• 文献检索
  • 文档翻译
  • 深度研究
  • 学术资讯
  • Suppr Zotero 插件Zotero 插件
  • 邀请有礼
  • 套餐&价格
  • 历史记录
应用&插件
Suppr Zotero 插件Zotero 插件浏览器插件Mac 客户端Windows 客户端微信小程序
定价
高级版会员购买积分包购买API积分包
服务
文献检索文档翻译深度研究API 文档MCP 服务
关于我们
关于 Suppr公司介绍联系我们用户协议隐私条款
关注我们

Suppr 超能文献

核心技术专利:CN118964589B侵权必究
粤ICP备2023148730 号-1Suppr @ 2026

文献检索

告别复杂PubMed语法,用中文像聊天一样搜索,搜遍4000万医学文献。AI智能推荐,让科研检索更轻松。

立即免费搜索

文件翻译

保留排版,准确专业,支持PDF/Word/PPT等文件格式,支持 12+语言互译。

免费翻译文档

深度研究

AI帮你快速写综述,25分钟生成高质量综述,智能提取关键信息,辅助科研写作。

立即免费体验

ABCA4错义变体的功能特征有助于ABCA4视网膜营养不良患者的变体解读和表型预测。

Functional Characterization of ABCA4 Missense Variants Aids Variant Interpretation and Phenotype Prediction in Patients With ABCA4-Retinal Dystrophies.

作者信息

Aslaksen Sigrid, Aukrust Ingvild, Molday Laurie, Holtan Josephine Prener, Jansson Ragnhild Wivestad, Berland Siren, Rødahl Eyvind, Bredrup Cecilie, Bragadóttir Ragnheiður, Bratland Eirik, Molday Robert S, Knappskog Per Morten

机构信息

Department of Clinical Science, University of Bergen, Bergen, Norway.

Department of Medical Genetics, Haukeland University Hospital, Bergen, Norway.

出版信息

Invest Ophthalmol Vis Sci. 2024 Aug 1;65(10):2. doi: 10.1167/iovs.65.10.2.

DOI:10.1167/iovs.65.10.2
PMID:39087934
原文链接:https://pmc.ncbi.nlm.nih.gov/articles/PMC11305421/
Abstract

PURPOSE

Biallelic pathogenic variants in the gene encoding the ATP-binding cassette transporter ABCA4 are the leading cause of irreversible vision loss in inherited retinal dystrophies (IRDs). Interpretation of ABCA4 variants is challenging, due to cis-modifying and hypomorphic variants. We have previously detected 10 missense variants of unknown significance (VUS) in patients with suspected ABCA4-retinal dystrophies (ABCA4-RDs) in Norway. In this study, we functionally characterized the VUS to aid interpretation of the variants and to determine if they are associated with the disease.

METHODS

The ABCA4 VUS were expressed in HEK293T cells and the ABCA4 expression level and ATPase activity were determined and correlated with the patients' phenotype. The functional data further used for reclassification of the VUS following the American College of Medical Genetics and Genomics (ACMG) guidelines.

RESULTS

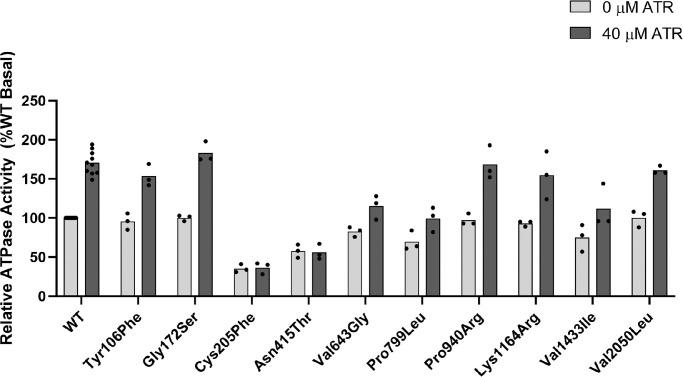
Of the 10 VUSs, 2 variants, Cys205Phe and Asn415Thr, were categorized as functionally severe. The age at presentation in the 2 patients carrying these variants was divergent and seemed to be driven by the patients' second pathogenic variants Gly1961Glu and c.5461-10T>C, respectively. Three variants, Val643Gly, Pro799Leu, and Val1433Ile were categorized as functionally moderate, and were found in patients with intermediate/late age at presentation. The remaining five variants were categorized as functionally normal/mild. Based on our data, c.614G>T p.(Cys205Phe), c.1244A>C p.(Asn415Thr), and c.2396C>T p.(Pro799Leu) were reclassified to (likely) pathogenic, while 4 of the functionally normal/mild variants could be reclassified to likely benign.

