• 文献检索
  • 文档翻译
  • 深度研究
  • 学术资讯
  • Suppr Zotero 插件Zotero 插件
  • 邀请有礼
  • 套餐&价格
  • 历史记录
应用&插件
Suppr Zotero 插件Zotero 插件浏览器插件Mac 客户端Windows 客户端微信小程序
定价
高级版会员购买积分包购买API积分包
服务
文献检索文档翻译深度研究API 文档MCP 服务
关于我们
关于 Suppr公司介绍联系我们用户协议隐私条款
关注我们

Suppr 超能文献

核心技术专利:CN118964589B侵权必究
粤ICP备2023148730 号-1Suppr @ 2026

文献检索

告别复杂PubMed语法,用中文像聊天一样搜索,搜遍4000万医学文献。AI智能推荐,让科研检索更轻松。

立即免费搜索

文件翻译

保留排版,准确专业,支持PDF/Word/PPT等文件格式,支持 12+语言互译。

免费翻译文档

深度研究

AI帮你快速写综述,25分钟生成高质量综述,智能提取关键信息,辅助科研写作。

立即免费体验

蛤壳衍生的羟基磷灰石:一种光催化降解纺织工业中模型污染物的绿色方法。

Clam Shell-Derived Hydroxyapatite: A Green Approach for the Photocatalytic Degradation of a Model Pollutant from the Textile Industry.

作者信息

Matei Brazdis Roxana Ioana, Baroi Anda Maria, Fistos Toma, Fierascu Irina, Grapin Maria, Raditoiu Valentin, Raduly Florentina Monica, Nicolae Cristian Andi, Fierascu Radu Claudiu

机构信息

National Institute for Research & Development in Chemistry and Petrochemistry-ICECHIM Bucharest, 202 Spl. Independentei, 060021 Bucharest, Romania.

Faculty of Chemical Engineering and Biotechnologies, National University of Science and Technology Politehnica Bucharest, 1-7 Gh. Polizu Str., 011061 Bucharest, Romania.

出版信息

Materials (Basel). 2024 May 22;17(11):2492. doi: 10.3390/ma17112492.

DOI:10.3390/ma17112492
PMID:38893756
原文链接:https://pmc.ncbi.nlm.nih.gov/articles/PMC11172594/
Abstract

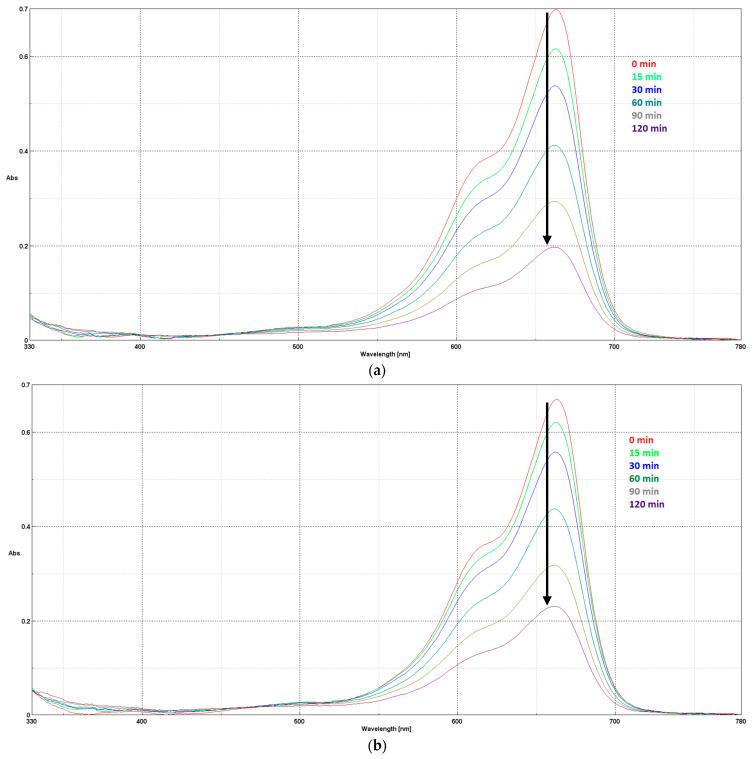
This work aims to evaluate the potential use of natural wastes (in particular, clam shells) to synthesize one of the most well-known and versatile materials from the phosphate mineral group, hydroxyapatite (HAP). The obtained material was characterized in terms of morphology and composition using several analytical methods (scanning electron microscopy-SEM, X-ray diffraction-XRD, X-ray fluorescence-XRF, Fourier transform infrared spectroscopy-FTIR, thermal analysis-TGA, and evaluation of the porosity and specific surface characteristics by the Brunauer-Emmett-Teller-BET method) in order to confirm the successful synthesis of the material and to evaluate the presence of potential secondary phases. The developed material was further doped with iron oxide (HAP-Fe) using a microwave-assisted method, and both materials were evaluated in terms of photocatalytic activity determined by the photodecomposition of methylene blue (MB) which served as a contaminant model. The best results (approx. 33% MB degradation efficiency, after 120 min. of exposure) were obtained for the hydroxyapatite material, superior to the HAP-Fe composite (approx. 27%). The utilization of hydroxyapatite obtained from clam shells underscores the importance of sustainable and eco-friendly practices in materials syntheses. By repurposing waste materials from the seafood industry, we not only reduce environmental impact, but also create a valuable resource with diverse applications, contributing to advancements in both healthcare and environmental protection.

