Suppr超能文献

作为一种与胰腺腺癌免疫浸润相关的预后生物标志物。

as a prognostic biomarker correlated with immune infiltrates in pancreatic adenocarcinoma.

作者信息

Fang Zhengxuying, Xu Xiaoyu, Tao Linglong, Lino-Silva Leonardo S, Lu Yi

机构信息

Department of Health Science Center, Medical College of Ningbo University, Ningbo, China.

Department of Oncology, The Yuyao People's Hospital, Ningbo, China.

出版信息

J Gastrointest Oncol. 2024 Jun 30;15(3):1224-1244. doi: 10.21037/jgo-24-425. Epub 2024 Jun 27.

Abstract

BACKGROUND

Matrix metalloproteinase 11 () plays a vital role in cell proliferation, apoptosis, tumor angiogenesis, migration, and other basic processes. Currently, few studies have examined the value of MMP11 in pancreatic cancer in relation to prognostic risk, diagnostic indicators, and immunotherapy. This study aims to explore the association between and the tumor immune microenvironment in pancreatic adenocarcinoma (PAAD).

METHODS

We selected clinical samples and data downloaded from The Cancer Genome Atlas and Genotype-Tissue Expression, in addition, we use other online data for further analysis. Through a comprehensive bioinformatics investigation, we systematically analyzed the clinical significance and expression level of in pancreatic cancer.

RESULTS

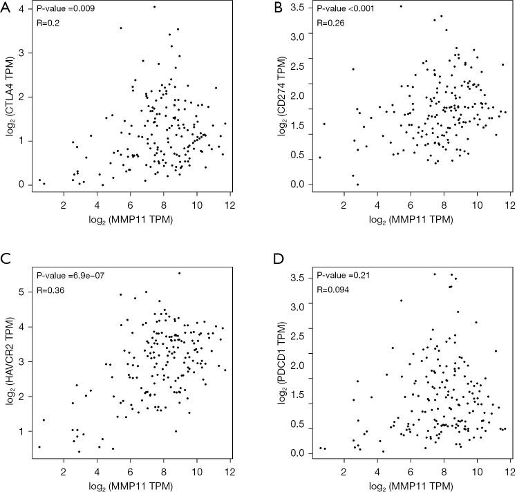
was overexpressed in many cancers, and a higher expression of was associated with a poorer prognosis in pancreatic cancer. Conversely, the hypermethylation of was associated with better overall survival. The expression network had widespread effects on the prognosis and immune activation of PAAD. The expression of was significantly associated with a variety of tumor-infiltrating immune cells. An association was also found between expression and chemokines in PAAD. High expression might be involved in immune cell migration to the tumor microenvironment.

CONCLUSIONS

MMP11 is a prognostic biomarker for patients in pancreatic cancer and may regulate the tumor immune microenvironment. The potential effects and mechanisms of in PAAD require further exploring.

摘要

背景

基质金属蛋白酶11(MMP11)在细胞增殖、凋亡、肿瘤血管生成、迁移及其他基本过程中发挥着至关重要的作用。目前,很少有研究探讨MMP11在胰腺癌中与预后风险、诊断指标及免疫治疗相关的价值。本研究旨在探究MMP11与胰腺导管腺癌(PAAD)肿瘤免疫微环境之间的关联。

方法

我们选取了从癌症基因组图谱(The Cancer Genome Atlas)和基因型-组织表达数据库(Genotype-Tissue Expression)下载的临床样本和数据,此外,我们还使用其他在线数据进行进一步分析。通过全面的生物信息学研究,我们系统分析了MMP11在胰腺癌中的临床意义和表达水平。

结果

MMP11在多种癌症中过表达,且在胰腺癌中较高的MMP11表达与较差的预后相关。相反,MMP11的高甲基化与更好的总生存期相关。MMP11表达网络对PAAD的预后和免疫激活具有广泛影响。MMP11的表达与多种肿瘤浸润免疫细胞显著相关。在PAAD中还发现MMP11表达与趋化因子之间存在关联。高MMP11表达可能参与免疫细胞向肿瘤微环境的迁移。

结论

MMP11是胰腺癌患者的预后生物标志物,可能调节肿瘤免疫微环境。MMP11在PAAD中的潜在作用和机制需要进一步探索。

https://cdn.ncbi.nlm.nih.gov/pmc/blobs/d3a6/11231847/258c38f10dd0/jgo-15-03-1224-f1.jpg

文献AI研究员

20分钟写一篇综述,助力文献阅读效率提升50倍。

立即体验

用中文搜PubMed

大模型驱动的PubMed中文搜索引擎

马上搜索

文档翻译

学术文献翻译模型,支持多种主流文档格式。

立即体验