Suppr超能文献

基于视网膜层厚度评分对多发性硬化疾病活动和残疾恶化的个体预测。

Individual Prognostication of Disease Activity and Disability Worsening in Multiple Sclerosis With Retinal Layer Thickness Scores.

机构信息

From the Charité - Universitätsmedizin Berlin (T.-Y.L., S.M., S.A., C.C., S. Samadzadeh, J.B.-S., T.S.-H., A.U.B., H.G.Z., F.P.); Experimental and Clinical Research Center (T.-Y.L., S.M., S.A., C.C., S. Samadzadeh, J.B.-S., T.S.-H., A.U.B., H.G.Z., F.P.), a cooperation between the Max Delbrück Center for Molecular Medicine in the Helmholtz Association and Charité - Universitätsmedizin Berlin; Max-Delbrück Center for Molecular Medicine in the Helmholtz Association (MDC) (T.-Y.L., S.M., S.A., C.C., S. Samadzadeh, J.B.-S., T.S.-H., A.U.B., H.G.Z., F.P.); Neuroscience Clinical Research Center (S.M., S.A., C.C., J.B.-S., T.S.-H., H.G.Z., F.P.); Department of Psychiatry and Psychotherapy (C.C.), Charité - Universitätsmedizin Berlin, Germany; Department of Neurology (S. Saidha, P.A.C., K.C.F.); Department of Epidemiology (K.C.F.), Johns Hopkins Bloomberg School of Public Health, Baltimore, MD; Department of Regional Health Research and Molecular Medicine (S. Samadzadeh), University of Southern Denmark, Odense; Department of Neurology (S. Samadzadeh), Slagelse Hospital, Denmark; Department of Neurology (P. Villoslada), Hospital Del Mar - Pompeu Fabra University; Neuroimmunology and Multiple Sclerosis Unit (S.L.), Hospital Clinic Barcelona and IDIBAPS, Barcelona, Spain; Department of Neurology (A.J.G.), University of California San Francisco; Department of Neurology (J.L.P.), Charles University in Prague, Czech Republic; Moorfield's Eye Hospital (A.P.), The National Hospital for Neurology and Neurosurgery, Queen Square Institute of Neurology, University College London, United Kingdom; Neuro-ophthalmology Expert Center (A.P.), Amsterdam UMC, Netherlands; Experimental Neurophysiology Unit (L.L.), Institute of Experimental Neurology (INSPE), San Raffaele Scientific Institute; Vita-Salute San Raffaele University (L.L.), Milan, Italy; Miguel Servet University Hospital (E.G.-M.), Zaragoza; Department of Neurology (C.O.-G.), Hospital Clínico Universitario San Carlos, Madrid, Spain; Department of Neurology (O.O., P. Vermersch); Department of Neuroradiology (O.O., P. Vermersch), Centre Hospitalier Universitaire de Lille, France; Departments of Neurology (L.J.B., R.K.), Population Health and Ophthalmology, NYU Grossman School of Medicine, NY; Department of Neurology (P.A., O.A.), Heinrich-Heine-University, Düsseldorf, Germany; Departments of Clinical Neurosciences and Surgery Cumming School of Medicine (F.C.), University of Calgary, Alberta, Canada; Clinic of Optic Neuritis and Clinic of Multiple Sclerosis (J.F.), Department of Neurology, Rigshospitalet - Glostrup, Denmark; Department of Neurosciences (A.U., M.C.), Rehabilitation, Ophthalmology, Genetics, Maternal and Child Health, University of Genoa, Italy; Laboratory of Neuroimmunology (E.M.F., T.C.F.), Professor Lawrence Steinman, Stanford University School of Medicine, Palo Alto, CA; Department of Neurology (K.R., F.P.), Charité - Universitätsmedizin Berlin; and Einstein Center Digital Future (H.G.Z.), Berlin, Germany.

出版信息

Neurol Neuroimmunol Neuroinflamm. 2024 Sep;11(5):e200269. doi: 10.1212/NXI.0000000000200269. Epub 2024 Jun 28.

Abstract

BACKGROUND AND OBJECTIVES

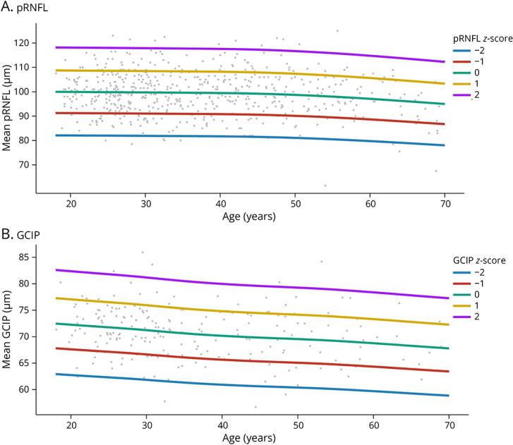
Retinal optical coherence tomography (OCT) provides promising prognostic imaging biomarkers for future disease activity in multiple sclerosis (MS). However, raw OCT-derived measures have multiple dependencies, supporting the need for establishing reference values adjusted for possible confounders. The purpose of this study was to investigate the capacity for age-adjusted scores of OCT-derived measures to prognosticate future disease activity and disability worsening in people with MS (PwMS).