摘要

这项工作旨在评估利用天然废物(特别是蛤壳)合成磷酸盐矿物组中最著名且用途广泛的材料之一——羟基磷灰石(HAP)的潜在可能性。使用多种分析方法(扫描电子显微镜-SEM、X射线衍射-XRD、X射线荧光-XRF、傅里叶变换红外光谱-FTIR、热分析-TGA以及通过布鲁瑙尔-埃米特-泰勒-BET法评估孔隙率和比表面积特性)对所得材料的形态和组成进行表征,以确认材料的成功合成并评估潜在次生相的存在。采用微波辅助法对所制备的材料进一步掺杂氧化铁(HAP-Fe),并通过以亚甲基蓝(MB)作为污染物模型的光分解来测定光催化活性,对这两种材料进行评估。羟基磷灰石材料取得了最佳结果(暴露120分钟后,MB降解效率约为33%),优于HAP-Fe复合材料(约27%)。利用从蛤壳中获得的羟基磷灰石突出了材料合成中可持续和环保做法的重要性。通过将海产品行业的废料重新利用,我们不仅减少了对环境的影响,还创造了一种具有多种应用的宝贵资源,为医疗保健和环境保护的进步做出了贡献。

https://cdn.ncbi.nlm.nih.gov/pmc/blobs/dae1/11172594/7788a489823a/materials-17-02492-g010.jpg
https://cdn.ncbi.nlm.nih.gov/pmc/blobs/dae1/11172594/c871c3cf187c/materials-17-02492-g001.jpg
https://cdn.ncbi.nlm.nih.gov/pmc/blobs/dae1/11172594/0ea3685653c2/materials-17-02492-g002.jpg
https://cdn.ncbi.nlm.nih.gov/pmc/blobs/dae1/11172594/83997428a784/materials-17-02492-g003.jpg
https://cdn.ncbi.nlm.nih.gov/pmc/blobs/dae1/11172594/fcf851dcdcca/materials-17-02492-g004.jpg
https://cdn.ncbi.nlm.nih.gov/pmc/blobs/dae1/11172594/eca7d5d28bf3/materials-17-02492-g005.jpg
https://cdn.ncbi.nlm.nih.gov/pmc/blobs/dae1/11172594/a173deccafb1/materials-17-02492-g006a.jpg
https://cdn.ncbi.nlm.nih.gov/pmc/blobs/dae1/11172594/db1760e40cd7/materials-17-02492-g007.jpg
https://cdn.ncbi.nlm.nih.gov/pmc/blobs/dae1/11172594/eb8179fa3d9e/materials-17-02492-g008.jpg
https://cdn.ncbi.nlm.nih.gov/pmc/blobs/dae1/11172594/13aaf1fa6088/materials-17-02492-g009.jpg
https://cdn.ncbi.nlm.nih.gov/pmc/blobs/dae1/11172594/7788a489823a/materials-17-02492-g010.jpg
https://cdn.ncbi.nlm.nih.gov/pmc/blobs/dae1/11172594/c871c3cf187c/materials-17-02492-g001.jpg
https://cdn.ncbi.nlm.nih.gov/pmc/blobs/dae1/11172594/0ea3685653c2/materials-17-02492-g002.jpg
https://cdn.ncbi.nlm.nih.gov/pmc/blobs/dae1/11172594/83997428a784/materials-17-02492-g003.jpg
https://cdn.ncbi.nlm.nih.gov/pmc/blobs/dae1/11172594/fcf851dcdcca/materials-17-02492-g004.jpg
https://cdn.ncbi.nlm.nih.gov/pmc/blobs/dae1/11172594/eca7d5d28bf3/materials-17-02492-g005.jpg
https://cdn.ncbi.nlm.nih.gov/pmc/blobs/dae1/11172594/a173deccafb1/materials-17-02492-g006a.jpg
https://cdn.ncbi.nlm.nih.gov/pmc/blobs/dae1/11172594/db1760e40cd7/materials-17-02492-g007.jpg
https://cdn.ncbi.nlm.nih.gov/pmc/blobs/dae1/11172594/eb8179fa3d9e/materials-17-02492-g008.jpg
https://cdn.ncbi.nlm.nih.gov/pmc/blobs/dae1/11172594/13aaf1fa6088/materials-17-02492-g009.jpg
https://cdn.ncbi.nlm.nih.gov/pmc/blobs/dae1/11172594/7788a489823a/materials-17-02492-g010.jpg

