• 文献检索
  • 文档翻译
  • 深度研究
  • 学术资讯
  • Suppr Zotero 插件Zotero 插件
  • 邀请有礼
  • 套餐&价格
  • 历史记录
应用&插件
Suppr Zotero 插件Zotero 插件浏览器插件Mac 客户端Windows 客户端微信小程序
定价
高级版会员购买积分包购买API积分包
服务
文献检索文档翻译深度研究API 文档MCP 服务
关于我们
关于 Suppr公司介绍联系我们用户协议隐私条款
关注我们

Suppr 超能文献

核心技术专利:CN118964589B侵权必究
粤ICP备2023148730 号-1Suppr @ 2026

文献检索

告别复杂PubMed语法,用中文像聊天一样搜索,搜遍4000万医学文献。AI智能推荐,让科研检索更轻松。

立即免费搜索

文件翻译

保留排版,准确专业,支持PDF/Word/PPT等文件格式,支持 12+语言互译。

免费翻译文档

深度研究

AI帮你快速写综述,25分钟生成高质量综述,智能提取关键信息,辅助科研写作。

立即免费体验

具有非均匀相对论多方物态的致密星。

Compact stars with non-uniform relativistic polytrope.

作者信息

Nouh Mohamed I, Foda Mona M, Aboueisha Mohamed S

机构信息

Astronomy Department, National Research Institute of Astronomy and Geophysics, Helwan, Cairo, 11421, Egypt.

Astronomy Department, Faculty of Science, Cairo University, Giza, Egypt.

出版信息

Sci Rep. 2024 Jul 14;14(1):16237. doi: 10.1038/s41598-024-65973-7.

DOI:10.1038/s41598-024-65973-7
PMID:39004673
原文链接:https://pmc.ncbi.nlm.nih.gov/articles/PMC11247101/
Abstract

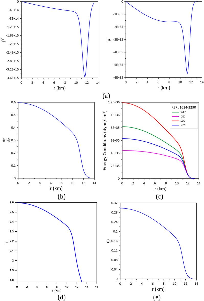
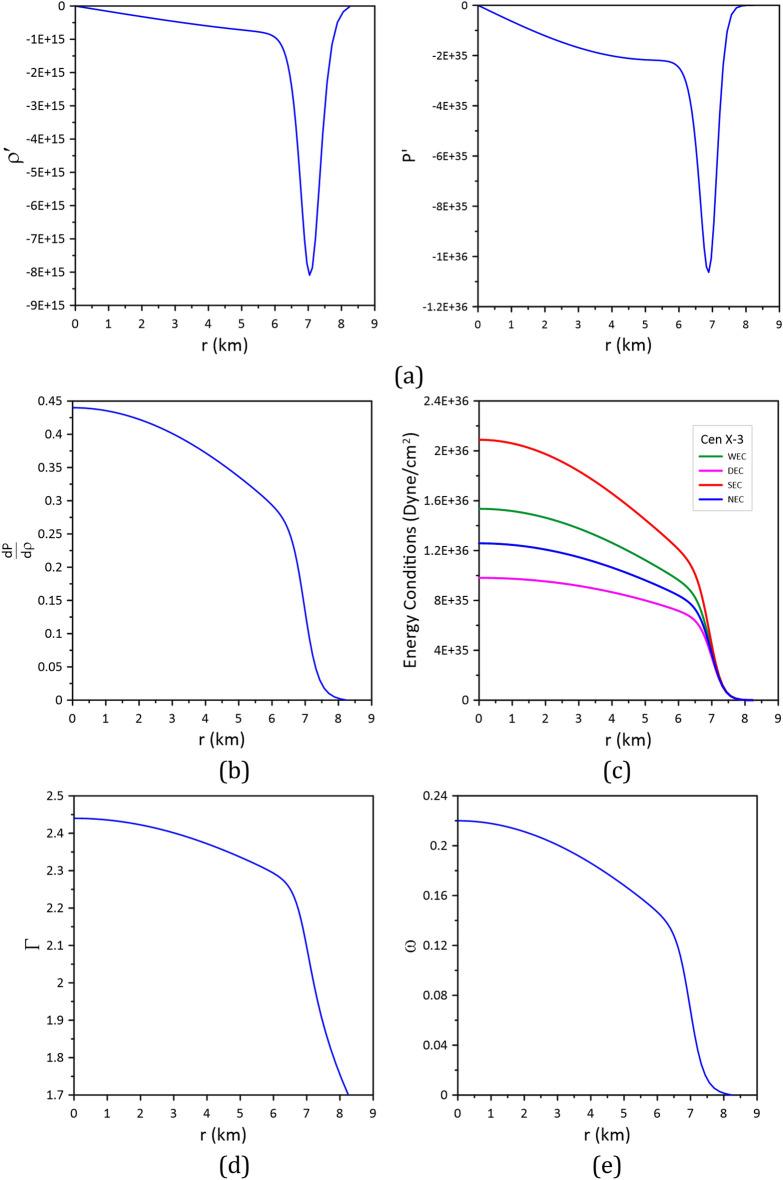
This paper presents new relativistic composite polytropic models for compact stars by simultaneously solving Einstein field equations with the polytropic state equation to simulate the spherically symmetric, static matter distribution. Using a non-uniform polytropic index, we get the Tolman-Oppenheimer-Volkoff equation for the relativistic composite polytrope (CTOV). To analyze the star's structure, we numerically solve the CTOV equation and compute the Emden and mass functions for various relativistic parameters and polytropic indices appropriate for neutron stars. The calculation results show that, as the relativistic parameter approaches zero, we recover the well-known Lane-Emden equation from the Newtonian theory of polytropic stars; thus, testing the computational code by comparing composite Newtonian models to those in the literature yields good agreement. We compute composite relativistic models for the neutron star candidates Cen X-3, SAXJ1808.4-3658, and PSR J1614-22304. We compare the findings with various existing models in the literature. Based on the accepted models for PSR J1614-22304 and Cen X-3, the star's core radius is predicted to be between 50 and 60% percent of its total radius, while we found that the radius of the core of star SAXJ1808.4-3658 is around 30% of the total radius. Our findings show that the neutron star structure may be approximated by a composite relativistic polytrope, resulting in masses and radii that are quite consistent with observation.

