• 文献检索
  • 文档翻译
  • 深度研究
  • 学术资讯
  • Suppr Zotero 插件Zotero 插件
  • 邀请有礼
  • 套餐&价格
  • 历史记录
应用&插件
Suppr Zotero 插件Zotero 插件浏览器插件Mac 客户端Windows 客户端微信小程序
定价
高级版会员购买积分包购买API积分包
服务
文献检索文档翻译深度研究API 文档MCP 服务
关于我们
关于 Suppr公司介绍联系我们用户协议隐私条款
关注我们

Suppr 超能文献

核心技术专利:CN118964589B侵权必究
粤ICP备2023148730 号-1Suppr @ 2026

文献检索

告别复杂PubMed语法,用中文像聊天一样搜索,搜遍4000万医学文献。AI智能推荐,让科研检索更轻松。

立即免费搜索

文件翻译

保留排版,准确专业,支持PDF/Word/PPT等文件格式,支持 12+语言互译。

免费翻译文档

深度研究

AI帮你快速写综述,25分钟生成高质量综述,智能提取关键信息,辅助科研写作。

立即免费体验

基于机器学习区间预测理论的高速铁路路基压实质量全断面评估新方法

A Novel Method for Full-Section Assessment of High-Speed Railway Subgrade Compaction Quality Based on ML-Interval Prediction Theory.

作者信息

Deng Zhixing, Wang Wubin, Xu Linrong, Bai Hao, Tang Hao

机构信息

Department of Civil Engineering, Central South University, Changsha 410075, China.

National Engineering Research Center of Geological Disaster Prevention Technology in Land Transportation, Southwest Jiaotong University, Chengdu 611731, China.

出版信息

Sensors (Basel). 2024 Jun 5;24(11):3661. doi: 10.3390/s24113661.

DOI:10.3390/s24113661
PMID:38894454
原文链接:https://pmc.ncbi.nlm.nih.gov/articles/PMC11175314/
Abstract

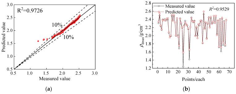
The high-speed railway subgrade compaction quality is controlled by the compaction degree (), with the maximum dry density () serving as a crucial indicator for its calculation. The current mechanisms and methods for determining the still suffer from uncertainties, inefficiencies, and lack of intelligence. These deficiencies can lead to insufficient assessments for the high-speed railway subgrade compaction quality, further impacting the operational safety of high-speed railways. In this paper, a novel method for full-section assessment of high-speed railway subgrade compaction quality based on ML-interval prediction theory is proposed. Firstly, based on indoor vibration compaction tests, a method for determining the based on the dynamic stiffness turning point is proposed. Secondly, the Pso-OptimalML-Adaboost (POA) model for predicting is determined based on three typical machine learning (ML) algorithms, which are back propagation neural network (BPNN), support vector regression (SVR) and random forest (RF). Thirdly, the interval prediction theory is introduced to quantify the uncertainty in prediction. Finally, based on the Bootstrap-POA-ANN interval prediction model and spatial interpolation algorithms, the interval distribution of across the full-section can be determined, and a model for full-section assessment of compaction quality is developed based on the compaction standard (95%). Moreover, the proposed method is applied to determine the optimal compaction thicknesses (), within the station subgrade test section in the southwest region. The results indicate that: (1) The PSO-BPNN-AdaBoost model performs better in the accuracy and error metrics, which is selected as the POA model for predicting . (2) The Bootstrap-POA-ANN interval prediction model for can construct clear and reliable prediction intervals. (3) The model for full-section assessment of compaction quality can provide the full-section distribution interval for . Comparing the of 5060 cm and 6070 cm, the compaction quality is better with the of 40~50 cm. The research findings can provide effective techniques for assessing the compaction quality of high-speed railway subgrades.

摘要

高速铁路路基压实质量由压实度()控制,最大干密度()是其计算的关键指标。目前确定的机制和方法仍存在不确定性、低效性和缺乏智能性等问题。这些不足会导致对高速铁路路基压实质量的评估不足,进而影响高速铁路的运营安全。本文提出了一种基于机器学习区间预测理论的高速铁路路基压实质量全断面评估新方法。首先,基于室内振动压实试验,提出了一种基于动刚度转折点确定的方法。其次,基于三种典型的机器学习(ML)算法,即反向传播神经网络(BPNN)、支持向量回归(SVR)和随机森林(RF),确定了用于预测的粒子群优化-最优机器学习-自适应增强(POA)模型。第三,引入区间预测理论来量化预测中的不确定性。最后,基于自助法-POA-人工神经网络区间预测模型和空间插值算法,可以确定全断面的区间分布,并基于压实标准(95%)建立压实质量全断面评估模型。此外,将所提出的方法应用于确定西南地区站内路基试验段的最优压实厚度()。结果表明:(1)PSO-BPNN-AdaBoost模型在精度和误差指标方面表现更好,被选为预测的POA模型。(2)用于的自助法-POA-人工神经网络区间预测模型可以构建清晰可靠的预测区间。(3)压实质量全断面评估模型可以提供的全断面分布区间。比较5060 cm和6070 cm的,40~50 cm时压实质量更好。研究结果可为评估高速铁路路基压实质量提供有效的技术手段。

