Suppr超能文献

二维探测器的仪器展宽与径向对分布函数

Instrumental broadening and the radial pair distribution function with 2D detectors.

作者信息

Chernyshov Dmitry, Marshall Kenneth P, North Erlend Tiberg, Fuller Chloe A, Wragg David S

机构信息

Swiss-Norwegian Beamlines at the European Synchrotron Radiation Facility, 38000 Grenoble, France.

Centre for Materials Science and Nanotechnology, Department of Chemistry, University of Oslo, PO Box 1033, Blindern, 0315 Oslo, Norway.

出版信息

Acta Crystallogr A Found Adv. 2024 Sep 1;80(Pt 5):358-366. doi: 10.1107/S2053273324006569. Epub 2024 Jul 15.

Abstract

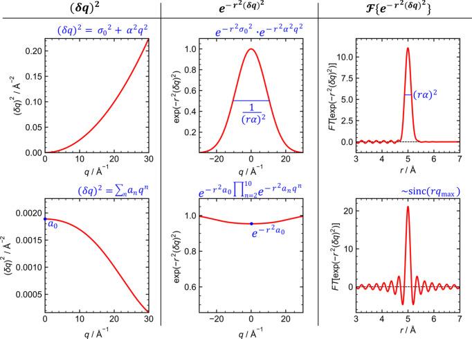
The atomic pair distribution function (PDF) is a real-space representation of the structure of a material. Experimental PDFs are obtained using a Fourier transform from total scattering data which may or may not have Bragg diffraction peaks. The determination of Bragg peak resolution in scattering data from the fundamental physical parameters of the diffractometer used is well established, but after the Fourier transform from reciprocal to direct space, these contributions are harder to identify. Starting from an existing definition of the resolution function of large-area detectors for X-ray diffraction, this approach is expanded into direct space. The effect of instrumental parameters on PDF peak resolution is developed mathematically, then studied with modelling and comparison with experimental PDFs of LaB from measurements made in different-sized capillaries.

摘要

原子对分布函数(PDF)是材料结构的实空间表示。实验PDF是通过对总散射数据进行傅里叶变换得到的,这些数据可能有也可能没有布拉格衍射峰。根据所用衍射仪的基本物理参数确定散射数据中布拉格峰的分辨率已经很成熟,但从倒易空间到正空间进行傅里叶变换后,这些贡献就更难识别了。从X射线衍射大面积探测器分辨率函数的现有定义出发,将这种方法扩展到正空间。从数学上推导了仪器参数对PDF峰分辨率的影响,然后通过建模以及与不同尺寸毛细管中测量得到的LaB实验PDF进行比较来进行研究。

https://cdn.ncbi.nlm.nih.gov/pmc/blobs/9283/11363166/138b73e45bb6/a-80-00358-fig1.jpg

文献检索

告别复杂PubMed语法,用中文像聊天一样搜索,搜遍4000万医学文献。AI智能推荐,让科研检索更轻松。

立即免费搜索

文件翻译

保留排版,准确专业,支持PDF/Word/PPT等文件格式,支持 12+语言互译。

免费翻译文档

深度研究

AI帮你快速写综述,25分钟生成高质量综述,智能提取关键信息,辅助科研写作。

立即免费体验