Suppr超能文献

如何改进产志贺毒素大肠杆菌(STEC)监测计划:差距分析与试点研究

How to Improve Surveillance Program for Shiga Toxin-Producing (STEC): Gap Analysis and Pilot Study.

作者信息

Sora Valerio Massimo, Zaghen Francesca, Zecconi Alfonso

机构信息

One Health Unit, Department of Biomedical, Surgical and Dental Sciences, School of Medicine, University of Milan, Via Pascal 36, 20133 Milan, Italy.

Department of Clinical and Community Sciences, School of Medicine, University of Milan, Via Celoria 22, 20133 Milan, Italy.

出版信息

Pathogens. 2024 Jun 17;13(6):511. doi: 10.3390/pathogens13060511.

Abstract

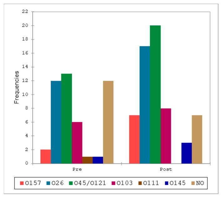
Several pathotypes of enteric have been identified. The group represented by Shiga toxin-producing (STEC) is of particular interest. Raw milk and raw milk products are significant sources of STEC infection in humans; therefore, identifying pathogens at the herd level is crucial for public health. Most national surveillance programs focus solely on raw milk and raw milk cheeses that are ready for retail sale, neglecting the possibility of evaluating the source of contamination directly at the beginning of the dairy chain. To assess the viability of the application of new molecular methodologies to STEC identification in raw milk filters and in calf feces, we analyzed 290 samples from 18 different dairy herds, including 88 bulk tank milk (BTM), 104 raw milk filters (RMF), and 98 calf feces samples. In total 3.4% of BTM, 41.4% of RMF, and 73.4% of calves' feces were positive for , supporting our hypothesis that BTM is not a suitable matrix to assess the presence of STEC at herd level, underestimating it. Our conclusion is that the surveillance program needs critical and extensive improvements such as RMF and calves' feces analysis implementation to be more efficient in detecting and preventing STEC infections. The epidemiology of these infections and the characteristics of the pathogen clearly show how a One Health approach will be pivotal in improving our capabilities to control the spread of these infections.

摘要

已鉴定出几种肠道致病型。产志贺毒素大肠杆菌(STEC)所代表的菌群尤其令人关注。生牛奶和生牛奶制品是人类感染STEC的重要来源;因此,在畜群层面识别病原体对公共卫生至关重要。大多数国家监测项目仅关注准备零售的生牛奶和生牛奶奶酪,而忽略了在乳制品链起始端直接评估污染源的可能性。为了评估新分子方法在生牛奶过滤器和小牛粪便中鉴定STEC的可行性,我们分析了来自18个不同奶牛场的290个样本,包括88份储奶罐牛奶(BTM)、104份生牛奶过滤器(RMF)和98份小牛粪便样本。总体而言,3.4%的BTM、41.4%的RMF和73.4%的小牛粪便样本检测出STEC呈阳性,这支持了我们的假设,即BTM并非评估畜群层面STEC存在情况的合适基质,会低估其存在情况。我们的结论是,监测项目需要进行重大且广泛的改进,例如实施RMF和小牛粪便分析,以便在检测和预防STEC感染方面更有效。这些感染的流行病学情况和病原体特征清楚地表明,“同一健康”方法对于提高我们控制这些感染传播的能力将至关重要。

https://cdn.ncbi.nlm.nih.gov/pmc/blobs/4bc3/11206285/60140a6bcd0d/pathogens-13-00511-g001.jpg

文献AI研究员

20分钟写一篇综述,助力文献阅读效率提升50倍。

立即体验

用中文搜PubMed

大模型驱动的PubMed中文搜索引擎

马上搜索

文档翻译

学术文献翻译模型,支持多种主流文档格式。

立即体验