• 文献检索
  • 文档翻译
  • 深度研究
  • 学术资讯
  • Suppr Zotero 插件Zotero 插件
  • 邀请有礼
  • 套餐&价格
  • 历史记录
应用&插件
Suppr Zotero 插件Zotero 插件浏览器插件Mac 客户端Windows 客户端微信小程序
定价
高级版会员购买积分包购买API积分包
服务
文献检索文档翻译深度研究API 文档MCP 服务
关于我们
关于 Suppr公司介绍联系我们用户协议隐私条款
关注我们

Suppr 超能文献

核心技术专利:CN118964589B侵权必究
粤ICP备2023148730 号-1Suppr @ 2026

文献检索

告别复杂PubMed语法,用中文像聊天一样搜索,搜遍4000万医学文献。AI智能推荐,让科研检索更轻松。

立即免费搜索

文件翻译

保留排版,准确专业,支持PDF/Word/PPT等文件格式,支持 12+语言互译。

免费翻译文档

深度研究

AI帮你快速写综述,25分钟生成高质量综述,智能提取关键信息,辅助科研写作。

立即免费体验

自闭症的药物治疗:关于常见共病精神症状指南的建议

Pharmacological treatment in autism: a proposal for guidelines on common co-occurring psychiatric symptoms.

作者信息

Manter Mariah A, Birtwell Kirstin B, Bath James, Friedman Nora D B, Keary Christopher J, Neumeyer Ann M, Palumbo Michelle L, Thom Robyn P, Stonestreet Emily, Brooks Hannah, Dakin Kelly, Hooker Jacob M, McDougle Christopher J

机构信息

Lurie Center for Autism, Massachusetts General Hospital, Lexington, MA, 02421, USA.

Athinoula A. Martinos Center for Biomedical Imaging, Mass General Research Institute, Charlestown, MA, 02129, USA.

出版信息

BMC Med. 2025 Jan 7;23(1):11. doi: 10.1186/s12916-024-03814-0.

DOI:10.1186/s12916-024-03814-0
PMID:39773705
原文链接:https://pmc.ncbi.nlm.nih.gov/articles/PMC11705908/
Abstract

BACKGROUND

The prevalence of autism spectrum disorder (ASD) has surged, with an estimated 1 in 36 eight-year-olds in the United States meeting criteria for ASD in 2020. Autistic individuals face elevated rates of co-occurring medical, psychiatric, and behavioral conditions compared to non-autistic individuals. The rising ASD-patient demand is increasingly outpacing the capacity of ASD-specialty clinics, resulting in urgent need for autism-competent providers in general practice settings. This work aims to empower healthcare providers, especially primary care providers (PCPs), with guidelines for the recognition and safe pharmacologic management of common co-occurring psychiatric and behavioral conditions in ASD.

METHODS

Lurie Center for Autism medical providers, who have extensive experience in ASD care, delineated approaches for recognition and pharmacological treatment of sleep disturbances, attention-deficit/hyperactivity disorder (ADHD), anxiety, depression, and irritability tailored to ASD patients. Pharmacological guidelines were iteratively refined until consensus was reached. Treatment differences relative to standard of care (SOC) of non-autistic individuals are noted. Key literature and clinical trial results were reviewed to supplement clinical experience.

RESULTS

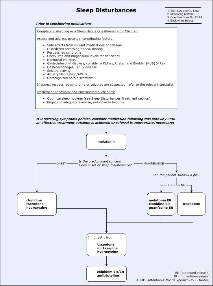
The pharmacological treatment pathways reflect how appropriate medication options for ASD patients can depend on many factors unique to the patient and can differ from established non-autistic SOC. Key takeaways include: For sleep disturbances in ASD, initial strategies align with non-autistic SOC, emphasizing sleep hygiene and melatonin use. First-line recommendations for treating ADHD, anxiety, and depression in ASD differ from non-autistic SOC; α-adrenergic agonists are more suitable than stimulants for some ASD-ADHD patients, buspirone and mirtazapine are preferred to selective serotonin reuptake inhibitors (SSRIs) for anxiety, and duloxetine, mirtazapine, bupropion, and vortioxetine are recommended ahead of SSRIs for depression. Addressing irritability in ASD requires interdisciplinary evaluation of contributing factors, and guanfacine, risperidone, or aripiprazole may be appropriate, depending on severity.

