Suppr超能文献

阿拉伯语BERT-LSTM:基于Transformer模型和长短期记忆改进阿拉伯语情感分析

ArabBert-LSTM: improving Arabic sentiment analysis based on transformer model and Long Short-Term Memory.

作者信息

Alosaimi Wael, Saleh Hager, Hamzah Ali A, El-Rashidy Nora, Alharb Abdullah, Elaraby Ahmed, Mostafa Sherif

机构信息

Department of Information Technology, College of Computers and Information Technology, Taif University, Taif, Saudi Arabia.

Faculty of Computers and Artificial Intelligence, South Valley University, Hurghada, Egypt.

出版信息

Front Artif Intell. 2024 Jul 2;7:1408845. doi: 10.3389/frai.2024.1408845. eCollection 2024.

Abstract

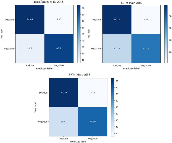
Sentiment analysis also referred to as opinion mining, plays a significant role in automating the identification of negative, positive, or neutral sentiments expressed in textual data. The proliferation of social networks, review sites, and blogs has rendered these platforms valuable resources for mining opinions. Sentiment analysis finds applications in various domains and languages, including English and Arabic. However, Arabic presents unique challenges due to its complex morphology characterized by inflectional and derivation patterns. To effectively analyze sentiment in Arabic text, sentiment analysis techniques must account for this intricacy. This paper proposes a model designed using the transformer model and deep learning (DL) techniques. The word embedding is represented by Transformer-based Model for Arabic Language Understanding (ArabBert), and then passed to the AraBERT model. The output of AraBERT is subsequently fed into a Long Short-Term Memory (LSTM) model, followed by feedforward neural networks and an output layer. AraBERT is used to capture rich contextual information and LSTM to enhance sequence modeling and retain long-term dependencies within the text data. We compared the proposed model with machine learning (ML) algorithms and DL algorithms, as well as different vectorization techniques: term frequency-inverse document frequency (TF-IDF), ArabBert, Continuous Bag-of-Words (CBOW), and skipGrams using four Arabic benchmark datasets. Through extensive experimentation and evaluation of Arabic sentiment analysis datasets, we showcase the effectiveness of our approach. The results underscore significant improvements in sentiment analysis accuracy, highlighting the potential of leveraging transformer models for Arabic Sentiment Analysis. The outcomes of this research contribute to advancing Arabic sentiment analysis, enabling more accurate and reliable sentiment analysis in Arabic text. The findings reveal that the proposed framework exhibits exceptional performance in sentiment classification, achieving an impressive accuracy rate of over 97%.

摘要

情感分析也被称为观点挖掘,在自动识别文本数据中表达的负面、正面或中性情感方面发挥着重要作用。社交网络、评论网站和博客的激增使这些平台成为挖掘观点的宝贵资源。情感分析在包括英语和阿拉伯语在内的各种领域和语言中都有应用。然而,阿拉伯语由于其复杂的形态学(以屈折和派生模式为特征)而带来了独特的挑战。为了有效地分析阿拉伯语文本中的情感,情感分析技术必须考虑到这种复杂性。本文提出了一种使用Transformer模型和深度学习(DL)技术设计的模型。词嵌入由基于Transformer的阿拉伯语语言理解模型(ArabBert)表示,然后传递给AraBERT模型。AraBERT的输出随后被输入到长短期记忆(LSTM)模型中,接着是前馈神经网络和输出层。AraBERT用于捕获丰富的上下文信息,LSTM用于增强序列建模并保留文本数据中的长期依赖关系。我们使用四个阿拉伯语基准数据集,将所提出的模型与机器学习(ML)算法和DL算法以及不同的矢量化技术(词频 - 逆文档频率(TF-IDF)、ArabBert、连续词袋模型(CBOW)和跳字模型)进行了比较。通过对阿拉伯语情感分析数据集的广泛实验和评估,我们展示了我们方法的有效性。结果强调了情感分析准确性的显著提高,突出了利用Transformer模型进行阿拉伯语情感分析的潜力。这项研究的成果有助于推进阿拉伯语情感分析,使阿拉伯语文本中的情感分析更加准确和可靠。研究结果表明,所提出的框架在情感分类方面表现出卓越的性能,实现了超过97%的令人印象深刻的准确率。

https://cdn.ncbi.nlm.nih.gov/pmc/blobs/d591/11250580/3d1aa1c6ad5c/frai-07-1408845-g0001.jpg

文献检索

告别复杂PubMed语法,用中文像聊天一样搜索,搜遍4000万医学文献。AI智能推荐,让科研检索更轻松。

立即免费搜索

文件翻译

保留排版,准确专业,支持PDF/Word/PPT等文件格式,支持 12+语言互译。

免费翻译文档

深度研究

AI帮你快速写综述,25分钟生成高质量综述,智能提取关键信息,辅助科研写作。

立即免费体验