摘要

本文通过同时求解爱因斯坦场方程和多方态方程,提出了用于致密星的新的相对论性复合多方模型,以模拟球对称、静态的物质分布。使用非均匀多方指数,我们得到了相对论性复合多方(CTOV)的托尔曼 - 奥本海默 - 沃尔科夫方程。为了分析恒星结构,我们对CTOV方程进行数值求解,并针对适合中子星的各种相对论参数和多方指数计算埃姆登函数和质量函数。计算结果表明,当相对论参数趋近于零时,我们从多方恒星的牛顿理论中恢复了著名的莱恩 - 埃姆登方程;因此,通过将复合牛顿模型与文献中的模型进行比较来测试计算代码,结果吻合良好。我们计算了中子星候选体半人马座X - 3、SAXJ1808.4 - 3658和PSR J1614 - 22304的复合相对论模型。我们将结果与文献中各种现有的模型进行比较。基于对PSR J1614 - 22304和半人马座X - 3的公认模型,预测恒星的核心半径在其总半径的50%至60%之间,而我们发现恒星SAXJ1808.4 - 3658的核心半径约为总半径的30%。我们的研究结果表明,中子星结构可以用复合相对论多方近似,从而得到与观测结果相当一致的质量和半径。

https://cdn.ncbi.nlm.nih.gov/pmc/blobs/8617/11247101/e1fb6b803a94/41598_2024_65973_Fig9_HTML.jpg
https://cdn.ncbi.nlm.nih.gov/pmc/blobs/8617/11247101/7e73e1967834/41598_2024_65973_Fig1_HTML.jpg
https://cdn.ncbi.nlm.nih.gov/pmc/blobs/8617/11247101/daab2c56a1ac/41598_2024_65973_Fig2_HTML.jpg
https://cdn.ncbi.nlm.nih.gov/pmc/blobs/8617/11247101/6a09755115d5/41598_2024_65973_Fig3_HTML.jpg
https://cdn.ncbi.nlm.nih.gov/pmc/blobs/8617/11247101/99bd84847e3e/41598_2024_65973_Fig4_HTML.jpg
https://cdn.ncbi.nlm.nih.gov/pmc/blobs/8617/11247101/2443a98eadd2/41598_2024_65973_Fig5_HTML.jpg
https://cdn.ncbi.nlm.nih.gov/pmc/blobs/8617/11247101/75b2eec48d35/41598_2024_65973_Fig6_HTML.jpg
https://cdn.ncbi.nlm.nih.gov/pmc/blobs/8617/11247101/01d257b397b6/41598_2024_65973_Fig7_HTML.jpg
https://cdn.ncbi.nlm.nih.gov/pmc/blobs/8617/11247101/21c0c8db7b9d/41598_2024_65973_Fig8_HTML.jpg
https://cdn.ncbi.nlm.nih.gov/pmc/blobs/8617/11247101/e1fb6b803a94/41598_2024_65973_Fig9_HTML.jpg
https://cdn.ncbi.nlm.nih.gov/pmc/blobs/8617/11247101/7e73e1967834/41598_2024_65973_Fig1_HTML.jpg
https://cdn.ncbi.nlm.nih.gov/pmc/blobs/8617/11247101/daab2c56a1ac/41598_2024_65973_Fig2_HTML.jpg
https://cdn.ncbi.nlm.nih.gov/pmc/blobs/8617/11247101/6a09755115d5/41598_2024_65973_Fig3_HTML.jpg
https://cdn.ncbi.nlm.nih.gov/pmc/blobs/8617/11247101/99bd84847e3e/41598_2024_65973_Fig4_HTML.jpg
https://cdn.ncbi.nlm.nih.gov/pmc/blobs/8617/11247101/2443a98eadd2/41598_2024_65973_Fig5_HTML.jpg
https://cdn.ncbi.nlm.nih.gov/pmc/blobs/8617/11247101/75b2eec48d35/41598_2024_65973_Fig6_HTML.jpg
https://cdn.ncbi.nlm.nih.gov/pmc/blobs/8617/11247101/01d257b397b6/41598_2024_65973_Fig7_HTML.jpg
