Biomedical and Instrumentation Engineering, Abdullah Al Salem University, Khalidiya, Kuwait.
Physical Medicine and Rehabilitation Department, Northwestern University, 345 East Superior Street, Chicago, IL, 60611, USA.
Sci Rep. 2024 Jun 14;14(1):13777. doi: 10.1038/s41598-024-63745-x.
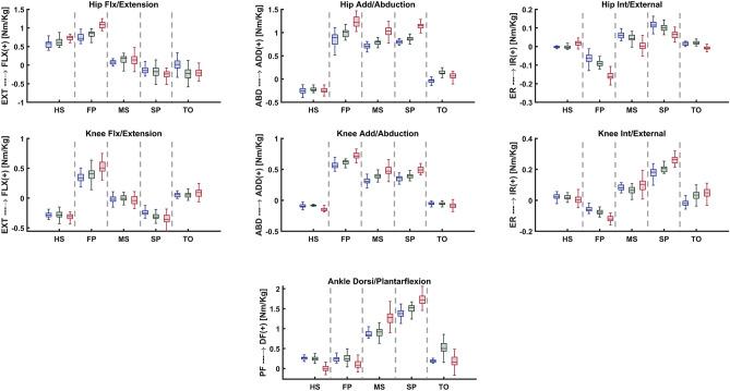
Knee osteoarthritis (OA) and obesity are major public health concerns that are closely intertwined. This intimate relationship was documented by considering obesity as the most significant preventable risk factor associated with knee OA. To date, however, the effects of obesity on the knee joint's passive-active structure and cartilage loading have been inconclusive. Hence, this study investigates the intricate relationship between obesity and knee OA, centering on the biomechanical changes in knee joint active and passive reactions during the stance phase of gait. Using a subject-specific musculoskeletal and finite element approach, muscle forces, ligament stresses, and articular cartilage contact stresses were analyzed among 60 individuals with different body mass indices (BMI) classified under healthy weight, overweight, and obese categories. Our predicted results showed that obesity significantly influenced knee joint mechanical reaction, increasing muscle activations, ligament loading, and articular cartilage contact stresses, particularly during key instances of the gait cycle-first and second peak loading instances. The study underscores the critical role of excessive body weight in exacerbating knee joint stress distribution and cartilage damage. Hence, the insights gained provide a valuable biomechanical perspective on the interaction between body weight and knee joint health, offering a clinical utility in assessing the risks associated with obesity and knee OA.
膝关节骨关节炎(OA)和肥胖是两个主要的公共健康问题,它们之间存在密切联系。考虑到肥胖是与膝关节 OA 相关的最主要的可预防风险因素,这一密切关系已得到证实。然而,迄今为止,肥胖对膝关节被动-主动结构和软骨负荷的影响尚无定论。因此,本研究以步态站立阶段膝关节主动和被动反应的生物力学变化为中心,探讨肥胖与膝关节 OA 之间的复杂关系。本研究采用基于个体的肌肉骨骼和有限元方法,分析了 60 名不同体重指数(BMI)个体的肌肉力量、韧带应力和关节软骨接触应力,这些个体被分为健康体重、超重和肥胖三类。我们的预测结果表明,肥胖显著影响膝关节力学反应,增加肌肉激活、韧带负荷和关节软骨接触应力,特别是在步态周期的关键时刻——第一和第二峰值负荷时刻。这项研究强调了超重对膝关节应力分布和软骨损伤的加重作用。因此,这些研究结果为体重与膝关节健康之间的相互作用提供了有价值的生物力学视角,在评估肥胖与膝关节 OA 相关风险方面具有临床应用价值。