• 文献检索
  • 文档翻译
  • 深度研究
  • 学术资讯
  • Suppr Zotero 插件Zotero 插件
  • 邀请有礼
  • 套餐&价格
  • 历史记录
应用&插件
Suppr Zotero 插件Zotero 插件浏览器插件Mac 客户端Windows 客户端微信小程序
定价
高级版会员购买积分包购买API积分包
服务
文献检索文档翻译深度研究API 文档MCP 服务
关于我们
关于 Suppr公司介绍联系我们用户协议隐私条款
关注我们

Suppr 超能文献

核心技术专利:CN118964589B侵权必究
粤ICP备2023148730 号-1Suppr @ 2026

文献检索

告别复杂PubMed语法,用中文像聊天一样搜索,搜遍4000万医学文献。AI智能推荐,让科研检索更轻松。

立即免费搜索

文件翻译

保留排版,准确专业,支持PDF/Word/PPT等文件格式,支持 12+语言互译。

免费翻译文档

深度研究

AI帮你快速写综述,25分钟生成高质量综述,智能提取关键信息,辅助科研写作。

立即免费体验

COVID-19 对视神经和视觉通路疾病的因果效应:肺脑轴的遗传证据。

Causal effect of COVID-19 on optic nerve and visual pathway disorders: genetic evidence of lung-brain axis.

机构信息

Department of Obstetrics and Gynecology, Second Affiliated Hospital of Zhengzhou University, Zhengzhou, China.

Department of Obstetrics and Gynecology, First People's Hospital of Chenzhou, Chenzhou, China.

出版信息

Front Immunol. 2024 Jul 16;15:1440262. doi: 10.3389/fimmu.2024.1440262. eCollection 2024.

DOI:10.3389/fimmu.2024.1440262
PMID:39081310
原文链接:https://pmc.ncbi.nlm.nih.gov/articles/PMC11286426/
Abstract

PURPOSE

To investigate the potential causal association between COVID-19 exposure and optic nerve and visual pathway disorders through a two-sample bidirectional Mendelian randomization (MR) analysis, and to provide empirical support for the lung-brain axis.

METHODS

This MR analysis utilized publicly accessible summary-level data from genome-wide association studies on COVID-19 (n=158,783) and optic nerve and visual pathway diseases (n=412,181), primarily involving individuals of European descent. The random-effect inverse-variance weighted estimation was applied as the main analytical approach, complemented by MR-Egger, weighted median, and weighted mode methods. The heterogeneity and pleiotropy of the instrumental variables were assessed using Cochran's Q test, leave-one-out sensitivity analysis, MR-Egger intercept test, MR-PRESSO, and funnel plot evaluations.

RESULTS

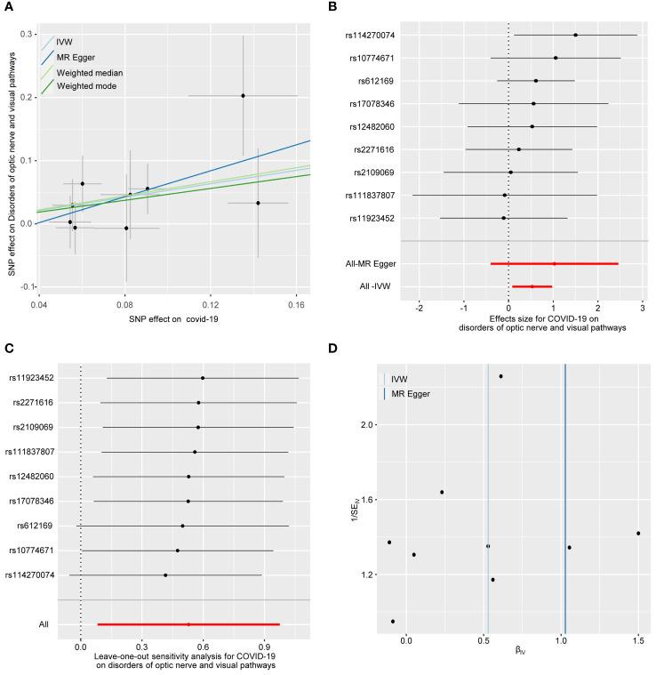
In the forward analysis, the inverse-variance weighted method identified a significant causal effect of COVID-19 on optic nerve and visual pathway disorders (odds ratio = 1.697, 95% confidence interval: 1.086-2.652, = 0.020). Directionally consistent results were also observed with MR-Egger regression, weighted median, and weighted mode approaches. Conversely, the reverse analysis revealed no causal effects of optic nerve and visual pathway disorders on COVID-19 susceptibility.

CONCLUSION

Our findings suggest that COVID-19 exposure may increase the risk of developing optic nerve and visual pathway disorders, supporting the lung-brain axis hypothesis. These results underscore the importance of vigilant monitoring of the visual system in patients recovering from COVID-19 and suggest potential avenues for future therapeutic strategies.

