22(7):1002-1013. doi: 10.1016/S1470-2045(21)00199-6. Epub 2021 May 25.
7
Long-Term Outcomes of T1 Colorectal Cancer after Endoscopic Resection.内镜切除术后T1期结直肠癌的长期预后
J Clin Med. 2020 Jul 31;9(8):2451. doi: 10.3390/jcm9082451.
8
Lymphovascular Infiltration, Not Depth of Invasion, is the Critical Risk Factor of Metastases in Early Colorectal Cancer: Retrospective Population-based Cohort Study on Prospectively Collected Data, Including Validation.淋巴管浸润而非浸润深度是早期结直肠癌转移的关键危险因素:前瞻性收集数据的回顾性基于人群队列研究,包括验证。
Ann Surg. 2022 Jan 1;275(1):e148-e154. doi: 10.1097/SLA.0000000000003854.
9
The 2019 WHO classification of tumours of the digestive system.2019年世界卫生组织消化系统肿瘤分类。
Histopathology. 2020 Jan;76(2):182-188. doi: 10.1111/his.13975. Epub 2019 Nov 13.
10
Additional Surgical Resection After Endoscopic Resection for Patients With High-risk T1 Colorectal Cancer.内镜切除后对高危 T1 结直肠癌患者进行额外的外科切除。
In Vivo. 2019 Jul-Aug;33(4):1243-1248. doi: 10.21873/invivo.11596.