• 文献检索
  • 文档翻译
  • 深度研究
  • 学术资讯
  • Suppr Zotero 插件Zotero 插件
  • 邀请有礼
  • 套餐&价格
  • 历史记录
应用&插件
Suppr Zotero 插件Zotero 插件浏览器插件Mac 客户端Windows 客户端微信小程序
定价
高级版会员购买积分包购买API积分包
服务
文献检索文档翻译深度研究API 文档MCP 服务
关于我们
关于 Suppr公司介绍联系我们用户协议隐私条款
关注我们

Suppr 超能文献

核心技术专利:CN118964589B侵权必究
粤ICP备2023148730 号-1Suppr @ 2026

文献检索

告别复杂PubMed语法,用中文像聊天一样搜索,搜遍4000万医学文献。AI智能推荐,让科研检索更轻松。

立即免费搜索

文件翻译

保留排版,准确专业,支持PDF/Word/PPT等文件格式,支持 12+语言互译。

免费翻译文档

深度研究

AI帮你快速写综述,25分钟生成高质量综述,智能提取关键信息,辅助科研写作。

立即免费体验

新辅助吉西他滨-顺铂治疗肌层浸润性膀胱癌的总剂量和剂量强度对疗效及安全性的影响:三周与四周方案对比

Implications for Efficacy and Safety of Total Dose and Dose-Intensity of Neoadjuvant Gemcitabine-Cisplatin in Muscle-Invasive Bladder Cancer: Three-Week Versus Four-Week Regimen.

作者信息

Holmsten Karin, Omland Lise Høj, Als Anne Birgitte, Agerbæk Mads, Dohn Line Hammer, Lindberg Henriette, Jensen Niels Viggo, Carus Andreas, Moe Mette, Hosseini Abolfazl, Radkiewicz Cecilia, Pappot Helle, Ullén Anders

机构信息

Department of Oncology-Pathology, Karolinska Institute, Stockholm, Sweden.

Department of Oncology, Capio Sankt Görans Hospital, Stockholm, Sweden.

出版信息

Bladder Cancer. 2022 Mar 11;8(1):71-80. doi: 10.3233/BLC-211556. eCollection 2022.

DOI:10.3233/BLC-211556
PMID:38994523
原文链接:https://pmc.ncbi.nlm.nih.gov/articles/PMC11181847/
Abstract

BACKGROUND

Neoadjuvant cisplatin-based chemotherapy is standard care prior to radical cystectomy in patients with muscle-invasive bladder cancer (MIBC).

OBJECTIVE

To assess efficacy and safety of two commonly used neoadjuvant schedules with different total doses and dose-intensities of gemcitabine and cisplatin (GC).

METHODS

Data were collected retrospectively from all patients treated between 2010 and 2018 with neoadjuvant chemotherapy according to clinical routine at seven centres in Sweden and Denmark. Patients in Sweden received three cycles of a 4-week schedule (GC-4w: cisplatin 70 mg/m day 1, gemcitabine 1000 mg/m days 1, 8, 15, q 28 days) and in Denmark four cycles of a 3-week schedule (GC-3w: cisplatin 70 mg/m day 1, gemcitabine 1000 mg/m days 1, 8, q 21 days). Primary endpoint was pathological response at cystectomy (pT0N0 and < pT2N0).

RESULTS

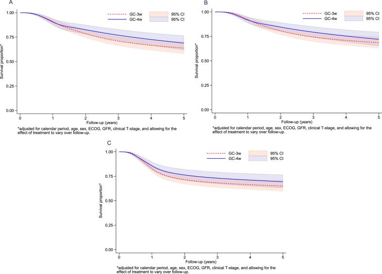
A total of 251 patients were treated with GC-4w and 455 with GC-3w. pT0N0 was significantly higher for patients treated with GC-3w compared to GC-4w, 46% versus 32% (adjusted odds ratio [aOR] 1.80; 95% confidence interval [CI] 1.16-2.80;  = 0.009); and for < pT2N0 60% versus 47% (aOR 1.08; 95% CI 0.70-1.66;  = 0.743). There were no significant differences between GC-4w and GC-3w regarding survival parameters. GC-3w patients discontinued treatment more frequently and showed a higher degree of neutropenia.

CONCLUSIONS

A significantly higher complete response-rate was observed in the patient group treated with the more cisplatin-dose-intense 3-week schedule. The side-effect profile was in favor of the 4-week approach while relapse-free and overall survival were similar.