CONCLUSIONS

Recognition and treatment of co-occurring psychiatric and behavioral conditions in autistic patients must account for differences in clinical presentation and medication effectiveness and tolerability. Drawing on evidence-based clinical insights, these guidelines seek to support PCPs in making informed decisions when prescribing medications for ASD patients with co-occurring psychiatric and behavioral conditions, ultimately enhancing access to timely, comprehensive care for all individuals with ASD.

摘要

背景

自闭症谱系障碍(ASD)的患病率激增,据估计,2020年美国每36名8岁儿童中就有1名符合ASD的诊断标准。与非自闭症患者相比,自闭症患者同时患有医学、精神和行为疾病的比例更高。ASD患者需求的不断增加,已逐渐超过了ASD专科诊所的服务能力,因此迫切需要在普通医疗环境中有能力诊治自闭症的医疗服务提供者。这项工作旨在为医疗服务提供者,尤其是初级保健提供者(PCP)提供指导方针,以识别和安全地药物治疗ASD中常见的共病精神和行为疾病。

方法

卢里自闭症中心的医疗服务提供者在ASD护理方面拥有丰富经验,他们制定了针对ASD患者的睡眠障碍、注意力缺陷多动障碍(ADHD)、焦虑、抑郁和易怒的识别及药物治疗方法。药物治疗指南经过反复完善,直至达成共识。记录了相对于非自闭症个体的标准治疗(SOC)的治疗差异。回顾了关键文献和临床试验结果以补充临床经验。

结果

药物治疗途径反映了ASD患者合适的药物选择如何取决于患者的许多独特因素,并且可能与既定的非自闭症SOC不同。主要要点包括:对于ASD中的睡眠障碍,初始策略与非自闭症SOC一致,强调睡眠卫生和褪黑素的使用。治疗ASD中的ADHD、焦虑和抑郁的一线推荐与非自闭症SOC不同;对于一些ASD-ADHD患者,α-肾上腺素能激动剂比兴奋剂更合适,对于焦虑症,丁螺环酮和米氮平优于选择性5-羟色胺再摄取抑制剂(SSRI),对于抑郁症,度洛西汀、米氮平、安非他酮和伏硫西汀比SSRI更推荐使用。解决ASD中的易怒问题需要对促成因素进行多学科评估,根据严重程度,胍法辛、利培酮或阿立哌唑可能是合适的。

结论

识别和治疗自闭症患者中共病的精神和行为疾病,必须考虑临床表现、药物有效性和耐受性的差异。借鉴基于证据的临床见解,这些指南旨在支持初级保健提供者在为患有共病精神和行为疾病的ASD患者开处方时做出明智的决定,最终增加所有ASD患者获得及时、全面护理的机会。

https://cdn.ncbi.nlm.nih.gov/pmc/blobs/e913/11705908/334668b1f1eb/12916_2024_3814_Fig5_HTML.jpg
https://cdn.ncbi.nlm.nih.gov/pmc/blobs/e913/11705908/e1f30e733af0/12916_2024_3814_Fig1_HTML.jpg
https://cdn.ncbi.nlm.nih.gov/pmc/blobs/e913/11705908/8c59a3ff04f6/12916_2024_3814_Fig2_HTML.jpg
https://cdn.ncbi.nlm.nih.gov/pmc/blobs/e913/11705908/db10d12f5214/12916_2024_3814_Fig3_HTML.jpg
https://cdn.ncbi.nlm.nih.gov/pmc/blobs/e913/11705908/a6c7331e1076/12916_2024_3814_Fig4_HTML.jpg
https://cdn.ncbi.nlm.nih.gov/pmc/blobs/e913/11705908/334668b1f1eb/12916_2024_3814_Fig5_HTML.jpg
https://cdn.ncbi.nlm.nih.gov/pmc/blobs/e913/11705908/e1f30e733af0/12916_2024_3814_Fig1_HTML.jpg
https://cdn.ncbi.nlm.nih.gov/pmc/blobs/e913/11705908/8c59a3ff04f6/12916_2024_3814_Fig2_HTML.jpg
https://cdn.ncbi.nlm.nih.gov/pmc/blobs/e913/11705908/db10d12f5214/12916_2024_3814_Fig3_HTML.jpg
https://cdn.ncbi.nlm.nih.gov/pmc/blobs/e913/11705908/a6c7331e1076/12916_2024_3814_Fig4_HTML.jpg
https://cdn.ncbi.nlm.nih.gov/pmc/blobs/e913/11705908/334668b1f1eb/12916_2024_3814_Fig5_HTML.jpg

