Suppr超能文献

抗精神病药物在儿童和青少年中的比较生理效应:网络荟萃分析。

Comparative physiological effects of antipsychotic drugs in children and young people: a network meta-analysis.

机构信息

Department of Psychosis Studies, Institute of Psychiatry, Psychology and Neuroscience, King's College London, London, UK; Department of Child and Adolescent Psychiatry, Institute of Psychiatry, Psychology and Neuroscience, King's College London, London, UK; Francis Crick Institute, London, UK.

Department of Psychosis Studies, Institute of Psychiatry, Psychology and Neuroscience, King's College London, London, UK; Department of Psychiatry, University of Oxford, Oxford, UK.

出版信息

Lancet Child Adolesc Health. 2024 Jul;8(7):510-521. doi: 10.1016/S2352-4642(24)00098-1.

Abstract

BACKGROUND

The degree of physiological responses to individual antipsychotic drugs is unclear in children and adolescents. With network meta-analysis, we aimed to investigate the effects of various antipsychotic medications on physiological variables in children and adolescents with neuropsychiatric and neurodevelopmental conditions.

METHODS

For this network meta-analysis, we searched Medline, EMBASE, PsycINFO, Web of Science, and Scopus from database inception until Dec 22, 2023, and included randomised controlled trials comparing antipsychotics with placebo in children or adolescents younger than 18 years with any neuropsychiatric and neurodevelopmental condition. Primary outcomes were mean change from baseline to end of acute treatment in bodyweight, BMI, fasting glucose, total cholesterol, LDL cholesterol, HDL cholesterol, triglycerides, prolactin, heart rate, systolic blood pressure (SBP), and QT interval corrected for heart rate (QTc) for patients receiving either active treatment or placebo. For multigroup trials reporting several doses, we calculated a summary value for each physiological variable for all doses. After transitivity assessment, we fitted frequentist random-effects network meta-analyses for all comparisons in the network. A Kilim plot was used to summarise the results for all treatments and outcomes, providing information regarding the strength of the statistical evidence of treatment effects, using p values. Network heterogeneity was assessed with τ, risk of bias of individual trials was assessed with the Cochrane Collaboration's Tool for Assessing Risk of Bias, and the credibility of findings from each network meta-analysis was assessed with the Confidence in Network Meta-Analysis (CINEMA) app. This study is registered on PROSPERO (CRD42021274393).