https://cdn.ncbi.nlm.nih.gov/pmc/blobs/8617/11247101/21c0c8db7b9d/41598_2024_65973_Fig8_HTML.jpg
https://cdn.ncbi.nlm.nih.gov/pmc/blobs/8617/11247101/e1fb6b803a94/41598_2024_65973_Fig9_HTML.jpg

相似文献

1
Compact stars with non-uniform relativistic polytrope.具有非均匀相对论多方物态的致密星。
Sci Rep. 2024 Jul 14;14(1):16237. doi: 10.1038/s41598-024-65973-7.
2
Analysis of the fractional relativistic polytropic gas sphere.分数相对论多方气体球的分析。
Sci Rep. 2023 Aug 31;13(1):14304. doi: 10.1038/s41598-023-41392-y.
3
Fast Rotating Relativistic Stars: Spectra and Stability without Approximation.快速旋转的相对论性恒星:无近似的光谱与稳定性
Phys Rev Lett. 2020 Sep 11;125(11):111106. doi: 10.1103/PhysRevLett.125.111106.
4
Tidal Deformabilities and Radii of Neutron Stars from the Observation of GW170817.从 GW170817 的观测结果来看潮汐可变性和中子星的半径。
Phys Rev Lett. 2018 Aug 31;121(9):091102. doi: 10.1103/PhysRevLett.121.091102.
5
Compactness of Neutron Stars.中子星的致密性
Phys Rev Lett. 2015 Oct 16;115(16):161101. doi: 10.1103/PhysRevLett.115.161101.
6
From hadrons to quarks in neutron stars: a review.从强子到中子星中的夸克:综述。
Rep Prog Phys. 2018 May;81(5):056902. doi: 10.1088/1361-6633/aaae14. Epub 2018 Feb 9.
7
f-Mode instability in relativistic neutron stars.相对论性中子星中的 f 模式不稳定性。
Phys Rev Lett. 2011 Sep 2;107(10):101102. doi: 10.1103/PhysRevLett.107.101102.
8
I-Love-Q: unexpected universal relations for neutron stars and quark stars.我-爱-Q:中子星和夸克星的意外普遍关系。
Science. 2013 Jul 26;341(6144):365-8. doi: 10.1126/science.1236462.
9
Plumbing neutron stars to new depths with the binding energy of the exotic nuclide 82Zn.利用奇异核素82Zn的结合能深入探索中子星。
Phys Rev Lett. 2013 Jan 25;110(4):041101. doi: 10.1103/PhysRevLett.110.041101. Epub 2013 Jan 22.
10
A Tolman-like Compact Model with Conformal Geometry.具有共形几何的类托尔曼紧凑模型。
Entropy (Basel). 2021 Oct 26;23(11):1406. doi: 10.3390/e23111406.

本文引用的文献

1
Analysis of the fractional relativistic polytropic gas sphere.分数相对论多方气体球的分析。
Sci Rep. 2023 Aug 31;13(1):14304. doi: 10.1038/s41598-023-41392-y.
2
A two-solar-mass neutron star measured using Shapiro delay.利用 Shapiro 延迟测量两颗太阳质量的中子星。
Nature. 2010 Oct 28;467(7319):1081-3. doi: 10.1038/nature09466.