METHODS

We established age-adjusted OCT reference data using generalized additive models for location, scale, and shape for peripapillary retinal nerve fiber layer (pRNFL) and ganglion cell-inner plexiform layer (GCIP) thicknesses, involving 910 and 423 healthy eyes, respectively. Next, we transformed the retinal layer thickness of PwMS from 3 published studies into age-adjusted scores (pRNFL-z and GCIP-z) based on the reference data. Finally, we investigated the association of pRNFL-z or GCIP-z as predictors with future confirmed disability worsening (Expanded Disability Status Scale score increase) or disease activity (failing of the no evidence of disease activity [NEDA-3] criteria) as outcomes. Cox proportional hazards models or logistic regression analyses were applied according to the original studies. Optimal cutoffs were identified using the Akaike information criterion as well as location with the log-rank and likelihood-ratio tests.

RESULTS

In the first cohort (n = 863), 172 PwMS (24%) had disability worsening over a median observational period of 2.0 (interquartile range [IQR]:1.0-3.0) years. Low pRNFL-z (≤-2.04) were associated with an increased risk of disability worsening (adjusted hazard ratio (aHR) [95% CI] = 2.08 [1.47-2.95], 3.82e). In the second cohort (n = 170), logistic regression analyses revealed that lower pRNFL-z showed a higher likelihood for disability accumulation at the two-year follow-up (reciprocal odds ratio [95% CI] = 1.51[1.06-2.15], = 0.03). In the third cohort (n = 78), 46 PwMS (59%) did not maintain the NEDA-3 status over a median follow-up of 2.0 (IQR: 1.9-2.1) years. PwMS with low GCIP-z (≤-1.03) had a higher risk of showing disease activity (aHR [95% CI] = 2.14 [1.03-4.43], = 0.04). Compared with raw values with arbitrary cutoffs, applying the score approach with optimal cutoffs showed better performance in discrimination and calibration (higher Harrell's concordance index and lower integrated Brier score).

DISCUSSION

In conclusion, our work demonstrated reference cohort-based scores that account for age, a major driver for disease progression in MS, to be a promising approach for creating OCT-derived measures useable across devices and toward individualized prognostication.

摘要

背景与目的

视网膜光学相干断层扫描(OCT)为多发性硬化症(MS)未来的疾病活动提供了有前景的预后影像学生物标志物。然而,原始的 OCT 衍生测量值有多种依赖性,这支持了建立针对可能混杂因素进行调整的参考值的需要。本研究的目的是探讨经年龄校正的 OCT 衍生测量值评分在 MS 患者(PwMS)中预测未来疾病活动和残疾恶化的能力。

方法

我们使用广义加性模型为 910 只健康眼的视盘周围视网膜神经纤维层(pRNFL)和神经节细胞内丛状层(GCIP)厚度建立了年龄校正的 OCT 参考数据,为 423 只健康眼建立了年龄校正的 OCT 参考数据。接下来,我们根据参考数据将 PwMS 的视网膜层厚度从 3 项已发表的研究转换为经年龄校正的 z 评分(pRNFL-z 和 GCIP-z)。最后,我们研究了 pRNFL-z 或 GCIP-z 作为预测因子与未来确诊的残疾恶化(扩展残疾状态量表评分增加)或疾病活动(不符合无疾病活动证据[NEDA-3]标准)的关联。根据原始研究,应用 Cox 比例风险模型或逻辑回归分析。使用赤池信息量准则以及对数秩和似然比检验来确定最佳截断值。

结果

在第一个队列(n=863)中,172 名 PwMS(24%)在中位观察期 2.0(四分位距[IQR]:1.0-3.0)年内出现残疾恶化。低 pRNFL-z(≤-2.04)与残疾恶化风险增加相关(调整后的危险比[aHR] [95%CI]=2.08[1.47-2.95], =0.003)。在第二个队列(n=170)中,逻辑回归分析显示,较低的 pRNFL-z 在两年随访时更有可能导致残疾累积(倒数优势比[aOR] [95%CI]=1.51[1.06-2.15], =0.02)。在第三个队列(n=78)中,46 名 PwMS(59%)在中位随访 2.0(IQR:1.9-2.1)年内未维持 NEDA-3 状态。GCIP-z 较低的 PwMS(≤-1.03)发生疾病活动的风险更高(aHR [95%CI]=2.14 [1.03-4.43], =0.04)。与任意截断值的原始值相比,使用最佳截断值的 z 评分方法在区分度和校准度方面表现更好(更高的 Harrell 一致性指数和更低的综合 Brier 评分)。

讨论

总之,我们的工作证明了基于参考队列的 z 评分,该评分考虑了年龄这一 MS 疾病进展的主要驱动因素,是一种有前途的方法,可以创建可在不同设备之间使用的 OCT 衍生测量值,并实现个体化预测。

https://cdn.ncbi.nlm.nih.gov/pmc/blobs/ad2e/11214150/049ac6dc2fd5/NXI-2023-000632f1.jpg

文献AI研究员

20分钟写一篇综述,助力文献阅读效率提升50倍。

立即体验

用中文搜PubMed

大模型驱动的PubMed中文搜索引擎

马上搜索

文档翻译

学术文献翻译模型,支持多种主流文档格式。

立即体验