Suppr超能文献

生物电阻抗法测定的体脂肪和内脏脂肪与体重指数和腰围在预测非酒精性脂肪性肝病不同风险评分升高值中的作用。

Usefulness of Body Fat and Visceral Fat Determined by Bioimpedanciometry versus Body Mass Index and Waist Circumference in Predicting Elevated Values of Different Risk Scales for Non-Alcoholic Fatty Liver Disease.

机构信息

Pharmaceutical, 41013 Seville, Seville, Spain.

Investigation Group ADEMA SALUD, University Institute for Research in Health Sciences (IUNICS), 07010 Palma, Balearic Islands, Spain.

出版信息

Nutrients. 2024 Jul 7;16(13):2160. doi: 10.3390/nu16132160.

Abstract

BACKGROUND

Obesity constitutes a public health problem worldwide and causes non-alcoholic fatty liver disease (MALFD), the leading cause of liver disease in developed countries, which progresses to liver cirrhosis and liver cancer. MAFLD is associated with obesity and can be evaluated by validated formulas to assess MAFLD risk using different parameters such as the body mass index (BMI) and waist circumference (WC). However, these parameters do not accurately measure body fat. As MAFLD is strongly associated with obesity, we hypothesize that measuring body and visceral fat by electrical bioimpedance is an efficient method to predict the risk of MAFLD. The objective of our work was to demonstrate that electrical bioimpedance is a more efficient method than the BMI or WC to predict an elevated risk of MAFLD.

METHODS

A cross-sectional, descriptive study involving 8590 Spanish workers in the Balearic Islands was carried out. The study's sample of employees was drawn from those who underwent occupational medicine examinations between January 2019 and December 2020. Five MAFLD risk scales were determined for evaluating very high levels of body fat and visceral fat. The determination of body and visceral fat was performed using bioimpedanciometry. Student's -test was employed to ascertain the mean and standard deviation of quantitative data. The chi-square test was used to find prevalences for qualitative variables, while ROC curves were used to define the cut-off points for body and visceral fat. The calculations included the area under the curve (AUC), the cut-off points along with their Youden index, sensitivity, and specificity. Correlation and concordance between the various scales were determined using Pearson's correlation index and Cohen's kappa, respectively.

RESULTS

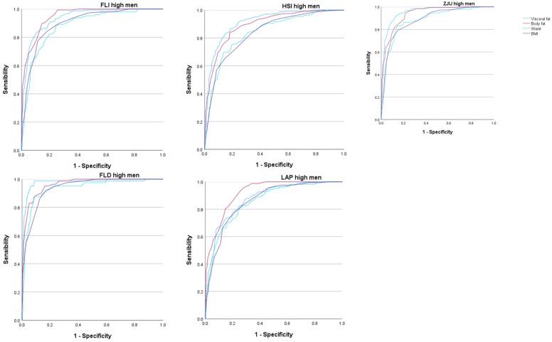
As both total body fat and visceral fat increase, the risk of MAFLD increases with a statistically significant result ( < 0.001), presenting a higher risk in men. The areas under the curve (AUC) of the five scales that assess overweight and obesity to determine the occurrence of high values of the different MAFLD risk scales were very high, most of them exceeding 0.9. These AUC values were higher for visceral and body fat than for the BMI or waist circumference. FLD-high presented the best results in men and women with the AUC at around 0.97, both for visceral fat and total body fat, with a high Youden index in all cases (women body fat = 0.830, visceral fat = 0.892; men body fat = 0.780, visceral fat = 0.881).

CONCLUSIONS

In our study, all the overweight and obesity scales show a very good association with the scales assessing the risk of MAFLD. These values are higher for visceral and body fat than for waist circumference and the BMI. Both visceral fat and body fat are better associated than the BMI and waist circumference with MAFLD risk scales.

摘要

背景

肥胖是一个全球性的公共卫生问题,会导致非酒精性脂肪性肝病(MAFLD),这是发达国家肝病的主要病因,可发展为肝硬化和肝癌。MAFLD 与肥胖有关,可以使用经过验证的公式来评估 MAFLD 风险,这些公式使用不同的参数(如体重指数(BMI)和腰围(WC))来评估 MAFLD 风险。然而,这些参数并不能准确测量体脂肪。由于 MAFLD 与肥胖密切相关,我们假设通过电阻抗测量体脂肪和内脏脂肪是预测 MAFLD 风险的有效方法。我们的工作目的是证明电阻抗比 BMI 或 WC 更能有效地预测 MAFLD 的高风险。

方法

这是一项在巴利阿里群岛进行的横断面、描述性研究,涉及 8590 名西班牙工人。该研究的员工样本来自于 2019 年 1 月至 2020 年 12 月期间接受职业医学检查的人员。确定了五个 MAFLD 风险量表,用于评估高水平的体脂肪和内脏脂肪。通过生物电阻抗测量法确定体脂肪和内脏脂肪。使用 Student's t 检验确定定量数据的均值和标准差。使用卡方检验确定定性变量的患病率,使用 ROC 曲线确定体脂肪和内脏脂肪的截断值。计算包括曲线下面积(AUC)、截断值及其 Youden 指数、敏感性和特异性。使用 Pearson 相关系数和 Cohen's kappa 分别确定不同量表之间的相关性和一致性。

结果

随着总体脂肪和内脏脂肪的增加,MAFLD 的风险也会增加,这一结果具有统计学意义(<0.001),且男性的风险更高。评估超重和肥胖以确定不同 MAFLD 风险量表中高值发生的五个量表的曲线下面积(AUC)非常高,其中大多数超过 0.9。这些 AUC 值对于内脏脂肪和体脂肪高于 BMI 或腰围。FLD-high 在男性和女性中均表现出最佳结果,AUC 约为 0.97,对于内脏脂肪和总体脂肪均如此,在所有情况下 Youden 指数均较高(女性体脂肪=0.830,内脏脂肪=0.892;男性体脂肪=0.780,内脏脂肪=0.881)。

结论

在我们的研究中,所有的超重和肥胖量表都与 MAFLD 风险量表显示出非常好的关联。这些值对于内脏脂肪和体脂肪高于腰围和 BMI。内脏脂肪和体脂肪与 MAFLD 风险量表的关联均优于 BMI 和腰围。

https://cdn.ncbi.nlm.nih.gov/pmc/blobs/4a3b/11243258/9995d4a591f7/nutrients-16-02160-g001.jpg

文献检索

告别复杂PubMed语法,用中文像聊天一样搜索,搜遍4000万医学文献。AI智能推荐,让科研检索更轻松。

立即免费搜索

文件翻译

保留排版,准确专业,支持PDF/Word/PPT等文件格式,支持 12+语言互译。

免费翻译文档

深度研究

AI帮你快速写综述,25分钟生成高质量综述,智能提取关键信息,辅助科研写作。

立即免费体验