https://cdn.ncbi.nlm.nih.gov/pmc/blobs/f96c/11175314/95cc9b42c4be/sensors-24-03661-g027.jpg
https://cdn.ncbi.nlm.nih.gov/pmc/blobs/f96c/11175314/a665be79040c/sensors-24-03661-g001.jpg
https://cdn.ncbi.nlm.nih.gov/pmc/blobs/f96c/11175314/e8f6c31744e3/sensors-24-03661-g002.jpg
https://cdn.ncbi.nlm.nih.gov/pmc/blobs/f96c/11175314/196c4be86bd5/sensors-24-03661-g003.jpg
https://cdn.ncbi.nlm.nih.gov/pmc/blobs/f96c/11175314/262cac168c4e/sensors-24-03661-g004.jpg
https://cdn.ncbi.nlm.nih.gov/pmc/blobs/f96c/11175314/7a9bc30307d9/sensors-24-03661-g005.jpg
https://cdn.ncbi.nlm.nih.gov/pmc/blobs/f96c/11175314/c2b82142a047/sensors-24-03661-g006.jpg
https://cdn.ncbi.nlm.nih.gov/pmc/blobs/f96c/11175314/738107361175/sensors-24-03661-g007.jpg
https://cdn.ncbi.nlm.nih.gov/pmc/blobs/f96c/11175314/ef9487d3236f/sensors-24-03661-g008.jpg
https://cdn.ncbi.nlm.nih.gov/pmc/blobs/f96c/11175314/55a06988cde5/sensors-24-03661-g009.jpg
https://cdn.ncbi.nlm.nih.gov/pmc/blobs/f96c/11175314/9eb85f542686/sensors-24-03661-g010.jpg
https://cdn.ncbi.nlm.nih.gov/pmc/blobs/f96c/11175314/f1d799e53f65/sensors-24-03661-g011.jpg
https://cdn.ncbi.nlm.nih.gov/pmc/blobs/f96c/11175314/b9be6128a199/sensors-24-03661-g012.jpg
https://cdn.ncbi.nlm.nih.gov/pmc/blobs/f96c/11175314/b2abb036b7db/sensors-24-03661-g013.jpg
https://cdn.ncbi.nlm.nih.gov/pmc/blobs/f96c/11175314/e0eb72c511ea/sensors-24-03661-g014a.jpg
https://cdn.ncbi.nlm.nih.gov/pmc/blobs/f96c/11175314/268b85959b69/sensors-24-03661-g015a.jpg
https://cdn.ncbi.nlm.nih.gov/pmc/blobs/f96c/11175314/35b933690239/sensors-24-03661-g016.jpg
https://cdn.ncbi.nlm.nih.gov/pmc/blobs/f96c/11175314/de520af3fade/sensors-24-03661-g017.jpg
https://cdn.ncbi.nlm.nih.gov/pmc/blobs/f96c/11175314/28e738ab4103/sensors-24-03661-g018.jpg
https://cdn.ncbi.nlm.nih.gov/pmc/blobs/f96c/11175314/af80f4c9615e/sensors-24-03661-g019.jpg
https://cdn.ncbi.nlm.nih.gov/pmc/blobs/f96c/11175314/7b93b5ffc7eb/sensors-24-03661-g020.jpg
https://cdn.ncbi.nlm.nih.gov/pmc/blobs/f96c/11175314/972b36792908/sensors-24-03661-g021.jpg
https://cdn.ncbi.nlm.nih.gov/pmc/blobs/f96c/11175314/4c7adf02d2ad/sensors-24-03661-g022.jpg
https://cdn.ncbi.nlm.nih.gov/pmc/blobs/f96c/11175314/63955acb36fc/sensors-24-03661-g023a.jpg
https://cdn.ncbi.nlm.nih.gov/pmc/blobs/f96c/11175314/ffe82a92f610/sensors-24-03661-g024.jpg
https://cdn.ncbi.nlm.nih.gov/pmc/blobs/f96c/11175314/92de3485fedc/sensors-24-03661-g025.jpg
https://cdn.ncbi.nlm.nih.gov/pmc/blobs/f96c/11175314/6823eaae320c/sensors-24-03661-g026.jpg
https://cdn.ncbi.nlm.nih.gov/pmc/blobs/f96c/11175314/95cc9b42c4be/sensors-24-03661-g027.jpg
