Liu Zenan, Hong Peng, He Jide, Li Ziang, Wu Jialong, Qiu Lei, Zhao Zhenkun, Lu Jian
Department of Urology, Peking University Third Hospital, Beijing, People's Republic of China.
Int J Surg. 2025 Jan 1;111(1):807-817. doi: 10.1097/JS9.0000000000001884.
To compare the association between prostate-specific antigen (PSA) levels and prostate cancer-specific mortality (PCSM) and the effectiveness of local treatment in patients with high-grade and low-grade prostate cancer (PCa).
This retrospective cohort study enrolled patients diagnosed with clinically localized PCa (cT1-4N0M0) from January 2010 to December 2020 in the Surveillance, Epidemiology, and End Results (SEER) database. Fine-Gray competing risk regression analysis was conducted to generate cumulative incidence plots and estimate the hazard ratio (HR) and 95% CI of PCSM. Multivariable restricted cubic spline analysis was used to examine the nonlinear associations of continuous values of PSA levels with PCSM. Inverse probability of treatment weighting was employed to minimize imbalances in baseline characteristics between different local treatment cohorts.
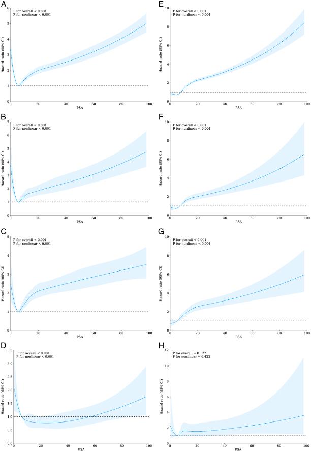
A total of 392 083 eligible patients were included in the study, including 327 659 low-grade (Gleason score [GS]≤7) PCa and 64424 high-grade (GS≥8) PCa. In multivariate Fine-Gray competing risk regression analysis, using PSA levels of 4.1-10.0 ng/ml as the reference, the adjusted HR among high-grade patients with PSA levels ≤2.5 ng/ml, 2.6-4.0 ng/ml, 10.1-20.0 ng/ml and >20.0 ng/ml were 1.988 (95% CI: 1.677-2.358), 1.411 (95% CI: 1.194-1.668), 1.472 (95% CI: 1.351-1.603), and 2.506 (95% CI: 2.318-2.709), respectively. Among low-grade PCa, the adjusted HR were 0.985 (95% CI: 0.800-1.213), 0.727 (95% CI: 0.602-0.877), 1.844 (95% CI: 1.679-2.026), and 3.574 (95% CI: 3.220-3.966), respectively. Multivariable-adjusted restricted cubic spline analysis showed a U/J-shaped distribution relationship between PSA levels and PCSM in high-grade PCa, while there was a positive association between PSA levels and PCSM in low-grade PCa. As for local treatment effectiveness, radiation therapy (RT) provided better control of PCSM compared to radical prostatectomy (RP) and RP+RT in high-grade PCa, while RP provided better control of PCSM compared to RT and RP+RT in low-grade PCa.
Low PSA level (≤2.5 ng/ml) is significantly associated with a very high-risk of PCSM in high-grade localized PCa but not in low-grade localized PCa. High-grade localized PCa patients benefit more from RT in terms of PCSM control, while low-grade localized PCa patients benefit more from RP. High-grade localized PCa with low PSA level may be a unique subgroup that could benefit from novel risk stratification strategies in PCa, which requires further studies to investigate the potential of developing novel therapeutic strategies, prognostic tools, and clinical management approaches.
比较前列腺特异性抗原(PSA)水平与前列腺癌特异性死亡率(PCSM)之间的关联,以及局部治疗在高分级和低分级前列腺癌(PCa)患者中的有效性。
这项回顾性队列研究纳入了2010年1月至2020年12月在监测、流行病学和最终结果(SEER)数据库中诊断为临床局限性PCa(cT1 - 4N0M0)的患者。进行Fine - Gray竞争风险回归分析以生成累积发病率图,并估计PCSM的风险比(HR)和95%置信区间(CI)。使用多变量受限立方样条分析来检验PSA水平连续值与PCSM之间的非线性关联。采用治疗权重逆概率法来最小化不同局部治疗队列之间基线特征的不平衡。
该研究共纳入392083例符合条件的患者,包括327659例低分级(Gleason评分[GS]≤7)PCa和64424例高分级(GS≥8)PCa。在多变量Fine - Gray竞争风险回归分析中,以PSA水平4.1 - 10.0 ng/ml作为参照,高分级患者中PSA水平≤2.5 ng/ml、2.6 - 4.0 ng/ml、10.1 - 20.0 ng/ml和>20.0 ng/ml的校正HR分别为1.988(95% CI:1.677 - 2.358)、1.411(95% CI:1.194 - 1.668)、1.472(95% CI:1.351 - 1.603)和2.506(95% CI:2.318 - 2.709)。在低分级PCa中,校正HR分别为0.985(95% CI:0.800 - 1.213)、0.727(95% CI:0.602 - 0.877)、1.844(95% CI:1.679 - 2.026)和3.574(95% CI:3.220 - 3.966)。多变量调整后的受限立方样条分析显示,高分级PCa中PSA水平与PCSM之间呈U/J形分布关系,而低分级PCa中PSA水平与PCSM之间呈正相关。至于局部治疗效果,在高分级PCa中,与根治性前列腺切除术(RP)和RP + RT相比,放射治疗(RT)对PCSM的控制更好;而在低分级PCa中,与RT和RP + RT相比,RP对PCSM的控制更好。
低PSA水平(≤2.5 ng/ml)与高分级局限性PCa的PCSM极高风险显著相关,但与低分级局限性PCa无关。在PCSM控制方面,高分级局限性PCa患者从RT中获益更多;而低分级局限性PCa患者从RP中获益更多。低PSA水平的高分级局限性PCa可能是一个独特的亚组,可能从PCa新的风险分层策略中获益,这需要进一步研究以探讨开发新治疗策略、预后工具和临床管理方法的潜力。