相似文献

1
Clam Shell-Derived Hydroxyapatite: A Green Approach for the Photocatalytic Degradation of a Model Pollutant from the Textile Industry.蛤壳衍生的羟基磷灰石:一种光催化降解纺织工业中模型污染物的绿色方法。
Materials (Basel). 2024 May 22;17(11):2492. doi: 10.3390/ma17112492.
2
Synthesis of HAp/CS-SA composite for effective removal of highly toxic dyes in aqueous solution.HAp/CS-SA 复合材料的合成及其在水溶液中有效去除高毒性染料的研究。
Food Chem Toxicol. 2022 Oct;168:113346. doi: 10.1016/j.fct.2022.113346. Epub 2022 Aug 6.
3
Optimization of hydrothermal synthesis of hydroxyapatite from chicken eggshell waste for effective adsorption of aqueous Pb(II).从鸡蛋壳废料中水热合成羟磷灰石以有效吸附水溶液中的 Pb(II)的优化。
Environ Sci Pollut Res Int. 2021 Nov;28(41):58189-58205. doi: 10.1007/s11356-021-14772-y. Epub 2021 Jun 9.
4
Coupling ZnO with CuO for efficient organic pollutant removal.将 ZnO 与 CuO 耦合用于高效去除有机污染物。
Environ Sci Pollut Res Int. 2023 Jun;30(28):71984-72008. doi: 10.1007/s11356-022-24139-6. Epub 2022 Nov 22.
5
Synthesis and characterizations of natural limestone-derived nano-hydroxyapatite (HAp): a comparison study of different metals doped HAps on antibacterial activity.天然石灰石衍生纳米羟基磷灰石(HAp)的合成与表征:不同金属掺杂HAp抗菌活性的比较研究
RSC Adv. 2021 Apr 28;11(26):15896-15904. doi: 10.1039/d1ra00308a. eCollection 2021 Apr 26.
6
Photocatalytic efficiency of FeO/TiO for the degradation of typical dyes in textile industries: Effects of calcination temperature and UV-assisted thermal synthesis.FeO/TiO对纺织工业中典型染料的光催化降解效率:煅烧温度和紫外辅助热合成的影响
J Environ Manage. 2017 Jul 1;196:487-498. doi: 10.1016/j.jenvman.2017.03.030. Epub 2017 Mar 24.
7
One-step in-situ sustainable synthesis of magnetic carbon nanocomposite from corn comb (MCCC): agricultural biomass valorisation for pollutant abatement in wastewater.从玉米芯一步原位可持续合成磁性碳纳米复合材料(MCCC):农业生物质增值用于废水污染物减排
Environ Sci Pollut Res Int. 2023 Mar;30(13):38425-38442. doi: 10.1007/s11356-022-24847-z. Epub 2022 Dec 29.
8
Synthesis of different types of nano-hydroxyapatites for efficient photocatalytic degradation of textile dye (Congo red): a crystallographic characterization.用于高效光催化降解纺织染料(刚果红)的不同类型纳米羟基磷灰石的合成:晶体学表征
RSC Adv. 2024 Apr 16;14(16):11570-11583. doi: 10.1039/d3ra08527a. eCollection 2024 Apr 3.
9
Hydroxyapatite hierarchically nanostructured porous hollow microspheres: rapid, sustainable microwave-hydrothermal synthesis by using creatine phosphate as an organic phosphorus source and application in drug delivery and protein adsorption.羟基磷灰石分级纳米结构多孔空心微球:利用肌酸磷酸盐作为有机磷源的快速、可持续微波水热合成及其在药物输送和蛋白质吸附中的应用。
Chemistry. 2013 Apr 22;19(17):5332-41. doi: 10.1002/chem.201203886. Epub 2013 Mar 4.
10
Photocatalytic Degradation of Methylene Blue Using N-Doped ZnO/Carbon Dot (N-ZnO/CD) Nanocomposites Derived from Organic Soybean.利用源自有机大豆的氮掺杂氧化锌/碳点(N-ZnO/CD)纳米复合材料光催化降解亚甲基蓝
ACS Omega. 2023 Apr 17;8(17):14965-14984. doi: 10.1021/acsomega.2c07546. eCollection 2023 May 2.