摘要

目的

通过两样本双向孟德尔随机化(MR)分析,研究 COVID-19 暴露与视神经和视觉通路疾病之间的潜在因果关联,并为肺脑轴假说提供经验支持。

方法

本 MR 分析利用了 COVID-19(n=158783)和视神经和视觉通路疾病(n=412181)的全基因组关联研究的公开可用汇总水平数据,主要涉及欧洲血统的个体。随机效应逆方差加权估计作为主要分析方法,辅以 MR-Egger、加权中位数和加权模式方法。使用 Cochran's Q 检验、单样本敏感性分析、MR-Egger 截距检验、MR-PRESSO 和漏斗图评估来评估工具变量的异质性和多效性。

结果

在正向分析中,逆方差加权法发现 COVID-19 对视神经和视觉通路疾病有显著的因果影响(优势比=1.697,95%置信区间:1.086-2.652,p=0.020)。MR-Egger 回归、加权中位数和加权模式方法也观察到了方向一致的结果。相反,反向分析显示视神经和视觉通路疾病对 COVID-19 易感性没有因果影响。

结论

我们的发现表明,COVID-19 暴露可能增加视神经和视觉通路疾病的发病风险,支持肺脑轴假说。这些结果强调了在 COVID-19 康复患者中警惕监测视觉系统的重要性,并为未来的治疗策略提供了潜在途径。

https://cdn.ncbi.nlm.nih.gov/pmc/blobs/2655/11286426/cd6fb5b5e719/fimmu-15-1440262-g004.jpg
https://cdn.ncbi.nlm.nih.gov/pmc/blobs/2655/11286426/1f09de6961c0/fimmu-15-1440262-g001.jpg
https://cdn.ncbi.nlm.nih.gov/pmc/blobs/2655/11286426/db424bfa8992/fimmu-15-1440262-g002.jpg
https://cdn.ncbi.nlm.nih.gov/pmc/blobs/2655/11286426/2aa54f249e46/fimmu-15-1440262-g003.jpg
https://cdn.ncbi.nlm.nih.gov/pmc/blobs/2655/11286426/cd6fb5b5e719/fimmu-15-1440262-g004.jpg
https://cdn.ncbi.nlm.nih.gov/pmc/blobs/2655/11286426/1f09de6961c0/fimmu-15-1440262-g001.jpg
https://cdn.ncbi.nlm.nih.gov/pmc/blobs/2655/11286426/db424bfa8992/fimmu-15-1440262-g002.jpg
https://cdn.ncbi.nlm.nih.gov/pmc/blobs/2655/11286426/2aa54f249e46/fimmu-15-1440262-g003.jpg
https://cdn.ncbi.nlm.nih.gov/pmc/blobs/2655/11286426/cd6fb5b5e719/fimmu-15-1440262-g004.jpg

相似文献

1
Causal effect of COVID-19 on optic nerve and visual pathway disorders: genetic evidence of lung-brain axis.COVID-19 对视神经和视觉通路疾病的因果效应:肺脑轴的遗传证据。
Front Immunol. 2024 Jul 16;15:1440262. doi: 10.3389/fimmu.2024.1440262. eCollection 2024.
2
[Genetic Causation Analysis of Hyperandrogenemia Testing Indicators and Preeclampsia].[高雄激素血症检测指标与子痫前期的遗传因果关系分析]
Sichuan Da Xue Xue Bao Yi Xue Ban. 2024 May 20;55(3):566-573. doi: 10.12182/20240560106.
3
COVID-19 and the risk of acute cardiovascular diseases: a two-sample Mendelian randomization study.COVID-19 与急性心血管疾病风险:两样本孟德尔随机研究。
BMC Cardiovasc Disord. 2024 Jul 27;24(1):389. doi: 10.1186/s12872-024-04066-9.
4
No evidence of genetic causal association between sex hormone-related traits and systemic lupus erythematosus: A two-sample Mendelian randomization study.没有证据表明性激素相关特征与系统性红斑狼疮之间存在遗传因果关系:一项两样本孟德尔随机化研究。
Clin Rheumatol. 2023 Dec;42(12):3237-3249. doi: 10.1007/s10067-023-06700-x. Epub 2023 Jul 26.
5
Causal relationships between COVID-19 and osteoporosis: a two-sample Mendelian randomization study in European population.COVID-19 与骨质疏松症之间的因果关系:欧洲人群的两样本孟德尔随机化研究。
Front Public Health. 2023 May 24;11:1122095. doi: 10.3389/fpubh.2023.1122095. eCollection 2023.
6
COVID-19 and retinal layer thickness: A bidirectional Mendelian randomization study.COVID-19 与视网膜层厚度:双向孟德尔随机化研究。
Mult Scler Relat Disord. 2024 Aug;88:105700. doi: 10.1016/j.msard.2024.105700. Epub 2024 Jun 3.
7
Causality of genetically determined metabolites on anxiety disorders: a two-sample Mendelian randomization study.遗传决定代谢物与焦虑障碍的因果关系:两样本孟德尔随机化研究。
J Transl Med. 2022 Oct 20;20(1):475. doi: 10.1186/s12967-022-03691-2.
8
Genetic causal relationship between age at menarche and benign oesophageal neoplasia identified by a Mendelian randomization study.基于孟德尔随机化研究的月经初潮年龄与良性食管肿瘤之间的遗传因果关系。
Front Endocrinol (Lausanne). 2023 Mar 21;14:1113765. doi: 10.3389/fendo.2023.1113765. eCollection 2023.
9
Anxiety disorders and adhesive capsulitis: a bidirectional Mendelian randomization study.焦虑障碍与粘连性肩关节囊炎:一项双向孟德尔随机化研究。
Front Immunol. 2024 Jan 8;14:1297477. doi: 10.3389/fimmu.2023.1297477. eCollection 2023.
10
COVID-19 and Thyroid Function: A Bi-Directional Two-Sample Mendelian Randomization Study.COVID-19 与甲状腺功能:一项双向双样本 Mendelian Randomization 研究。
Thyroid. 2022 Sep;32(9):1037-1050. doi: 10.1089/thy.2022.0243. Epub 2022 Jul 19.

