Suppr超能文献

使用乳清分离蛋白-高甲氧基果胶复合物稳定的二十二碳六烯酸藻油皮克林乳液的制备与表征

Fabrication and Characterization of Docosahexaenoic Acid Algal Oil Pickering Emulsions Stabilized Using the Whey Protein Isolate-High-Methoxyl Pectin Complex.

作者信息

Yu Zhe, Zhou Li, Chen Zhe, Chen Ling, Hong Kunqiang, He Dongping, Lei Fenfen

机构信息

College of Food Science and Engineering, Wuhan Polytechnic University, Wuhan 430023, China.

Key Laboratory of Edible Oil Quality and Safety for State Market Regulation, Wuhan 430023, China.

出版信息

Foods. 2024 Jul 8;13(13):2159. doi: 10.3390/foods13132159.

Abstract

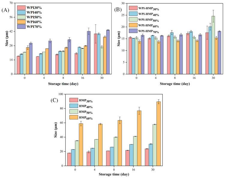
In this study, the whey protein isolate-high-methoxyl pectin (WPI-HMP) complex prepared by electrostatic interaction was utilized as an emulsifier in the preparation of docosahexaenoic acid (DHA) algal oils in order to improve their physicochemical properties and oxidation stability. The results showed that the emulsions stabilized using the WPI-HMP complex across varying oil-phase volume fractions (30-70%) exhibited consistent particle size and enhanced stability compared to emulsions stabilized solely using WPI or HMP at different ionic concentrations and heating temperatures. Furthermore, DHA algal oil emulsions stabilized using the WPI-HMP complex also showed superior storage stability, as they exhibited no discernible emulsification or oil droplet overflow and the particle size variation remained relatively minor throughout the storage at 25 °C for 30 days. The accelerated oxidation of the emulsions was assessed by measuring the rate of DHA loss, lipid hydroperoxide levels, and malondialdehyde levels. Emulsions stabilized using the WPI-HMP complex exhibited a lower rate of DHA loss and reduced levels of lipid hydroperoxides and malondialdehyde. This indicated that WPI-HMP-stabilized Pickering emulsions exhibit a greater rate of DHA retention. The excellent stability of these emulsions could prove valuable in food processing for DHA nutritional enhancement.

摘要

在本研究中,通过静电相互作用制备的乳清蛋白分离物-高甲氧基果胶(WPI-HMP)复合物被用作制备二十二碳六烯酸(DHA)藻油的乳化剂,以改善其物理化学性质和氧化稳定性。结果表明,与在不同离子浓度和加热温度下仅使用WPI或HMP稳定的乳液相比,使用WPI-HMP复合物在不同油相体积分数(30%-70%)下稳定的乳液表现出一致的粒径并具有更高的稳定性。此外,使用WPI-HMP复合物稳定的DHA藻油乳液还表现出优异的储存稳定性,在25℃下储存30天期间,它们没有出现明显的乳化或油滴溢出,并且粒径变化相对较小。通过测量DHA损失率、脂质氢过氧化物水平和丙二醛水平来评估乳液的加速氧化。使用WPI-HMP复合物稳定的乳液表现出较低的DHA损失率以及降低的脂质氢过氧化物和丙二醛水平。这表明WPI-HMP稳定的Pickering乳液具有更高的DHA保留率。这些乳液的优异稳定性在食品加工中对于增强DHA营养可能具有重要价值。

https://cdn.ncbi.nlm.nih.gov/pmc/blobs/097a/11240950/19dec852a7d6/foods-13-02159-g001.jpg

文献检索

告别复杂PubMed语法,用中文像聊天一样搜索,搜遍4000万医学文献。AI智能推荐,让科研检索更轻松。

立即免费搜索

文件翻译

保留排版,准确专业,支持PDF/Word/PPT等文件格式,支持 12+语言互译。

免费翻译文档

深度研究

AI帮你快速写综述,25分钟生成高质量综述,智能提取关键信息,辅助科研写作。

立即免费体验