CONCLUSIONS

Functional analyses of ABCA4 variants are a helpful tool in variant classification and enable us to better predict the disease severity in patients with ABCA4-RDs.

摘要

目的

编码ATP结合盒转运蛋白ABCA4的基因中的双等位基因致病变异是遗传性视网膜营养不良(IRD)中不可逆视力丧失的主要原因。由于顺式修饰和亚效变异,对ABCA4变异的解读具有挑战性。我们之前在挪威疑似ABCA4视网膜营养不良(ABCA4-RD)患者中检测到10个意义未明的错义变异(VUS)。在本研究中,我们对这些VUS进行功能表征,以辅助变异解读并确定它们是否与疾病相关。

方法

将ABCA4 VUS在HEK293T细胞中表达,测定ABCA4表达水平和ATP酶活性,并与患者表型相关联。功能数据进一步用于按照美国医学遗传学与基因组学学会(ACMG)指南对VUS进行重新分类。

结果

在这10个VUS中,2个变异,即Cys205Phe和Asn415Thr,被归类为功能严重。携带这些变异的2名患者的发病年龄不同,似乎分别由患者的第二个致病变异Gly1961Glu和c.5461-10T>C驱动。3个变异,Val643Gly、Pro799Leu和Val1433Ile被归类为功能中等,在发病年龄为中年/老年的患者中发现。其余5个变异被归类为功能正常/轻度。根据我们的数据,c.614G>T p.(Cys205Phe)、c.1244A>C p.(Asn415Thr)和c.2396C>T p.(Pro799Leu)被重新分类为(可能)致病,而4个功能正常/轻度的变异可重新分类为可能良性。

结论

ABCA4变异的功能分析是变异分类的有用工具,使我们能够更好地预测ABCA4-RD患者的疾病严重程度。

https://cdn.ncbi.nlm.nih.gov/pmc/blobs/ddd8/11305421/2913eef19127/iovs-65-10-2-f007.jpg
https://cdn.ncbi.nlm.nih.gov/pmc/blobs/ddd8/11305421/d4bc52b32177/iovs-65-10-2-f001.jpg
https://cdn.ncbi.nlm.nih.gov/pmc/blobs/ddd8/11305421/de1b7b4b7a81/iovs-65-10-2-f002.jpg
https://cdn.ncbi.nlm.nih.gov/pmc/blobs/ddd8/11305421/a0de29bca16e/iovs-65-10-2-f003.jpg
https://cdn.ncbi.nlm.nih.gov/pmc/blobs/ddd8/11305421/70b08d9d9404/iovs-65-10-2-f004.jpg
https://cdn.ncbi.nlm.nih.gov/pmc/blobs/ddd8/11305421/3e3b83b0f4a2/iovs-65-10-2-f005.jpg
https://cdn.ncbi.nlm.nih.gov/pmc/blobs/ddd8/11305421/5a9cc517c4f1/iovs-65-10-2-f006.jpg
https://cdn.ncbi.nlm.nih.gov/pmc/blobs/ddd8/11305421/2913eef19127/iovs-65-10-2-f007.jpg
https://cdn.ncbi.nlm.nih.gov/pmc/blobs/ddd8/11305421/d4bc52b32177/iovs-65-10-2-f001.jpg
https://cdn.ncbi.nlm.nih.gov/pmc/blobs/ddd8/11305421/de1b7b4b7a81/iovs-65-10-2-f002.jpg
https://cdn.ncbi.nlm.nih.gov/pmc/blobs/ddd8/11305421/a0de29bca16e/iovs-65-10-2-f003.jpg
https://cdn.ncbi.nlm.nih.gov/pmc/blobs/ddd8/11305421/70b08d9d9404/iovs-65-10-2-f004.jpg
https://cdn.ncbi.nlm.nih.gov/pmc/blobs/ddd8/11305421/3e3b83b0f4a2/iovs-65-10-2-f005.jpg
https://cdn.ncbi.nlm.nih.gov/pmc/blobs/ddd8/11305421/5a9cc517c4f1/iovs-65-10-2-f006.jpg
https://cdn.ncbi.nlm.nih.gov/pmc/blobs/ddd8/11305421/2913eef19127/iovs-65-10-2-f007.jpg

