Suppr超能文献

瑞马唑仑甲苯磺酸盐与丙泊酚在腹腔镜胆囊切除术患者全麻诱导和维持中的比较:一项前瞻性、单中心、随机对照试验。

Comparison of remimazolam tosilate and propofol during induction and maintenance of general anesthesia in patients undergoing laparoscopic cholecystectomy: a prospective, single center, randomized controlled trial.

机构信息

The Third Affiliated Hospital of Zunyi Medical University, (The First People's Hospital of Zunyi), Guizhou, China.

出版信息

BMC Anesthesiol. 2024 Jul 6;24(1):226. doi: 10.1186/s12871-024-02614-6.

Abstract

BACKGROUND

Remimazolam tosilate (RT) is a new, ultrashort-acting benzodiazepine. Here, we investigated the efficacy and safety of RT for general anesthesia in patients undergoing Laparoscopic Cholecystectomy (LC).

METHODS

In this study, 122 patients undergoing laparoscopic cholecystectomy were randomly allocated to receive either remimazolam tosilate (Group RT) or propofol group (Group P). RT was administered as a slow bolus of 0.3 mg kg for induction, followed by 1.0-2.0 mg kg h for maintenance of general anesthesia. Propofol was started at 2 mg kg and followed by 4-10 mg kg h until the end of surgery. The primary outcome was the time to bispectral index (BIS) ≤ 60. The secondary outcome included the time to loss of consciousness (LoC), and the time to extubation. Adverse events were also assessed.

RESULTS

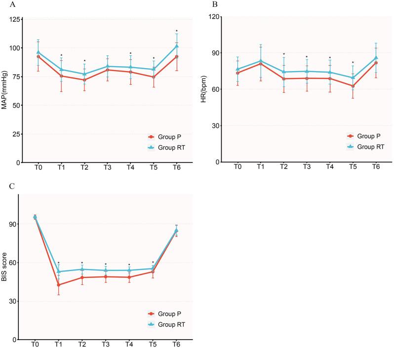
A total of 112 patients were recruited for study participation. Among them, the time to BIS ≤ 60 in Group RT was longer than that in Group P (Group RT: 89.3 ± 10.7 s; Group P: 85.9 ± 9.7 s, P > 0.05). While the time to LoC comparing remimazolam and propofol showed no statistical significance (Group RT: 74.4 ± 10.3 s; Group P: 74.7 ± 9.3 s, P > 0.05). The time to extubation in Group RT was significantly longer than that in Group P (Group RT: 16.0 ± 2.6 min; Group P: 8.8 ± 4.3 min, P < 0.001). Remimazolam tosilate had more stable hemodynamics and a lower incidence of hypotension during general anesthesia.

CONCLUSIONS

Remimazolam tosilate can be safely and effectively used for general anesthesia in patients undergoing Laparoscopic Cholecystectomy. It maintains stable hemodynamics during induction and maintenance of general anesthesia compared with propofol. Further studies are needed to validate the findings.

TRIAL REGISTRATION

Chictr.org.cn ChiCTR2300071256 (date of registration: 09/05/2023).

摘要

背景

甲苯磺酸雷米唑仑(RT)是一种新型超短效苯二氮䓬类药物。本研究旨在探讨 RT 用于腹腔镜胆囊切除术(LC)患者全身麻醉的有效性和安全性。

方法

本研究纳入 122 例行 LC 的患者,随机分为雷米唑仑组(RT 组)和丙泊酚组(P 组)。RT 组以 0.3mg/kg 的速度缓慢推注诱导,随后以 1.0-2.0mg/kg·h 的速度维持全麻。P 组以 2mg/kg 起始,随后以 4-10mg/kg·h 持续输注至手术结束。主要结局为 BIS 值≤60 的时间。次要结局包括意识消失时间(LOC)和拔管时间。还评估了不良事件。

结果

共有 112 例患者入组研究。其中,RT 组 BIS 值≤60 的时间长于 P 组(RT 组:89.3±10.7s;P 组:85.9±9.7s,P>0.05)。而 RT 组和 P 组的 LOC 时间无统计学差异(RT 组:74.4±10.3s;P 组:74.7±9.3s,P>0.05)。RT 组拔管时间明显长于 P 组(RT 组:16.0±2.6min;P 组:8.8±4.3min,P<0.001)。RT 组在全麻诱导和维持过程中血流动力学更稳定,低血压发生率更低。

结论

甲苯磺酸雷米唑仑可安全有效地用于腹腔镜胆囊切除术患者的全身麻醉。与丙泊酚相比,它在全麻诱导和维持期间维持稳定的血流动力学。需要进一步的研究来验证这些发现。

试验注册

Chictr.org.cn ChiCTR2300071256(注册日期:2023 年 9 月 5 日)。

https://cdn.ncbi.nlm.nih.gov/pmc/blobs/e731/11227182/b950b38e9717/12871_2024_2614_Fig1_HTML.jpg

文献AI研究员

20分钟写一篇综述,助力文献阅读效率提升50倍。

立即体验

用中文搜PubMed

大模型驱动的PubMed中文搜索引擎

马上搜索

文档翻译

学术文献翻译模型,支持多种主流文档格式。

立即体验