Suppr超能文献

精神障碍儿童和青少年合唱团唱歌和创意艺术活动的心理生物学反应:一项初步研究的结果。

Psychobiological responses to choir singing and creative arts activities in children and adolescents with mental disorders: results of a pilot study.

机构信息

Interuniversity Organisation Science & Arts, Paris Lodron University Salzburg, Mozarteum University Salzburg, Salzburg, Austria.

Department of Art History, Musicology and Dance Studies, Paris Lodron University Salzburg, Salzburg, Austria.

出版信息

Neuropsychiatr. 2024 Sep;38(3):145-155. doi: 10.1007/s40211-024-00502-6. Epub 2024 Jul 25.

Abstract

BACKGROUND

Children and adolescents living with mental health problems often experience stress and poor mood states, which may influence their quality of life and well-being. Arts interventions may improve mood and well-being and reduce physiological stress in this vulnerable population.

METHODS

A cohort of patients in child and adolescent psychiatry (N = 42; age range: 12-18 years) participated in one of four arts activities including choir singing (n = 11), textile design (n = 9), drama (n = 16), and clownery (n = 6). They were led by professional artists and delivered through five consecutive 90-min daily afternoon sessions over the course of 1 week. Questionnaires of mood and saliva samples before and after each session served to assess short-term psychobiological changes. In addition, patients reported their quality of life and well-being at the beginning and at the end of the 1‑week program.

RESULTS

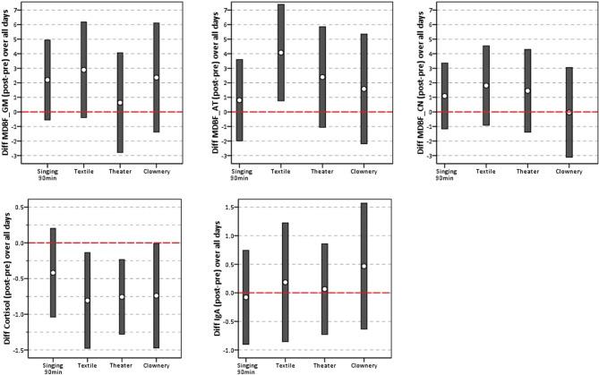
Results showed that alertness was significantly enhanced after textile design (∆post-pre = 4.08, 95% CI [0.77, 7.39]) and after singing (∆post-pre = 2.20, 95% CI [-0.55, 4.94]). Moreover, mood tended to be positively affected by textile design (∆post-pre = 2.89, 95% CI [-0.39, 6.18]). Quality of life increased significantly after singing (∆post-pre = 5.49, 95% CI [1.05, 9.92]). Arts participation except singing was associated with significant reductions in salivary cortisol (sCort) (textile design ∆post-pre = -0.81 ng/mL, 95% CI [-1.48, -0.14]; drama ∆post-pre = -0.76 ng/mL, 95% CI [-1.28, -0.24]; clownery ∆post-pre = -0.74 ng/mL, 95% CI [-1.47, -0.01]). No significant changes were observed for well-being over the whole program and salivary immunoglobulin A (sIgA) after any of the arts activities.

DISCUSSION

These results suggest that arts participation can improve mood state and reduce stress in young people with mental disorders, but there is a need for further studies.

摘要

背景

患有心理健康问题的儿童和青少年经常经历压力和情绪低落,这可能会影响他们的生活质量和幸福感。艺术干预措施可以改善弱势群体的情绪和幸福感,减轻生理压力。

方法

一组儿童和青少年精神病患者(N=42;年龄范围:12-18 岁)参加了包括合唱(n=11)、纺织品设计(n=9)、戏剧(n=16)和小丑(n=6)在内的四项艺术活动之一。他们由专业艺术家带领,在一周内连续五天每天下午进行 90 分钟的课程。在每次课程前后,通过情绪问卷和唾液样本评估短期心理生物学变化。此外,患者在一周计划开始和结束时报告他们的生活质量和幸福感。

结果

结果表明,纺织品设计后警觉性显著提高(∆post-pre=4.08,95%置信区间[0.77,7.39]),唱歌后警觉性也提高(∆post-pre=2.20,95%置信区间[-0.55,4.94])。此外,纺织品设计后情绪也趋于积极(∆post-pre=2.89,95%置信区间[-0.39,6.18])。唱歌后生活质量显著提高(∆post-pre=5.49,95%置信区间[1.05,9.92])。除唱歌外,参加艺术活动与唾液皮质醇(sCort)显著降低有关(纺织品设计∆post-pre=-0.81ng/mL,95%置信区间[-1.48,-0.14];戏剧∆post-pre=-0.76ng/mL,95%置信区间[-1.28,-0.24];小丑∆post-pre=-0.74ng/mL,95%置信区间[-1.47,-0.01])。整个计划过程中,幸福感没有明显变化,任何艺术活动后唾液免疫球蛋白 A(sIgA)也没有明显变化。

讨论

这些结果表明,艺术参与可以改善患有精神障碍的年轻人的情绪状态并减轻压力,但需要进一步研究。

https://cdn.ncbi.nlm.nih.gov/pmc/blobs/5c82/11379771/b388c55e9eac/40211_2024_502_Fig1_HTML.jpg

文献检索

告别复杂PubMed语法,用中文像聊天一样搜索,搜遍4000万医学文献。AI智能推荐,让科研检索更轻松。

立即免费搜索

文件翻译

保留排版,准确专业,支持PDF/Word/PPT等文件格式,支持 12+语言互译。

免费翻译文档

深度研究

AI帮你快速写综述,25分钟生成高质量综述,智能提取关键信息,辅助科研写作。

立即免费体验