https://cdn.ncbi.nlm.nih.gov/pmc/blobs/f96c/11175314/a665be79040c/sensors-24-03661-g001.jpg
https://cdn.ncbi.nlm.nih.gov/pmc/blobs/f96c/11175314/e8f6c31744e3/sensors-24-03661-g002.jpg
https://cdn.ncbi.nlm.nih.gov/pmc/blobs/f96c/11175314/196c4be86bd5/sensors-24-03661-g003.jpg
https://cdn.ncbi.nlm.nih.gov/pmc/blobs/f96c/11175314/262cac168c4e/sensors-24-03661-g004.jpg
https://cdn.ncbi.nlm.nih.gov/pmc/blobs/f96c/11175314/7a9bc30307d9/sensors-24-03661-g005.jpg
https://cdn.ncbi.nlm.nih.gov/pmc/blobs/f96c/11175314/c2b82142a047/sensors-24-03661-g006.jpg
https://cdn.ncbi.nlm.nih.gov/pmc/blobs/f96c/11175314/738107361175/sensors-24-03661-g007.jpg
https://cdn.ncbi.nlm.nih.gov/pmc/blobs/f96c/11175314/ef9487d3236f/sensors-24-03661-g008.jpg
https://cdn.ncbi.nlm.nih.gov/pmc/blobs/f96c/11175314/55a06988cde5/sensors-24-03661-g009.jpg
https://cdn.ncbi.nlm.nih.gov/pmc/blobs/f96c/11175314/9eb85f542686/sensors-24-03661-g010.jpg
https://cdn.ncbi.nlm.nih.gov/pmc/blobs/f96c/11175314/f1d799e53f65/sensors-24-03661-g011.jpg
https://cdn.ncbi.nlm.nih.gov/pmc/blobs/f96c/11175314/b9be6128a199/sensors-24-03661-g012.jpg
https://cdn.ncbi.nlm.nih.gov/pmc/blobs/f96c/11175314/b2abb036b7db/sensors-24-03661-g013.jpg
https://cdn.ncbi.nlm.nih.gov/pmc/blobs/f96c/11175314/e0eb72c511ea/sensors-24-03661-g014a.jpg
https://cdn.ncbi.nlm.nih.gov/pmc/blobs/f96c/11175314/268b85959b69/sensors-24-03661-g015a.jpg
https://cdn.ncbi.nlm.nih.gov/pmc/blobs/f96c/11175314/35b933690239/sensors-24-03661-g016.jpg
https://cdn.ncbi.nlm.nih.gov/pmc/blobs/f96c/11175314/de520af3fade/sensors-24-03661-g017.jpg
https://cdn.ncbi.nlm.nih.gov/pmc/blobs/f96c/11175314/28e738ab4103/sensors-24-03661-g018.jpg
https://cdn.ncbi.nlm.nih.gov/pmc/blobs/f96c/11175314/af80f4c9615e/sensors-24-03661-g019.jpg
https://cdn.ncbi.nlm.nih.gov/pmc/blobs/f96c/11175314/7b93b5ffc7eb/sensors-24-03661-g020.jpg
https://cdn.ncbi.nlm.nih.gov/pmc/blobs/f96c/11175314/972b36792908/sensors-24-03661-g021.jpg
https://cdn.ncbi.nlm.nih.gov/pmc/blobs/f96c/11175314/4c7adf02d2ad/sensors-24-03661-g022.jpg
https://cdn.ncbi.nlm.nih.gov/pmc/blobs/f96c/11175314/63955acb36fc/sensors-24-03661-g023a.jpg
https://cdn.ncbi.nlm.nih.gov/pmc/blobs/f96c/11175314/ffe82a92f610/sensors-24-03661-g024.jpg
https://cdn.ncbi.nlm.nih.gov/pmc/blobs/f96c/11175314/92de3485fedc/sensors-24-03661-g025.jpg
https://cdn.ncbi.nlm.nih.gov/pmc/blobs/f96c/11175314/6823eaae320c/sensors-24-03661-g026.jpg
https://cdn.ncbi.nlm.nih.gov/pmc/blobs/f96c/11175314/95cc9b42c4be/sensors-24-03661-g027.jpg