摘要

背景

对于肌层浸润性膀胱癌(MIBC)患者,基于顺铂的新辅助化疗是根治性膀胱切除术之前的标准治疗方法。

目的

评估吉西他滨和顺铂(GC)两种常用新辅助化疗方案在不同总剂量和剂量强度下的疗效和安全性。

方法

回顾性收集2010年至2018年间在瑞典和丹麦七个中心按照临床常规接受新辅助化疗的所有患者的数据。瑞典的患者接受为期4周的三个周期化疗方案(GC-4w:顺铂70mg/m²第1天,吉西他滨1000mg/m²第1、8、15天,每28天一次),丹麦的患者接受为期3周的四个周期化疗方案(GC-3w:顺铂70mg/m²第1天,吉西他滨1000mg/m²第1、8天,每21天一次)。主要终点是膀胱切除术后的病理反应(pT0N0和<pT2N0)。

结果

共有251例患者接受GC-4w治疗,455例接受GC-3w治疗。与GC-4w相比,接受GC-3w治疗的患者pT0N0显著更高,分别为46%和32%(调整优势比[aOR]1.80;95%置信区间[CI]1.16 - 2.80;P = 0.009);对于<pT2N0,分别为60%和47%(aOR 1.08;95%CI 0.70 - 1.66;P = 0.743)。在生存参数方面,GC-4w和GC-3w之间没有显著差异。GC-3w患者更频繁地中断治疗,且中性粒细胞减少程度更高。

结论

在接受顺铂剂量强度更高的3周方案治疗的患者组中观察到显著更高的完全缓解率。副作用方面更倾向于4周方案,而无复发生存期和总生存期相似。

https://cdn.ncbi.nlm.nih.gov/pmc/blobs/5afc/11181847/20002c42c89c/blc-8-blc211556-g002.jpg
https://cdn.ncbi.nlm.nih.gov/pmc/blobs/5afc/11181847/4f6324d117bd/blc-8-blc211556-g001.jpg
https://cdn.ncbi.nlm.nih.gov/pmc/blobs/5afc/11181847/20002c42c89c/blc-8-blc211556-g002.jpg
https://cdn.ncbi.nlm.nih.gov/pmc/blobs/5afc/11181847/4f6324d117bd/blc-8-blc211556-g001.jpg
https://cdn.ncbi.nlm.nih.gov/pmc/blobs/5afc/11181847/20002c42c89c/blc-8-blc211556-g002.jpg