相似文献

1
Pharmacological treatment in autism: a proposal for guidelines on common co-occurring psychiatric symptoms.自闭症的药物治疗:关于常见共病精神症状指南的建议
BMC Med. 2025 Jan 7;23(1):11. doi: 10.1186/s12916-024-03814-0.
2
Prescription of Controlled Substances: Benefits and Risks管制药品的处方:益处与风险
3
Pharmacological intervention for irritability, aggression, and self-injury in autism spectrum disorder (ASD).自闭症谱系障碍(ASD)中易怒、攻击行为和自我伤害的药物干预。
Cochrane Database Syst Rev. 2023 Oct 9;10(10):CD011769. doi: 10.1002/14651858.CD011769.pub2.
4
The Black Book of Psychotropic Dosing and Monitoring.《精神药物剂量与监测黑皮书》
Psychopharmacol Bull. 2024 Jul 8;54(3):8-59.
5
Pharmacotherapy for anxiety and comorbid alcohol use disorders.焦虑症合并酒精使用障碍的药物治疗
Cochrane Database Syst Rev. 2015 Jan 20;1(1):CD007505. doi: 10.1002/14651858.CD007505.pub2.
6
Methylphenidate for children and adolescents with autism spectrum disorder.用于治疗自闭症谱系障碍儿童和青少年的哌醋甲酯
Cochrane Database Syst Rev. 2017 Nov 21;11(11):CD011144. doi: 10.1002/14651858.CD011144.pub2.
7
Behavioural and cognitive behavioural therapy for obsessive compulsive disorder (OCD) in individuals with autism spectrum disorder (ASD).针对自闭症谱系障碍(ASD)个体的强迫症(OCD)的行为和认知行为疗法。
Cochrane Database Syst Rev. 2021 Sep 3;9(9):CD013173. doi: 10.1002/14651858.CD013173.pub2.
8
Summary of the comparative effectiveness review on off-label use of atypical antipsychotics.非典型抗精神病药物超说明书使用的比较有效性评价综述
J Manag Care Pharm. 2012 Jun;18(5 Suppl B):S1-20. doi: 10.18553/jmcp.2012.18.S5-B.1.
9
[Guidelines for the prevention and management of bronchial asthma (2024 edition)].[支气管哮喘防治指南(2024年版)]
Zhonghua Jie He He Hu Xi Za Zhi. 2025 Mar 12;48(3):208-248. doi: 10.3760/cma.j.cn112147-20241013-00601.
10
Vortioxetine for depression in adults.伏硫西汀用于成人抑郁症治疗。
Cochrane Database Syst Rev. 2017 Jul 5;7(7):CD011520. doi: 10.1002/14651858.CD011520.pub2.

引用本文的文献

1
Cooking for disability: a pilot study on nutritional interventions for mental health support in adults with autism spectrum disorder.为残障人士烹饪:一项针对自闭症谱系障碍成年人心理健康支持的营养干预试点研究。
Front Psychiatry. 2025 Aug 19;16:1608033. doi: 10.3389/fpsyt.2025.1608033. eCollection 2025.
2
Psychosocial Supports for the Physical and Mental Health of Youth with Autism and Other Neurodevelopmental Disabilities.对患有自闭症和其他神经发育障碍的青少年身心健康的社会心理支持
Mo Med. 2025 Jul-Aug;122(4):291-296.
3
Diminished Motivation for Voluntary Exercise and Metabolic Dysfunction in Psychiatric Disorders: A Behavioral Perspective on Autism Spectrum Disorder and Depression.