FINDINGS

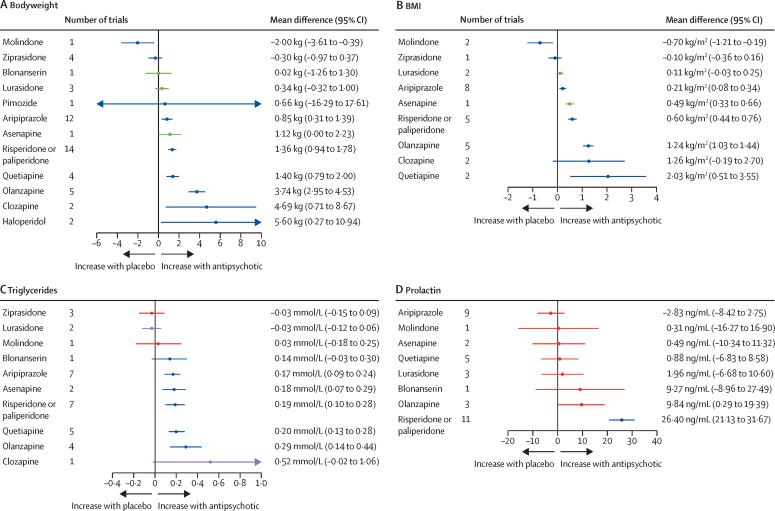
Of 6676 studies screened, 47 randomised controlled trials were included, which included 6500 children (mean age 13·29 years, SD 2·14) who received treatment for a median of 7 weeks (IQR 6-8) with either placebo (n=2134) or one of aripiprazole, asenapine, blonanserin, clozapine, haloperidol, lurasidone, molindone, olanzapine, paliperidone, pimozide, quetiapine, risperidone, or ziprasidone (n=4366). Mean differences for bodyweight change gain compared with placebo ranged from -2·00 kg (95% CI -3·61 to -0·39) with molindone to 5·60 kg (0·27 to 10·94) with haloperidol; BMI -0·70 kg/m (-1·21 to -0·19) with molindone to 2·03 kg/m (0·51 to 3·55) with quetiapine; total cholesterol -0·04 mmol/L (-0·39 to 0·31) with blonanserin to 0·35 mmol/L (0·17 to 0·53) with quetiapine; LDL cholesterol -0·12 mmol/L (-0·31 to 0·07) with risperidone or paliperidone to 0·17 mmol/L (-0·06 to 0·40) with olanzapine; HDL cholesterol 0·05 mmol/L (-0·19 to 0·30) with quetiapine to 0·48 mmol/L (0·18 to 0·78) with risperidone or paliperidone; triglycerides -0·03 mmol/L (-0·12 to 0·06) with lurasidone to 0·29 mmol/L (0·14 to 0·44) with olanzapine; fasting glucose from -0·09 mmol/L (-1·45 to 1·28) with blonanserin to 0·74 mmol/L (0·04 to 1·43) with quetiapine; prolactin from -2·83 ng/mL (-8·42 to 2·75) with aripiprazole to 26·40 ng/mL (21·13 to 31·67) with risperidone or paliperidone; heart rate from -0·20 bpm (-8·11 to 7·71) with ziprasidone to 12·42 bpm (3·83 to 21·01) with quetiapine; SBP from -3·40 mm Hg (-6·25 to -0·55) with ziprasidone to 10·04 mm Hg (5·56 to 14·51) with quetiapine; QTc from -0·61 ms (-1·47 to 0·26) with pimozide to 0·30 ms (-0·05 to 0·65) with ziprasidone.

INTERPRETATION

Children and adolescents show varied but clinically significant physiological responses to individual antipsychotic drugs. Treatment guidelines for children and adolescents with a range of neuropsychiatric and neurodevelopmental conditions should be updated to reflect each antipsychotic drug's distinct profile for associated metabolic changes, alterations in prolactin, and haemodynamic alterations.

FUNDING

UK Academy of Medical Sciences, Brain and Behaviour Research Foundation, UK National Institute of Health Research, Maudsley Charity, the Wellcome Trust, Medical Research Council, National Institute of Health and Care Research Biomedical Centre at King's College London and South London and Maudsley NHS Foundation Trust, the Italian Ministry of University and Research, the Italian National Recovery and Resilience Plan, and Swiss National Science Foundation.

摘要

背景

个体抗精神病药物的生理反应程度在儿童和青少年中尚不清楚。通过网络荟萃分析,我们旨在研究各种抗精神病药物对患有神经精神和神经发育疾病的儿童和青少年的生理变量的影响。

方法

对于这项网络荟萃分析,我们从数据库建立开始到 2023 年 12 月 22 日,在 Medline、EMBASE、PsycINFO、Web of Science 和 Scopus 中搜索了比较儿童或青少年任何神经精神和神经发育疾病接受任何抗精神病药物与安慰剂治疗的急性治疗结束时体重、BMI、空腹血糖、总胆固醇、LDL 胆固醇、HDL 胆固醇、甘油三酯、催乳素、心率、收缩压(SBP)和 QT 间期校正心率(QTc)的平均变化的随机对照试验。对于报告了几种剂量的多组试验,我们为所有剂量计算了每个生理变量的汇总值。在进行了可传递性评估后,我们为网络中的所有比较拟合了经典似然随机效应网络荟萃分析。Kilim 图用于总结所有治疗和结局的结果,提供了关于治疗效果的统计证据强度的信息,使用 p 值。使用 Cochrane 协作工具评估个体试验的偏倚风险,使用置信度网络荟萃分析(CINEMA)应用程序评估每个网络荟萃分析结果的可信度。本研究在 PROSPERO 上注册(CRD42021274393)。