相似文献

1
Implications for Efficacy and Safety of Total Dose and Dose-Intensity of Neoadjuvant Gemcitabine-Cisplatin in Muscle-Invasive Bladder Cancer: Three-Week Versus Four-Week Regimen.新辅助吉西他滨-顺铂治疗肌层浸润性膀胱癌的总剂量和剂量强度对疗效及安全性的影响:三周与四周方案对比
Bladder Cancer. 2022 Mar 11;8(1):71-80. doi: 10.3233/BLC-211556. eCollection 2022.
2
Neoadjuvant Atezolizumab With Gemcitabine and Cisplatin in Patients With Muscle-Invasive Bladder Cancer: A Multicenter, Single-Arm, Phase II Trial.阿替利珠单抗联合吉西他滨和顺铂新辅助治疗肌层浸润性膀胱癌患者的多中心、单臂、Ⅱ期临床试验。
J Clin Oncol. 2022 Apr 20;40(12):1312-1322. doi: 10.1200/JCO.21.01485. Epub 2022 Jan 28.
3
Neoadjuvant Dose-dense Gemcitabine and Cisplatin in Muscle-invasive Bladder Cancer: Results of a Phase 2 Trial.新辅助剂量密集吉西他滨和顺铂治疗肌层浸润性膀胱癌:一项2期试验的结果
Eur Urol Oncol. 2018 May;1(1):54-60. doi: 10.1016/j.euo.2018.02.007. Epub 2018 Jun 6.
4
Randomized Phase III Trial of Dose-dense Methotrexate, Vinblastine, Doxorubicin, and Cisplatin, or Gemcitabine and Cisplatin as Perioperative Chemotherapy for Patients with Muscle-invasive Bladder Cancer. Analysis of the GETUG/AFU V05 VESPER Trial Secondary Endpoints: Chemotherapy Toxicity and Pathological Responses.随机 III 期试验:密集剂量甲氨蝶呤、长春碱、多柔比星和顺铂,或吉西他滨和顺铂作为肌层浸润性膀胱癌患者的围手术期化疗。GETUG/AFU V05 VESPER 试验次要终点分析:化疗毒性和病理反应。
Eur Urol. 2021 Feb;79(2):214-221. doi: 10.1016/j.eururo.2020.08.024. Epub 2020 Aug 28.
5
Cisplatin, Gemcitabine, and Lapatinib as Neoadjuvant Therapy for Muscle-Invasive Bladder Cancer.顺铂、吉西他滨和拉帕替尼作为肌层浸润性膀胱癌的新辅助治疗
Cancer Res Treat. 2016 Jul;48(3):1084-91. doi: 10.4143/crt.2015.405. Epub 2015 Dec 2.
6
Comparative analysis of three vs. four cycles of neoadjuvant gemcitabine and cisplatin for muscle invasive bladder cancer.比较新辅助吉西他滨和顺铂三联与四联方案治疗肌层浸润性膀胱癌。
Urol Oncol. 2022 Oct;40(10):453.e19-453.e26. doi: 10.1016/j.urolonc.2022.05.023. Epub 2022 Jul 8.
7
Retrospective analysis of the efficacy and safety of neoadjuvant gemcitabine and cisplatin in muscle-invasive bladder cancer.吉西他滨和顺铂新辅助治疗肌层浸润性膀胱癌的疗效与安全性回顾性分析
J Oncol Pharm Pract. 2020 Mar;26(2):330-337. doi: 10.1177/1078155219845434. Epub 2019 May 12.
8
Neoadjuvant Gemcitabine-Cisplatin Plus Radical Cystectomy-Pelvic Lymph Node Dissection for Muscle-invasive Bladder Cancer: A 12-year Experience.新辅助吉西他滨-顺铂联合根治性膀胱切除术-盆腔淋巴结清扫术治疗肌层浸润性膀胱癌:12 年经验。
Clin Genitourin Cancer. 2020 Oct;18(5):387-394. doi: 10.1016/j.clgc.2020.02.014. Epub 2020 Mar 6.
9
Multicenter assessment of neoadjuvant chemotherapy for muscle-invasive bladder cancer.肌肉浸润性膀胱癌新辅助化疗的多中心评估
Eur Urol. 2015 Feb;67(2):241-9. doi: 10.1016/j.eururo.2014.09.007. Epub 2014 Sep 23.
10
Neoadjuvant therapy with camrelizumab plus gemcitabine and cisplatin for patients with muscle-invasive bladder cancer: A multi-center, single-arm, phase 2 study.卡瑞利珠单抗联合吉西他滨和顺铂新辅助治疗肌层浸润性膀胱癌的多中心、单臂、Ⅱ期研究。
Cancer Med. 2023 Jun;12(11):12106-12117. doi: 10.1002/cam4.5900. Epub 2023 Apr 6.

引用本文的文献

1
Exploring novel genomic biomarkers for response and survival after neoadjuvant chemotherapy and radical cystectomy of muscle-invasive bladder cancer.探索用于肌层浸润性膀胱癌新辅助化疗和根治性膀胱切除术后反应及生存的新型基因组生物标志物。
ESMO Open. 2025 Jul 14;10(8):105512. doi: 10.1016/j.esmoop.2025.105512.
2
Three versus four cycles of neoadjuvant chemotherapy for muscle-invasive bladder cancer: a systematic review and meta-analysis.三周期与四周期新辅助化疗治疗肌层浸润性膀胱癌的系统评价与荟萃分析。
Ann Med. 2023;55(2):2281654. doi: 10.1080/07853890.2023.2281654. Epub 2023 Nov 14.
3
Comparison of 3 and 4 cycles of neoadjuvant gemcitabine and cisplatin for muscle-invasive bladder cancer: a systematic review and meta-analysis.

