Ebenezer James, Lal Aneena, Velayudham Parthiban, Borenstein Arie, Schechter Alex
Department of Chemical Sciences, Ariel University, Ariel 40 700, Israel.
Research and Development Centre for Renewable Energy, New Technology Centre, University of West Bohemia, 301 00 Pilsen, Czech Republic.
ACS Appl Mater Interfaces. 2024 Jul 17;16(28):36433-36443. doi: 10.1021/acsami.4c06378. Epub 2024 Jul 3.
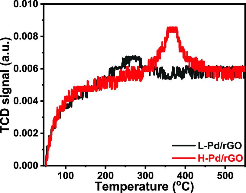
Electrochemical reduction of nitrate to ammonia (eNORR) is proposed as a sustainable solution for high-rate ammonia synthesis under ambient conditions. The complex, multistep eNORR mechanism necessitates the use of a catalyst for the complete conversion of nitrate to ammonia. Our research focuses on developing a novel Pd-PdO doped in a reduced graphene oxide (rGO) composite catalyst synthesized via a laser-assisted one-step technique. This catalyst demonstrates dual functionality: palladium (Pd) boosts hydrogen adsorption, while its oxide (PdO) demonstrates considerable nitrogen adsorption affinity and exhibits a maximum ammonia yield of 5456.4 ± 453.4 μg/h/cm at -0.6 V vs reversible hydrogen electrode (RHE), with significant yields for nitrite and hydroxylamine under ambient conditions in a nitrate-containing alkaline electrolyte. At a lower potential of -0.1 V, the catalyst exhibited a minimal hydrogen evolution reaction of 3.1 ± 2.2% while achieving high ammonia selectivity (74.9 ± 4.4%), with the balance for nitrite and hydroxylamine. Additionally, the catalyst's stability and activity can be regenerated through the electrooxidation of Pd.
电化学硝酸盐还原制氨(eNORR)被认为是一种在环境条件下实现高速率氨合成的可持续解决方案。复杂的多步eNORR机制需要使用催化剂才能将硝酸盐完全转化为氨。我们的研究重点是开发一种新型的钯-氧化钯掺杂还原氧化石墨烯(rGO)复合催化剂,该催化剂通过激光辅助一步技术合成。这种催化剂具有双重功能:钯(Pd)促进氢吸附,而其氧化物(PdO)表现出相当大的氮吸附亲和力,在相对于可逆氢电极(RHE)为-0.6 V时,最大氨产率为5456.4±453.4 μg/h/cm,在含硝酸盐的碱性电解液中,在环境条件下亚硝酸盐和羟胺的产率也很高。在-0.1 V的较低电位下,该催化剂的析氢反应最小,为3.1±2.2%,同时实现了高氨选择性(74.9±4.4%),其余为亚硝酸盐和羟胺。此外,催化剂的稳定性和活性可以通过钯的电氧化来再生。