Suppr超能文献

突然断奶和围栏断奶方法对牛应激反应、体重增加及行为的影响

The Impact of Abrupt and Fenceline-Weaning Methods on Cattle Stress Response, Live Weight Gain, and Behaviour.

作者信息

Mac Sarah E, Lomax Sabrina, Doughty Amanda K, Thomson Peter C, Clark Cameron E F

机构信息

Livestock Production and Welfare Group, School of Life and Environmental Sciences, Faculty of Science, The University of Sydney, Camden, NSW 2570, Australia.

Allflex Australia Pty Ltd., 33 Neumann Road, Capalaba, QLD 4157, Australia.

出版信息

Animals (Basel). 2024 May 22;14(11):1525. doi: 10.3390/ani14111525.

Abstract

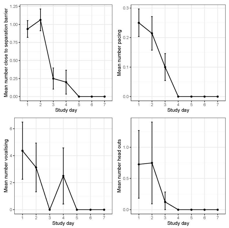
The impact of abrupt (AB) and fenceline (FL) weaning methods on cattle stress response, live weight gain, and behaviour were determined across 14 days. Thirty-two cow-calf pairs were fitted with ear tag sensors (to continuously record behaviour) and allocated to two weaning treatments. After separation, FL calves were maintained in a pen adjacent to the FL cow paddock. The AB calves were transported to a pen removing all contact with the cows. After 7 d, FL cows were transported away from all calf pens. Body weights and salivary samples were collected for all animals on experimental days 0, 7, and 14. Fenceline-weaned calves had a greater duration of rest and rumination with reduced high activity across the first 3 days after separation as compared to abruptly weaned calves in line with the greater occurrences of pacing observed for AB calves. Fenceline-separated cows had greater levels of rest across the first 7 days but similar levels of rumination compared to abruptly separated cows. Fenceline-separated cow activity levels tended to be greater and eating levels were similar across the first three days. Body weight (BW) and cortisol concentrations were similar for AB and FL cattle, but FL cows had lower overall weight gain than the abrupt cows likely due to reduced eating time on days four to seven. Together, these results suggest that calves be fenceline-weaned for three days followed by total separation.

摘要

在14天内确定了突然断奶(AB)和围栏断奶(FL)方法对牛应激反应、体重增加和行为的影响。32对母牛-犊牛佩戴了耳标传感器(以持续记录行为),并分配到两种断奶处理方式。分离后,FL组犊牛被饲养在与FL组母牛围场相邻的围栏中。AB组犊牛被运到一个与母牛完全隔离的围栏中。7天后,FL组母牛被运离所有犊牛围栏。在实验的第0天、第7天和第14天,对所有动物采集体重和唾液样本。与突然断奶的犊牛相比,围栏断奶的犊牛在分离后的前3天休息和反刍时间更长,高活动时间减少,这与观察到的AB组犊牛踱步现象更多一致。与突然分离的母牛相比,围栏分离的母牛在最初7天休息水平更高,但反刍水平相似。围栏分离的母牛在前三天的活动水平往往更高,进食水平相似。AB组和FL组牛的体重(BW)和皮质醇浓度相似,但FL组母牛的总体体重增加低于突然断奶的母牛,这可能是由于在第4至7天进食时间减少所致。总之,这些结果表明犊牛应先采用围栏断奶3天,然后再完全分离。

https://cdn.ncbi.nlm.nih.gov/pmc/blobs/a12b/11171169/f91a18f31b3d/animals-14-01525-g001.jpg

相似文献

4
Minimizing cows' stress when calves were early weaned using the two-step method with nose flaps.
Animal. 2016 Nov;10(11):1871-1876. doi: 10.1017/S1751731116000793. Epub 2016 Apr 29.
7
Behavioral responses to cow and calf separation: separation at 1 and 100 days after birth.
Anim Biosci. 2023 May;36(5):810-817. doi: 10.5713/ab.22.0257. Epub 2022 Nov 14.
9
Artificial shade as a heat abatement strategy to grazing beef cow-calf pairs in a subtropical climate.
PLoS One. 2023 Jul 19;18(7):e0288738. doi: 10.1371/journal.pone.0288738. eCollection 2023.

引用本文的文献

1
Welfare of beef cattle.
EFSA J. 2025 Jul 25;23(7):e9518. doi: 10.2903/j.efsa.2025.9518. eCollection 2025 Jul.

本文引用的文献

2
Salivary cortisol as a non-invasive approach to assess stress in dystocic dairy calves.
Sci Rep. 2021 Mar 18;11(1):6200. doi: 10.1038/s41598-021-85666-9.
3
Ultrawide band microwave system as a non-invasive technology to predict beef carcase fat depth.
Meat Sci. 2021 Sep;179:108455. doi: 10.1016/j.meatsci.2021.108455. Epub 2021 Jan 30.
4
Vocal production in postpartum dairy cows: Temporal organization and association with maternal and stress behaviors.
J Dairy Sci. 2021 Jan;104(1):826-838. doi: 10.3168/jds.2020-18891. Epub 2020 Oct 31.
6
Using animal-mounted sensor technology and machine learning to predict time-to-calving in beef and dairy cows.
Animal. 2020 Jun;14(6):1304-1312. doi: 10.1017/S1751731119003380. Epub 2020 Jan 13.
7
How Can We Assess Positive Welfare in Ruminants?
Animals (Basel). 2019 Oct 2;9(10):758. doi: 10.3390/ani9100758.
8
Comparison of effects of four weaning methods on health and performance of beef calves.
Animal. 2020 Jan;14(1):161-170. doi: 10.1017/S1751731119001228. Epub 2019 Jun 17.
9
Invited review: A systematic review of the effects of prolonged cow-calf contact on behavior, welfare, and productivity.
J Dairy Sci. 2019 Jul;102(7):5765-5783. doi: 10.3168/jds.2018-16021. Epub 2019 May 15.
10
Relationship between saliva and blood cortisol in handled cows.
Asian-Australas J Anim Sci. 2019 May;32(5):734-741. doi: 10.5713/ajas.18.0151. Epub 2018 Jul 26.

文献AI研究员

20分钟写一篇综述,助力文献阅读效率提升50倍。

立即体验

用中文搜PubMed

大模型驱动的PubMed中文搜索引擎

马上搜索

文档翻译

学术文献翻译模型,支持多种主流文档格式。

立即体验