发现

在筛选的 6676 项研究中,纳入了 47 项随机对照试验,共纳入 6500 名儿童(平均年龄 13.29 岁,SD 2.14),他们接受了中位数为 7 周(IQR 6-8)的治疗,分别接受安慰剂(n=2134)或阿立哌唑、阿那塞平、布南色林、氯氮平、氟哌啶醇、鲁拉西酮、莫林酮、奥氮平、帕利哌酮、匹莫齐特、喹硫平、利培酮或齐拉西酮(n=4366)。与安慰剂相比,体重增加的平均差异范围从莫林酮的-2.00kg(95%CI-3.61 至-0.39)到氟哌啶醇的 5.60kg(0.27 至 10.94);BMI 从莫林酮的-0.70kg/m(-1.21 至-0.19)到喹硫平的 2.03kg/m(0.51 至 3.55);总胆固醇从布南色林的-0.04mmol/L(-0.39 至 0.31)到喹硫平的 0.35mmol/L(0.17 至 0.53);LDL 胆固醇从利培酮或帕利哌酮的-0.12mmol/L(-0.31 至 0.07)到奥氮平的 0.17mmol/L(-0.06 至 0.40);HDL 胆固醇从喹硫平的 0.05mmol/L(-0.19 至 0.30)到利培酮或帕利哌酮的 0.48mmol/L(0.18 至 0.78);甘油三酯从鲁拉西酮的-0.03mmol/L(-0.12 至 0.06)到奥氮平的 0.29mmol/L(0.14 至 0.44);空腹血糖从布南色林的-0.09mmol/L(-1.45 至 1.28)到喹硫平的 0.74mmol/L(0.04 至 1.43);催乳素从阿立哌唑的-2.83ng/mL(-8.42 至 2.75)到利培酮或帕利哌酮的 26.40ng/mL(21.13 至 31.67);心率从齐拉西酮的-0.20bpm(-8.11 至 7.71)到喹硫平的 12.42bpm(3.83 至 21.01);SBP 从 ziprasidone 的-3.40mmHg(-6.25 至-0.55)到喹硫平的 10.04mmHg(5.56 至 14.51);QTc 从 pimozide 的-0.61ms(-1.47 至 0.26)到 ziprasidone 的 0.30ms(-0.05 至 0.65)。

解释

儿童和青少年对个体抗精神病药物表现出不同但具有临床意义的生理反应。对于患有各种神经精神和神经发育疾病的儿童和青少年,治疗指南应更新,以反映每种抗精神病药物与相关代谢变化、催乳素变化和血液动力学变化相关的独特特征。

资金

英国医学科学院、大脑与行为研究基金会、英国国家卫生研究院、Maudsley 慈善机构、惠康信托基金会、医学研究委员会、英国国家卫生与保健研究生物医学中心在国王学院和南伦敦和 Maudsley NHS 基金会、意大利大学和研究部、意大利国家复苏和弹性计划、瑞士国家科学基金会。

https://cdn.ncbi.nlm.nih.gov/pmc/blobs/2de7/11790527/58a00bdc2382/gr1.jpg

文献检索

告别复杂PubMed语法,用中文像聊天一样搜索,搜遍4000万医学文献。AI智能推荐,让科研检索更轻松。

立即免费搜索

文件翻译

保留排版,准确专业,支持PDF/Word/PPT等文件格式,支持 12+语言互译。

免费翻译文档

深度研究

AI帮你快速写综述,25分钟生成高质量综述,智能提取关键信息,辅助科研写作。

立即免费体验