相似文献

1
A Novel Method for Full-Section Assessment of High-Speed Railway Subgrade Compaction Quality Based on ML-Interval Prediction Theory.基于机器学习区间预测理论的高速铁路路基压实质量全断面评估新方法
Sensors (Basel). 2024 Jun 5;24(11):3661. doi: 10.3390/s24113661.
2
A Framework for Determining the Optimal Vibratory Frequency of Graded Gravel Fillers Using Hammering Modal Approach and ANN.一种使用锤击模态方法和人工神经网络确定级配碎石填料最佳振动频率的框架。
Sensors (Basel). 2024 Jan 22;24(2):689. doi: 10.3390/s24020689.
3
Experimental Study on the Compaction Characteristics and Evaluation Method of Coarse-Grained Materials for Subgrade.路基粗粒材料压实特性及评价方法的试验研究
Materials (Basel). 2021 Nov 18;14(22):6972. doi: 10.3390/ma14226972.
4
A Georeferenced Dataset for Mapping and Assessing Subgrade Defects in China's High-Speed Railways.中国高速铁路基床病害测绘与评估的地理参考数据集
Sci Data. 2024 Mar 14;11(1):293. doi: 10.1038/s41597-024-03112-7.
5
Cement-Modified Loess Base for Intercity Railways: Mechanical Strength and Influencing Factors Based on the Vertical Vibration Compaction Method.基于竖向振动压实法的城际铁路水泥改良黄土基层:力学强度及影响因素
Materials (Basel). 2020 Aug 17;13(16):3643. doi: 10.3390/ma13163643.
6
Wind Dynamic Characteristics and Wind Tunnel Simulation of Subgrade Sand Hazard in the Shannan Wide Valley of the Sichuan-Tibet Railway.川藏铁路山南宽谷段路基风沙灾害风动力特性及风洞模拟
Int J Environ Res Public Health. 2022 Jul 8;19(14):8341. doi: 10.3390/ijerph19148341.
7
Real-Time Monitoring Method for Layered Compaction Quality of Loess Subgrade Based on Hydraulic Compactor Reinforcement.基于液压夯实机加固的黄土路基分层压实质量实时监测方法。
Sensors (Basel). 2020 Jul 31;20(15):4288. doi: 10.3390/s20154288.
8
Railway accident prediction strategy based on ensemble learning.基于集成学习的铁路事故预测策略。
Accid Anal Prev. 2022 Oct;176:106817. doi: 10.1016/j.aap.2022.106817. Epub 2022 Aug 31.
9
Wave Propagation Characteristics and Compaction Status of Subgrade during Vibratory Compaction.振动压实过程中地基的波动传播特性及压实状态
Sensors (Basel). 2023 Feb 15;23(4):2183. doi: 10.3390/s23042183.
10
Laboratory Experiments and Numerical Simulation Study of Composite-Material-Modified Loess Improving High-Speed Railway Subgrade.复合材料改良黄土用于高速铁路路基的室内试验与数值模拟研究
Polymers (Basel). 2022 Aug 8;14(15):3215. doi: 10.3390/polym14153215.

本文引用的文献

1
A Framework for Determining the Optimal Vibratory Frequency of Graded Gravel Fillers Using Hammering Modal Approach and ANN.一种使用锤击模态方法和人工神经网络确定级配碎石填料最佳振动频率的框架。
Sensors (Basel). 2024 Jan 22;24(2):689. doi: 10.3390/s24020689.
2
Predictive Uncertainty Estimation for Camouflaged Object Detection.用于伪装目标检测的预测不确定性估计。
IEEE Trans Image Process. 2023;32:3580-3591. doi: 10.1109/TIP.2023.3287137. Epub 2023 Jun 29.
3
New onset delirium prediction using machine learning and long short-term memory (LSTM) in electronic health record.
基于机器学习和长短期记忆网络(LSTM)的电子病历中新发谵妄预测。
J Am Med Inform Assoc. 2022 Dec 13;30(1):120-131. doi: 10.1093/jamia/ocac210.
4
Are smartphones and machine learning enough to diagnose tremor?智能手机和机器学习足以诊断震颤吗?
J Neurol. 2022 Nov;269(11):6104-6115. doi: 10.1007/s00415-022-11293-7. Epub 2022 Jul 21.
5
Machine learning strategies for the structure-property relationship of copolymers.共聚物结构-性能关系的机器学习策略
iScience. 2022 Jun 10;25(7):104585. doi: 10.1016/j.isci.2022.104585. eCollection 2022 Jul 15.
6
Minimization of measuring points for the electric field exposure map generation in indoor environments by means of Kriging interpolation and selective sampling.通过克里金插值和选择性采样,最小化室内环境电场暴露图生成中的测量点数量。
Environ Res. 2022 Sep;212(Pt D):113577. doi: 10.1016/j.envres.2022.113577. Epub 2022 May 28.
7
Application of ANN and SVM for prediction nutrients in rivers.应用 ANN 和 SVM 预测河流中的营养物质。
J Environ Sci Health A Tox Hazard Subst Environ Eng. 2021;56(8):867-873. doi: 10.1080/10934529.2021.1933325. Epub 2021 Jun 1.
8
Estimating daily ground-level PM in China with random-forest-based spatiotemporal kriging.基于随机森林的时空克里金法估算中国逐日地面 PM 浓度。
Sci Total Environ. 2020 Oct 20;740:139761. doi: 10.1016/j.scitotenv.2020.139761. Epub 2020 May 30.