Suppr超能文献

钇添加对GH4169镍基高温合金高温氧化行为的影响

Effect of Yttrium Additions on the High-Temperature Oxidation Behavior of GH4169 Ni-Based Superalloy.

作者信息

Wang Tiantian, Liu Wei, Yang Shufeng, Li Jingshe, Zhao Peng, Xue Hui

机构信息

School of Metallurgical and Ecological Engineering, University of Science and Technology Beijing, Beijing 100083, China.

State Key Laboratory of Advanced Metallurgy, University of Science and Technology Beijing, Beijing 100083, China.

出版信息

Materials (Basel). 2024 Jun 4;17(11):2733. doi: 10.3390/ma17112733.

Abstract

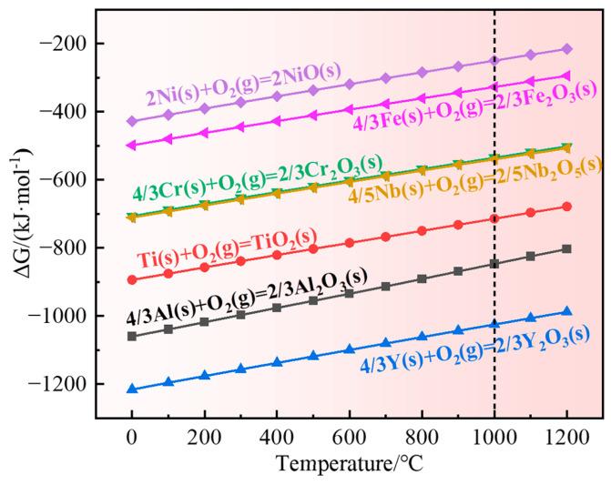
The effect of the active element yttrium and its content on the oxidation behavior of GH4169 Ni-based superalloy at extreme temperature was studied by isothermal oxidation experiments. The results show that the oxide scale of GH4169 alloy presents a multi-layer structure, in which the continuous and dense CrO oxide layer is located in the subouter layer (II layer) and the continuous Nb-rich layer is in the subinner layer (III layer). These layers can inhibit the diffusion of oxygen and alloying elements, preventing the further oxidation of the alloy. The appropriate addition of yttrium can promote the selective oxidation of Cr element, reduce the thickness of the oxide scale and the oxidation rate of the alloy, inhibit the formation of voids at the interface of the oxide scale/alloy matrix, improve the resistance of the alloy to spalling as well as the adhesion of the oxide scale, and improve the high-temperature oxidation resistance of the alloy. Of those tested, the alloy containing 0.04 wt.%Y has the lowest oxidation weight gain, the slowest oxidation rate, and less oxide scale spalling. Based on this, the effect of yttrium on the high-temperature oxidation behavior of GH4169 Ni-based superalloy and its mechanism were revealed.

摘要

通过等温氧化实验研究了活性元素钇及其含量对GH4169镍基高温合金在极端温度下氧化行为的影响。结果表明,GH4169合金的氧化膜呈现多层结构,其中连续致密的CrO氧化层位于次外层(II层),连续富Nb层位于次内层(III层)。这些层可抑制氧和合金元素的扩散,防止合金进一步氧化。适量添加钇可促进Cr元素的选择性氧化,降低氧化膜厚度和合金的氧化速率,抑制氧化膜/合金基体界面处孔洞的形成,提高合金的抗剥落性以及氧化膜的附着力,从而提高合金的高温抗氧化性能。在所测试的合金中,含0.04 wt.%Y的合金氧化增重最低,氧化速率最慢,氧化膜剥落较少。基于此,揭示了钇对GH4169镍基高温合金高温氧化行为的影响及其作用机制。

https://cdn.ncbi.nlm.nih.gov/pmc/blobs/b96a/11173474/3673a8d5c901/materials-17-02733-g001.jpg

文献AI研究员

20分钟写一篇综述,助力文献阅读效率提升50倍。

立即体验

用中文搜PubMed

大模型驱动的PubMed中文搜索引擎

马上搜索

文档翻译

学术文献翻译模型,支持多种主流文档格式。

立即体验