相似文献

1
Functional Characterization of ABCA4 Missense Variants Aids Variant Interpretation and Phenotype Prediction in Patients With ABCA4-Retinal Dystrophies.ABCA4错义变体的功能特征有助于ABCA4视网膜营养不良患者的变体解读和表型预测。
Invest Ophthalmol Vis Sci. 2024 Aug 1;65(10):2. doi: 10.1167/iovs.65.10.2.
2
Clinical features and molecular genetics of patients with ABCA4-retinal dystrophies.ABCA4 相关视网膜营养不良患者的临床特征和分子遗传学。
Acta Ophthalmol. 2021 Aug;99(5):e733-e746. doi: 10.1111/aos.14679. Epub 2020 Nov 30.
3
Novel Variants in ABCA4-Related Retinopathies with Structural Re-Assessment of Variants of Uncertain Significance.ABCA4相关视网膜病变中的新型变异及意义未明变异的结构重新评估
Ophthalmologica. 2024;247(4):231-240. doi: 10.1159/000540361. Epub 2024 Jul 23.
4
In Silico Functional Meta-Analysis of 5,962 ABCA4 Variants in 3,928 Retinal Dystrophy Cases.对3928例视网膜营养不良病例中5962个ABCA4变体进行的计算机功能荟萃分析。
Hum Mutat. 2017 Apr;38(4):400-408. doi: 10.1002/humu.23165. Epub 2017 Feb 3.
5
ATP-binding cassette subfamily A, member 4 intronic variants c.4773+3A>G and c.5461-10T>C cause Stargardt disease due to defective splicing.ATP 结合盒亚家族 A,成员 4 内含子变异 c.4773+3A>G 和 c.5461-10T>C 导致 Stargardt 病是由于剪接缺陷。
Acta Ophthalmol. 2018 Nov;96(7):737-743. doi: 10.1111/aos.13676. Epub 2018 Feb 20.
6
ABCA4-associated disease as a model for missing heritability in autosomal recessive disorders: novel noncoding splice, cis-regulatory, structural, and recurrent hypomorphic variants.ABCA4 相关疾病作为常染色体隐性疾病遗传缺失的模型:新型非编码剪接、顺式调控、结构和复发性功能减退性变异。
Genet Med. 2019 Aug;21(8):1761-1771. doi: 10.1038/s41436-018-0420-y. Epub 2019 Jan 23.
7
Protein modeling and in silico analysis to assess pathogenicity of variants in patients with inherited retinal disease.利用蛋白质建模和计算机分析来评估遗传性视网膜疾病患者变异体的致病性。
Mol Vis. 2023 Oct 25;29:217-233. eCollection 2023.
8
Genotype-Phenotype Correlations in a Spanish Cohort of 506 Families With Biallelic ABCA4 Pathogenic Variants.西班牙 506 个家系的双等位基因 ABCA4 致病性变异的基因型-表型相关性研究。
Am J Ophthalmol. 2020 Nov;219:195-204. doi: 10.1016/j.ajo.2020.06.027. Epub 2020 Jun 30.
9
Extending the spectrum of CLRN1- and ABCA4-associated inherited retinal dystrophies caused by novel and recurrent variants using exome sequencing.利用外显子组测序扩展由新型和反复出现的变异引起的 CLRN1 和 ABCA4 相关遗传性视网膜营养不良的谱。
Mol Genet Genomic Med. 2020 Mar;8(3):e1123. doi: 10.1002/mgg3.1123. Epub 2020 Jan 22.
10
Genotypic profile and phenotype correlations of -associated retinopathy in Koreans.韩国人 - 相关视网膜病变的基因型谱与表型相关性
Mol Vis. 2019 Nov 14;25:679-690. eCollection 2019.

