Suppr超能文献

阻力训练导致拉伸诱导的力量不足——一项随机交叉研究。

Resistance Training Causes the Stretch-Induced Force Deficit-A Randomized Cross-Over Study.

作者信息

Warneke Konstantin, Turau Katharina, Lohmann Lars Hubertus, Hillebrecht Martin, Behm David G, Konrad Andreas, Schmidt Tobias

机构信息

Institute of Human Movement Science and Exercise, University of Graz, 8010 Graz, Austria.

Institute of Sport Science, Alpen-Adria University Klagenfurt, 9020 Klagenfurt am Wörthersee, Austria.

出版信息

Sports (Basel). 2024 May 27;12(6):145. doi: 10.3390/sports12060145.

Abstract

PURPOSE

Stretch-induced force deficit suggests an acute stretch-specific strength capacity loss, which is commonly attributed to EMG reductions. Since those deficits could also be attributed to general fatigue induced by overloading the muscle, this study aimed to compare stretching with an exhausting calf raise programme to compare strength and stretching responses.

METHOD

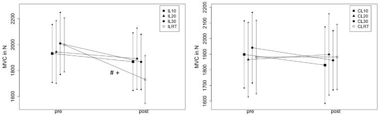
This study included 16 participants with different, high-duration calf muscle stretching effects (10, 20, 30 min of stretching) with resistance training (RT) (3 × 12 repetitions) performed until muscle failure, by using a cross-over study design with pre-post comparisons. Strength was tested via isometric plantar flexor diagnostics, while flexibility was assessed using the knee-to-wall test (KtW) and an isolated goniometer test.

RESULTS

Using a three-way ANOVA, RT strength decreases were greater compared to 10 and 20 min of stretching ( = 0.01-0.02), but similar to those of 30 min of stretching. ROM in the KtW showed no specific stretch-induced increases, while only the stretching conditions enhanced isolated tested ROM ( < 0.001-0.008). No RT-related isolated ROM increases were observed.

CONCLUSIONS

The results showed both interventions had similar effects on strength and ROM in the calf muscles. More holistic explanatory approaches such as fatigue and warm-up are discussed in the manuscript and call for further research.

摘要

目的

拉伸诱导的力量不足表明存在急性拉伸特异性力量能力丧失,这通常归因于肌电图的降低。由于这些不足也可能归因于肌肉过载引起的全身性疲劳,本研究旨在比较拉伸与 exhausting calf raise 方案,以比较力量和拉伸反应。

方法

本研究纳入了 16 名参与者,通过交叉研究设计和前后比较,对不同时长(10、20、30 分钟拉伸)的小腿肌肉拉伸效果与阻力训练(RT)(3×12 次重复)进行比较,直至肌肉疲劳。通过等长跖屈诊断测试力量,同时使用膝盖靠墙试验(KtW)和单独的角度计测试评估柔韧性。

结果

使用三因素方差分析,与 10 分钟和 20 分钟的拉伸相比,RT 导致的力量下降更大(P = 0.01 - 0.02),但与 30 分钟拉伸导致的力量下降相似。KtW 中的活动度没有显示出特定的拉伸诱导增加,而只有拉伸条件增强了单独测试的活动度(P < 0.001 - 0.008)。未观察到与 RT 相关的单独活动度增加。

结论

结果表明两种干预措施对小腿肌肉的力量和活动度有相似影响。手稿中讨论了更全面的解释方法,如疲劳和热身,并呼吁进一步研究。

https://cdn.ncbi.nlm.nih.gov/pmc/blobs/9a58/11209436/8540b40afb58/sports-12-00145-g001.jpg

文献AI研究员

20分钟写一篇综述,助力文献阅读效率提升50倍。

立即体验

用中文搜PubMed

大模型驱动的PubMed中文搜索引擎

马上搜索

文档翻译

学术文献翻译模型,支持多种主流文档格式。

立即体验