本文引用的文献

1
Randomized Phase III Trial of Dose-dense Methotrexate, Vinblastine, Doxorubicin, and Cisplatin, or Gemcitabine and Cisplatin as Perioperative Chemotherapy for Patients with Muscle-invasive Bladder Cancer. Analysis of the GETUG/AFU V05 VESPER Trial Secondary Endpoints: Chemotherapy Toxicity and Pathological Responses.随机 III 期试验:密集剂量甲氨蝶呤、长春碱、多柔比星和顺铂,或吉西他滨和顺铂作为肌层浸润性膀胱癌患者的围手术期化疗。GETUG/AFU V05 VESPER 试验次要终点分析:化疗毒性和病理反应。
Eur Urol. 2021 Feb;79(2):214-221. doi: 10.1016/j.eururo.2020.08.024. Epub 2020 Aug 28.
2
Clinical efficacy and biomarker analysis of neoadjuvant atezolizumab in operable urothelial carcinoma in the ABACUS trial.ABACUS 试验中阿替利珠单抗新辅助治疗可手术型尿路上皮癌的临床疗效和生物标志物分析。
Nat Med. 2019 Nov;25(11):1706-1714. doi: 10.1038/s41591-019-0628-7. Epub 2019 Nov 4.
3
比较 3 个和 4 个周期新辅助吉西他滨和顺铂治疗肌层浸润性膀胱癌:系统评价和荟萃分析。
BMC Cancer. 2023 Nov 6;23(1):1066. doi: 10.1186/s12885-023-11572-0.
Pivotal Trial of Enfortumab Vedotin in Urothelial Carcinoma After Platinum and Anti-Programmed Death 1/Programmed Death Ligand 1 Therapy.在铂类和抗程序性死亡 1/程序性死亡配体 1 治疗后,依维莫司丁治疗尿路上皮癌的关键试验。
J Clin Oncol. 2019 Oct 10;37(29):2592-2600. doi: 10.1200/JCO.19.01140. Epub 2019 Jul 29.
4
Erdafitinib in Locally Advanced or Metastatic Urothelial Carcinoma.厄达替尼治疗局部晚期或转移性尿路上皮癌。
N Engl J Med. 2019 Jul 25;381(4):338-348. doi: 10.1056/NEJMoa1817323.
5
Role of gemcitabine and cisplatin as neoadjuvant chemotherapy in muscle invasive bladder cancer: Experience over the last decade.吉西他滨和顺铂作为肌肉浸润性膀胱癌新辅助化疗的作用:过去十年的经验
Asian J Urol. 2019 Jul;6(3):222-229. doi: 10.1016/j.ajur.2018.06.006. Epub 2018 Jun 25.
6
Vinflunine in the treatment of relapsed metastatic urothelial cancer: A systematic review and meta-analysis of real-world series.维莫非尼在治疗复发性转移性尿路上皮癌中的应用:真实世界系列的系统评价和荟萃分析。
Crit Rev Oncol Hematol. 2019 Aug;140:80-87. doi: 10.1016/j.critrevonc.2019.05.006. Epub 2019 May 21.
7
Early Detection of Metastatic Relapse and Monitoring of Therapeutic Efficacy by Ultra-Deep Sequencing of Plasma Cell-Free DNA in Patients With Urothelial Bladder Carcinoma.采用超深度血浆游离 DNA 测序对膀胱癌患者进行转移性复发的早期检测和治疗效果监测。
J Clin Oncol. 2019 Jun 20;37(18):1547-1557. doi: 10.1200/JCO.18.02052. Epub 2019 May 6.
8
Pembrolizumab as Neoadjuvant Therapy Before Radical Cystectomy in Patients With Muscle-Invasive Urothelial Bladder Carcinoma (PURE-01): An Open-Label, Single-Arm, Phase II Study.帕博利珠单抗作为肌层浸润性尿路上皮膀胱癌根治性切除术的新辅助治疗(PURE-01):一项开放标签、单臂、Ⅱ期研究。
J Clin Oncol. 2018 Dec 1;36(34):3353-3360. doi: 10.1200/JCO.18.01148. Epub 2018 Oct 20.
9
Multicenter Prospective Phase II Trial of Neoadjuvant Dose-Dense Gemcitabine Plus Cisplatin in Patients With Muscle-Invasive Bladder Cancer.多中心前瞻性 II 期试验:新辅助剂量密集型吉西他滨联合顺铂治疗肌层浸润性膀胱癌。
J Clin Oncol. 2018 Jul 1;36(19):1949-1956. doi: 10.1200/JCO.2017.75.0158. Epub 2018 May 9.
10
Dose dense MVAC prior to radical cystectomy: a real-world experience.MVAC 密集化疗序贯根治性膀胱切除术:真实世界经验。
World J Urol. 2017 Nov;35(11):1729-1736. doi: 10.1007/s00345-017-2065-x. Epub 2017 Jun 17.