本文引用的文献

1
A review of neuro-ophthalmic sequelae following COVID-19 infection and vaccination.COVID-19 感染和疫苗接种后的神经眼科后遗症综述。
Front Cell Infect Microbiol. 2024 Jan 17;14:1345683. doi: 10.3389/fcimb.2024.1345683. eCollection 2024.
2
Prevalence of serum MOG antibody and AQP4 antibody in optic neuritis after SARS-CoV-2 infection.新型冠状病毒感染后视神经炎患者血清 MO G 抗体和 AQP4 抗体的阳性率。
Front Immunol. 2023 Nov 20;14:1296518. doi: 10.3389/fimmu.2023.1296518. eCollection 2023.
3
Long-term effects of SARS-CoV-2 infection on human brain and memory.
新型冠状病毒2(SARS-CoV-2)感染对人类大脑和记忆的长期影响。
Cell Death Discov. 2023 Jun 29;9(1):196. doi: 10.1038/s41420-023-01512-z.
4
Risk assessment of retinal vascular occlusion after COVID-19 vaccination.新冠疫苗接种后视网膜血管阻塞的风险评估
NPJ Vaccines. 2023 May 2;8(1):64. doi: 10.1038/s41541-023-00661-7.
5
Effect of COVID-19 Lockdowns on Eye Emergency Department, Increasing Prevalence of Uveitis and Optic Neuritis in the COVID-19 Era.2019冠状病毒病封锁措施对眼科急诊科的影响,以及2019冠状病毒病时代葡萄膜炎和视神经炎患病率的上升
Healthcare (Basel). 2022 Jul 29;10(8):1422. doi: 10.3390/healthcare10081422.
6
Assessment of the optic nerve, macular, and retinal vascular effects of COVID-19.评估 COVID-19 对视神经、黄斑和视网膜血管的影响。
Can J Ophthalmol. 2023 Dec;58(6):570-576. doi: 10.1016/j.jcjo.2022.06.016. Epub 2022 Jun 30.
7
Neurologic manifestations of COVID-19 in critically ill patients: results of the prospective multicenter registry PANDEMIC.COVID-19 危重症患者的神经表现:前瞻性多中心登记研究 PANDEMIC 的结果。
Crit Care. 2022 Jul 16;26(1):217. doi: 10.1186/s13054-022-04080-3.
8
Myelin Oligodendrocyte Glycoprotein Antibody-Associated Disease (MOGAD): A Review of Clinical and MRI Features, Diagnosis, and Management.髓鞘少突胶质细胞糖蛋白抗体相关疾病(MOGAD):临床与MRI特征、诊断及管理综述
Front Neurol. 2022 Jun 17;13:885218. doi: 10.3389/fneur.2022.885218. eCollection 2022.
9
Functional Two-Way Crosstalk Between Brain and Lung: The Brain-Lung Axis.脑-肺功能双向相互作用:脑-肺轴。
Cell Mol Neurobiol. 2023 Apr;43(3):991-1003. doi: 10.1007/s10571-022-01238-z. Epub 2022 Jun 9.
10
Neuromyelitis Optica Spectrum Disorder With Anti-Aquaporin-4 Antibody: Outcome Prediction Models.视神经脊髓炎谱系疾病伴抗水通道蛋白 4 抗体:预后预测模型。
Front Immunol. 2022 Mar 31;13:873576. doi: 10.3389/fimmu.2022.873576. eCollection 2022.