Suppr超能文献

紫外线辐射和氧化对聚乙烯微塑料和纳米塑料的作用:对鱼类肠道细胞中镉吸附、生物累积和毒性的影响。

Role of UV radiation and oxidation on polyethylene micro- and nanoplastics: impacts on cadmium sorption, bioaccumulation, and toxicity in fish intestinal cells.

机构信息

Department of Integrative Biology, Oklahoma State University, Stillwater, OK, 74078, USA.

Centro de Investigación Mariña, Departamento de Ecoloxía e Bioloxía Animal, Laboratorio de Ecoloxía Costeira (ECOCOST), 36310, Universidade de Vigo, Vigo, Spain.

出版信息

Environ Sci Pollut Res Int. 2024 Jul;31(35):47974-47990. doi: 10.1007/s11356-024-34301-x. Epub 2024 Jul 17.

Abstract

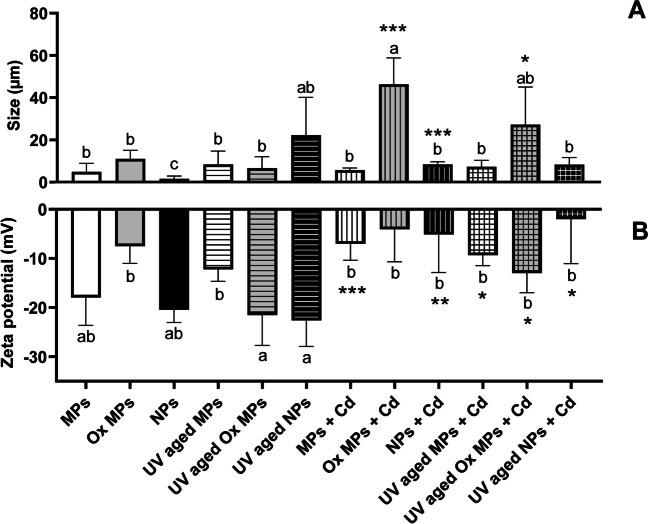
This study investigated the role of ultraviolet (UV) radiation and oxidation in high-density polyethylene microplastics (2-15 μm) and nanoplastics (0.2-9.9 μm) (NMPs) on particle chemistry, morphology, and reactivity with cadmium (Cd). Additionally, toxicity of NMPs alone and with Cd was evaluated using RTgutGC cells, a model of the rainbow trout (Oncorhynchus mykiss) intestine. The role on NMPs on Cd bioaccumulation in RTgutGC cells was also evaluated. Dynamic light scattering indicated that after UV radiation NPs agglomerated size increased from 0.8 to 28 µm, and to 8 µm when Cd was added. Oxidized MPs agglomerated size increased from 11 and 7 to 46 and 27 µm in non-UV- and UV-aged oxidized MPs when adding Cd, respectively. Cd-coated particles exhibited generally significantly higher zeta potential than non-Cd-coated particles, while attenuated total reflectance-Fourier transform infrared spectroscopy showed that the functional chemistry of the particles was oxidized and modified after being exposed to UV radiation. Presence of NMPs resulted in a significant decrease in Cd bioaccumulation in RTgutGC cells (100.5-87.9 ng Cd/mg protein) compared to Cd alone (138.1 ng Cd/mg protein), although this was not quite significant for co-exposures with UV-aged NPs (105.7 ng Cd/mg protein). No toxicity was observed in RTgutGC cells exposed to NMPs alone for 24 h. Moreover, co-exposures with Cd indicated that NMPs reduce the toxicity of Cd. Altogether these results show that UV aging enhances NMP surface reactivity, increasing Cd absorption in solution, which resulted in a reduction in Cd bioavailability and toxicity.

摘要

本研究探讨了紫外线(UV)辐射和氧化作用对高密度聚乙烯微塑料(2-15μm)和纳米塑料(0.2-9.9μm)(NMPs)的影响,包括颗粒化学性质、形态以及与镉(Cd)的反应性。此外,还使用 RTgutGC 细胞(虹鳟鱼肠道模型)评估了 NMPs 单独及与 Cd 共同存在时的毒性。还评估了 NMPs 对 RTgutGC 细胞中 Cd 生物累积的作用。动态光散射表明,经 UV 辐射后,NPs 的团聚粒径从 0.8μm 增加到 28μm,添加 Cd 后粒径增加到 8μm。氧化 MPs 经非 UV 老化和 UV 老化后,添加 Cd 时的团聚粒径分别从 11μm 和 7μm 增加到 46μm 和 27μm。Cd 涂覆的颗粒通常比未涂覆 Cd 的颗粒具有更高的 zeta 电位,而衰减全反射傅里叶变换红外光谱表明,暴露于 UV 辐射后,颗粒的官能团化学性质发生了氧化和修饰。与单独暴露于 Cd 相比,NMPs 的存在导致 RTgutGC 细胞中 Cd 的生物累积显著降低(100.5-87.9ng Cd/mg 蛋白),尽管与 UV 老化的 NPs 共同暴露时,Cd 的生物累积(105.7ng Cd/mg 蛋白)并未显著降低。单独暴露于 NMPs 24 小时对 RTgutGC 细胞没有毒性。此外,与 Cd 共同暴露表明 NMPs 降低了 Cd 的毒性。综上所述,这些结果表明,UV 老化增强了 NMP 的表面反应性,增加了溶液中 Cd 的吸收,从而降低了 Cd 的生物利用度和毒性。

https://cdn.ncbi.nlm.nih.gov/pmc/blobs/d61f/11297841/be459287616b/11356_2024_34301_Fig1_HTML.jpg

文献检索

告别复杂PubMed语法,用中文像聊天一样搜索,搜遍4000万医学文献。AI智能推荐,让科研检索更轻松。

立即免费搜索

文件翻译

保留排版,准确专业,支持PDF/Word/PPT等文件格式,支持 12+语言互译。

免费翻译文档

深度研究

AI帮你快速写综述,25分钟生成高质量综述,智能提取关键信息,辅助科研写作。

立即免费体验