Richter Marvin L, Peris Eduardo, Gonell Sergio
Institute of Advanced Materials (INAM), Centro de Innovación en Química Avanzada (ORFEO-CINQA), Universitat Jaume I, Av. Vicente Sos Baynat s/n., E-12071, Castellón, Spain.
ChemSusChem. 2024 Dec 20;17(24):e202401007. doi: 10.1002/cssc.202401007. Epub 2024 Sep 2.
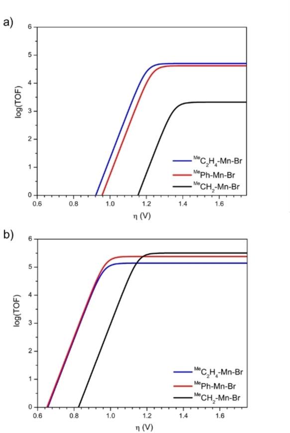
First row transition metal complexes have attracted attention as abundant and affordable electrocatalysts for CO reduction. Manganese complexes bearing bis-N-heterocyclic carbene ligands defining 6-membered ring metallacycles have proven to reduce CO to CO selectively at very high rates. Herein, we report the synthesis of manganese carbonyl complexes supported by a rigid ortho-phenylene bridged bis-N-heterocyclic carbene ligand (ortho-phenylene-bis(N-methylimidazol-2-ylidene), Ph-bis-mim), which defines a 7-membered ring metallacycle. We performed a comparative study with the analogues complexes bearing an ethylene-bis(N-methylimidazol-2-ylidene) ligand (CH-bis-mim) and a methylene-bis(N-methylimidazol-2-ylidene) ligand (CH-bis-mim), and found that catalysts comprising a seven-membered metallacycle retain similar selectivity and activity as those with six-membered metallacycles, while reducing the overpotential by 120-190 mV. Our findings reveal general design principles for manganese bis-N-heterocyclic carbene electrocatalysts, which can guide further designs of affordable, fast and low overpotential catalysts for CO electroreduction.
第一行过渡金属配合物作为用于CO还原的丰富且经济实惠的电催化剂受到了关注。带有定义六元环金属环的双-N-杂环卡宾配体的锰配合物已被证明能以非常高的速率将CO选择性还原为CO。在此,我们报告了由刚性邻亚苯基桥连的双-N-杂环卡宾配体(邻亚苯基-双(N-甲基咪唑-2-亚基),Ph-双-mim)支撑的锰羰基配合物的合成,该配体定义了一个七元环金属环。我们对带有乙烯-双(N-甲基咪唑-2-亚基)配体(CH-双-mim)和亚甲基-双(N-甲基咪唑-2-亚基)配体(CH-双-mim)的类似配合物进行了比较研究,发现包含七元金属环的催化剂与包含六元金属环的催化剂具有相似的选择性和活性,同时过电位降低了120 - 190 mV。我们的研究结果揭示了锰双-N-杂环卡宾电催化剂的一般设计原则,这可以指导进一步设计用于CO电还原的经济实惠、快速且低过电位的催化剂。