Suppr超能文献

一种结合微卫星不稳定性与分析的新型结直肠癌检测方法:临床验证及其对林奇综合征筛查的影响

A novel colorectal cancer test combining microsatellite instability and analysis: Clinical validation and impact on Lynch syndrome screening.

作者信息

Gallon Richard, Herrero-Belmonte Patricia, Phelps Rachel, Hayes Christine, Sollars Elizabeth, Egan Daniel, Spiewak Helena, Nalty Sam, Mills Sarah, Loo Peh Sun, Borthwick Gillian M, Santibanez-Koref Mauro, Burn John, McAnulty Ciaron, Jackson Michael S

机构信息

Translational and Clinical Research Institute, Faculty of Medical Sciences, Newcastle University, Newcastle upon Tyne, UK.

Northern Genetics Service, The Newcastle upon Tyne Hospitals NHS Foundation Trust, Newcastle upon Tyne, UK.

出版信息

BJC Rep. 2024;2(1):48. doi: 10.1038/s44276-024-00072-8. Epub 2024 Jul 1.

Abstract

BACKGROUND

Lynch syndrome (LS) is under-diagnosed. UK National Institute for Health and Care Excellence guidelines recommend multistep molecular testing of all colorectal cancers (CRCs) to screen for LS. However, the complexity of the pathway has resulted in limited improvement in diagnosis.

METHODS

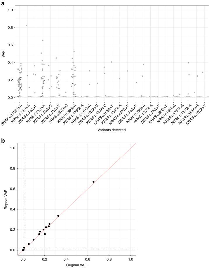
One-step multiplex PCR was used to generate sequencing-ready amplicons from 14 microsatellite instability (MSI) markers and 22 , , and mutation hotspots. MSI and variants were detected using amplicon-sequencing and automated analysis. The assay was clinically validated and deployed into service in northern England, followed by regional and local audits to assess its impact.

RESULTS

MSI analysis achieved 99.1% sensitivity and 99.2% specificity and was reproducible (r = 0.995). Mutation hotspot analysis had 100% sensitivity, 99.9% specificity, and was reproducible (r = 0.998). Assay-use in service in 2022-2023 increased CRC testing (97.2% (2466/2536) versus 28.6% (601/2104)), halved turnaround times, and identified more CRC patients at-risk of LS (5.5% (139/2536) versus 2.9% (61/2104)) compared to 2019-2020 when a multi-test pathway was used.

CONCLUSION

A novel amplicon-sequencing assay of CRCs, including all biomarkers for LS screening and anti-EGFR therapy, achieved >95% testing rate. Adoption of this low cost, scalable, and fully automatable test will complement on-going, national initiatives to improve LS screening.

摘要

背景

林奇综合征(LS)的诊断不足。英国国家卫生与临床优化研究所指南建议对所有结直肠癌(CRC)进行多步骤分子检测以筛查LS。然而,该检测流程的复杂性导致诊断方面的改善有限。

方法

采用一步多重PCR从14个微卫星不稳定性(MSI)标记以及22个 、 以及 突变热点区域生成可用于测序的扩增子。使用扩增子测序和自动化分析检测MSI和 变异。该检测方法在临床上得到验证并在英格兰北部投入使用,随后进行区域和本地审核以评估其影响。

结果

MSI分析的灵敏度达到99.1%,特异性达到99.2%,且具有可重复性(r = 0.995)。突变热点分析的灵敏度为100%,特异性为99.9%,且具有可重复性(r = 0.998)。与2019 - 2020年使用多检测流程时相比,2022 - 2023年该检测方法在实际应用中增加了CRC检测量(97.2%(2466/2536)对28.6%(601/2104)),周转时间减半,并识别出更多有LS风险的CRC患者(5.5%(139/2536)对2.9%(61/2104))。

结论

一种新型的CRC扩增子测序检测方法,包括用于LS筛查和抗表皮生长因子受体治疗的所有生物标志物,检测率超过95%。采用这种低成本、可扩展且完全自动化的检测方法将补充正在进行的全国性改善LS筛查的举措。

https://cdn.ncbi.nlm.nih.gov/pmc/blobs/f58d/11523982/ef80953e3c3f/44276_2024_72_Fig1_HTML.jpg

文献检索

告别复杂PubMed语法,用中文像聊天一样搜索,搜遍4000万医学文献。AI智能推荐,让科研检索更轻松。

立即免费搜索

文件翻译

保留排版,准确专业,支持PDF/Word/PPT等文件格式,支持 12+语言互译。

免费翻译文档

深度研究

AI帮你快速写综述,25分钟生成高质量综述,智能提取关键信息,辅助科研写作。

立即免费体验