本文引用的文献

1
Prenatal environmental risk factors for autism spectrum disorder and their potential mechanisms.自闭症谱系障碍的产前环境风险因素及其潜在机制。
BMC Med. 2024 Sep 16;22(1):393. doi: 10.1186/s12916-024-03617-3.
2
Longitudinal trends and correlation between autism spectrum disorder prevalence and sperm quality parameters (2000-2024): a comprehensive statistical analysis.孤独症谱系障碍患病率与精子质量参数之间的纵向趋势及相关性(2000 - 2024年):一项综合统计分析
Front Reprod Health. 2024 Aug 22;6:1438049. doi: 10.3389/frph.2024.1438049. eCollection 2024.
3
Male autism spectrum disorder is linked to brain aromatase disruption by prenatal BPA in multimodal investigations and 10HDA ameliorates the related mouse phenotype.
精神疾病中自愿运动动机减弱与代谢功能障碍:自闭症谱系障碍和抑郁症的行为学视角
Int Neurourol J. 2025 Jul;29(Suppl 1):S3-S12. doi: 10.5213/inj.2550134.067. Epub 2025 Jul 31.
4
Sociodemographic Factors Associated with Autistic Youth's Psychotherapy Service Use.与自闭症青少年心理治疗服务使用相关的社会人口学因素。
Adm Policy Ment Health. 2025 Jun 3. doi: 10.1007/s10488-025-01448-9.
多模态研究表明,男性自闭症谱系障碍与产前 BPA 引起的大脑芳香酶破坏有关,而 10HDA 可改善相关的小鼠表型。
Nat Commun. 2024 Aug 7;15(1):6367. doi: 10.1038/s41467-024-48897-8.
4
Feasibility study of a parent-driven intervention for youth with Down syndrome.一项针对唐氏综合征青少年的家长驱动干预措施的可行性研究。
J Intellect Disabil Res. 2024 Sep;68(9):1077-1086. doi: 10.1111/jir.13171. Epub 2024 Jul 9.
5
Comparative physiological effects of antipsychotic drugs in children and young people: a network meta-analysis.抗精神病药物在儿童和青少年中的比较生理效应:网络荟萃分析。
Lancet Child Adolesc Health. 2024 Jul;8(7):510-521. doi: 10.1016/S2352-4642(24)00098-1.
6
Pharmacological and non-pharmacological interventions for irritability in autism spectrum disorder: a systematic review and meta-analysis with the GRADE assessment.自闭症谱系障碍烦躁的药物和非药物干预:系统评价和 GRADE 评估Meta 分析。
Mol Autism. 2024 Jan 23;15(1):7. doi: 10.1186/s13229-024-00585-6.
7
A Practice Pathway for the Treatment of Night Wakings in Children with Autism Spectrum Disorder.自闭症谱系障碍儿童夜醒治疗的实践路径。
J Autism Dev Disord. 2024 Aug;54(8):2926-2945. doi: 10.1007/s10803-023-06026-2. Epub 2023 Jun 26.
8
Quantity of Melatonin and CBD in Melatonin Gummies Sold in the US.在美国销售的褪黑素软糖中褪黑素和大麻二酚的含量。
JAMA. 2023 Apr 25;329(16):1401-1402. doi: 10.1001/jama.2023.2296.
9
Early Identification of Autism Spectrum Disorder Among Children Aged 4 Years - Autism and Developmental Disabilities Monitoring Network, 11 Sites, United States, 2020.在 4 岁儿童中早期识别自闭症谱系障碍 - 自闭症和发育障碍监测网络,11 个地点,美国,2020 年。
MMWR Surveill Summ. 2023 Mar 24;72(1):1-15. doi: 10.15585/mmwr.ss7201a1.
10
Prevalence and Characteristics of Autism Spectrum Disorder Among Children Aged 8 Years - Autism and Developmental Disabilities Monitoring Network, 11 Sites, United States, 2020.2020 年,美国 11 个监测点自闭症和发育障碍监测网络 8 岁儿童自闭症谱系障碍的流行率和特征。
MMWR Surveill Summ. 2023 Mar 24;72(2):1-14. doi: 10.15585/mmwr.ss7202a1.