本文引用的文献

1
Association Between Genotype and Phenotype Severity in ABCA4-Associated Retinopathy.ABCA4 相关性视网膜病变的基因型与表型严重程度的相关性。
JAMA Ophthalmol. 2023 Sep 1;141(9):826-833. doi: 10.1001/jamaophthalmol.2023.3188.
2
Retinal-phospholipid Schiff-base conjugates and their interaction with ABCA4, the ABC transporter associated with Stargardt disease.视网膜磷脂席夫碱缀合物及其与 ABCA4 的相互作用,ABCA4 是与 Stargardt 病相关的 ABC 转运蛋白。
J Biol Chem. 2023 May;299(5):104614. doi: 10.1016/j.jbc.2023.104614. Epub 2023 Mar 16.
3
Genetic epidemiology of inherited retinal diseases in a large patient cohort followed at a single center in Italy.
意大利单中心大样本队列研究遗传性视网膜疾病的遗传流行病学。
Sci Rep. 2022 Dec 2;12(1):20815. doi: 10.1038/s41598-022-24636-1.
4
Understanding genetic variants of uncertain significance.理解意义不明确的基因变异。
Paediatr Child Health. 2021 Sep 13;27(1):10-11. doi: 10.1093/pch/pxab070. eCollection 2022 Mar.
5
Structure and function of ABCA4 and its role in the visual cycle and Stargardt macular degeneration.ABCA4 的结构与功能及其在视觉循环和 Stargardt 黄斑变性中的作用。
Prog Retin Eye Res. 2022 Jul;89:101036. doi: 10.1016/j.preteyeres.2021.101036. Epub 2021 Dec 23.
6
A genotype-phenotype correlation matrix for ABCA4 disease based on long-term prognostic outcomes.基于长期预后结果的 ABCA4 病基因型-表型相关矩阵。
JCI Insight. 2022 Jan 25;7(2):e156154. doi: 10.1172/jci.insight.156154.
7
Cryo-EM structures of the ABCA4 importer reveal mechanisms underlying substrate binding and Stargardt disease.冷冻电镜结构的 ABCA4 转运体揭示了底物结合和斯特格病的发病机制。
Nat Commun. 2021 Oct 8;12(1):5902. doi: 10.1038/s41467-021-26161-7.
8
An Overview of the Genetics of Retinopathies, an Evolving Story.遗传性视网膜病变的遗传学概述:一个不断发展的故事。
Genes (Basel). 2021 Aug 13;12(8):1241. doi: 10.3390/genes12081241.
9
Cis-acting modifiers in the ABCA4 locus contribute to the penetrance of the major disease-causing variant in Stargardt disease.ABCA4 基因座中的顺式作用修饰因子导致 Stargardt 病主要致病变异的外显率发生变化。
Hum Mol Genet. 2021 Jun 26;30(14):1293-1304. doi: 10.1093/hmg/ddab122.
10
Functional Characterization of ABCA4 Missense Variants Linked to Stargardt Macular Degeneration.ABCA4 错义变异与斯特格黄斑变性的功能特征分析。
Int J Mol Sci. 2020 Dec 27;22(1):185. doi: 10.3390/ijms22010185.