本文引用的文献

1
Synthesis and physicochemical characterization of mesoporous hydroxyapatite and its application in toothpaste formulation.介孔羟基磷灰石的合成、物理化学表征及其在牙膏配方中的应用。
Heliyon. 2023 Oct 12;9(10):e20924. doi: 10.1016/j.heliyon.2023.e20924. eCollection 2023 Oct.
2
Hydroxyapatite-based composites: Excellent materials for environmental remediation and biomedical applications.基于羟基磷灰石的复合材料:环境修复和生物医学应用的优秀材料。
Adv Colloid Interface Sci. 2023 May;315:102890. doi: 10.1016/j.cis.2023.102890. Epub 2023 Apr 1.
3
Synthesis of HAp/CS-SA composite for effective removal of highly toxic dyes in aqueous solution.
HAp/CS-SA 复合材料的合成及其在水溶液中有效去除高毒性染料的研究。
Food Chem Toxicol. 2022 Oct;168:113346. doi: 10.1016/j.fct.2022.113346. Epub 2022 Aug 6.
4
Biowaste derived hydroxyapatite embedded on two-dimensional g-CN nanosheets for degradation of hazardous dye and pharmacological drug via Z-scheme charge transfer.基于二维 g-CN 纳米片负载生物源羟基磷灰石的 Z 型电荷转移体系对危险染料和药物的协同降解作用
Sci Rep. 2022 Jul 7;12(1):11572. doi: 10.1038/s41598-022-15799-y.
5
Iron Oxide/Phosphatic Materials Composites with Potential Applications in Environmental Protection.具有环境保护潜在应用的氧化铁/磷酸盐材料复合材料
Materials (Basel). 2020 Nov 8;13(21):5034. doi: 10.3390/ma13215034.
6
Electrochemical synthesis of multicolor fluorescent N-doped graphene quantum dots as a ferric ion sensor and their application in bioimaging.电化学合成多色荧光 N 掺杂石墨烯量子点作为铁离子传感器及其在生物成像中的应用。
J Mater Chem B. 2019 Mar 7;7(9):1494-1502. doi: 10.1039/c8tb03103g. Epub 2019 Feb 12.
7
Syntheses of hydroxyapatite from natural sources.天然来源羟基磷灰石的合成。
Heliyon. 2019 May 8;5(5):e01588. doi: 10.1016/j.heliyon.2019.e01588. eCollection 2019 May.
8
Construction of carbon nanodots/tungsten trioxide and their visible-light sensitive photocatalytic activity.构建碳点/三氧化钨及其可见光敏感的光催化活性。
J Colloid Interface Sci. 2016 Mar 15;466:268-74. doi: 10.1016/j.jcis.2015.12.043. Epub 2015 Dec 22.