Suppr超能文献

新型冠状病毒木瓜蛋白酶样蛋白酶(PLpro)的非共价抑制剂:体外和体内抗病毒活性。

Non-Covalent Inhibitors of SARS-CoV-2 Papain-Like Protease (PLpro): In Vitro and In Vivo Antiviral Activity.

机构信息

Department of Pharmacology & Toxicology, R. Ken Coit College of Pharmacy, University of Arizona, Tucson 85721, Arizona, United States.

Department of Chemistry & Biochemistry, Colleges of Science and Medicine, University of Arizona, Tucson 85721, Arizona, United States.

出版信息

J Med Chem. 2024 Aug 22;67(16):13681-13702. doi: 10.1021/acs.jmedchem.4c00378. Epub 2024 Aug 5.

Abstract

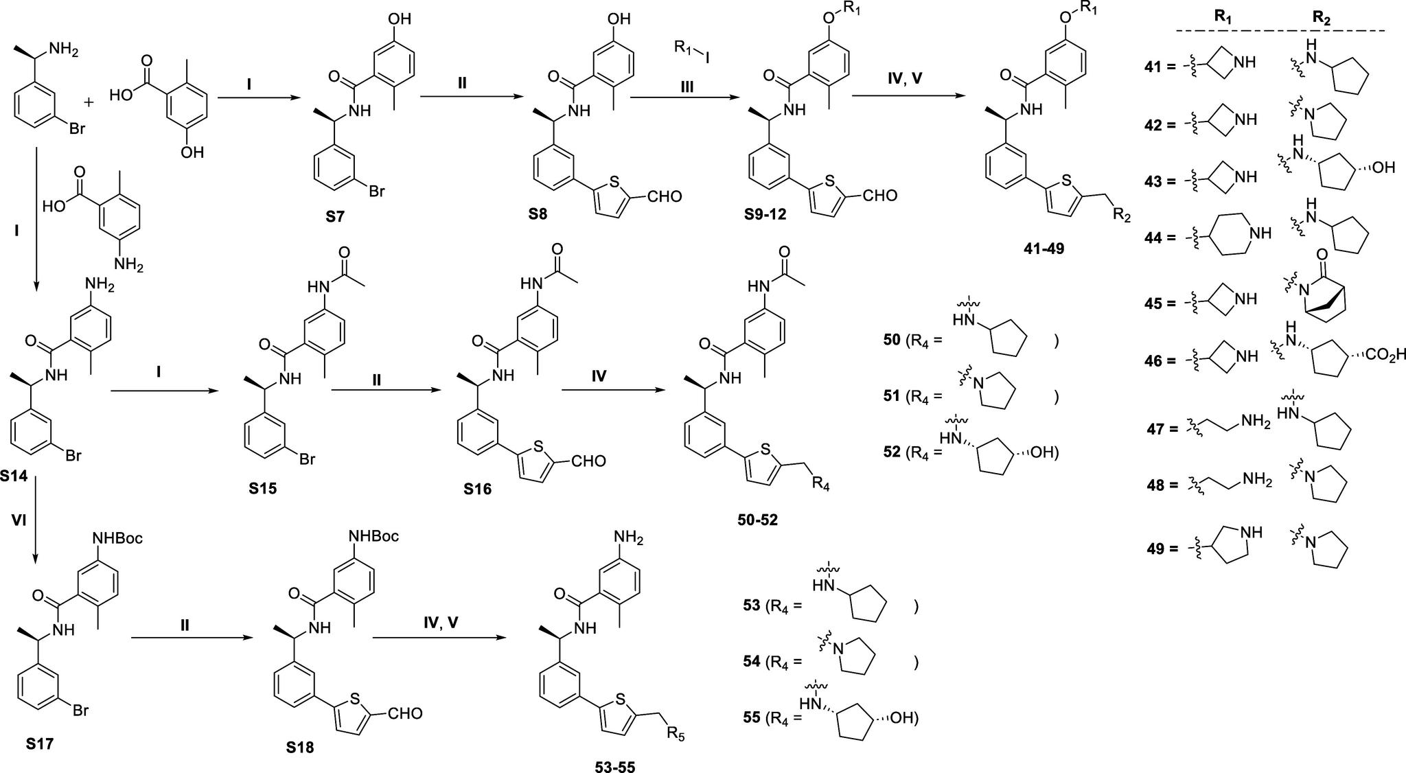
The SARS-CoV-2 papain-like protease (PLpro), essential for viral processing and immune response disruption, is a promising target for treating acute infection of SARS-CoV-2. To date, there have been no reports of PLpro inhibitors with both submicromolar potency and animal model efficacy. To address the challenge of PLpro's featureless active site, a noncovalent inhibitor library with over 50 new analogs was developed, targeting the PLpro active site by modulating the BL2-loop and engaging the BL2-groove. Notably, compounds and exhibited strong antiviral effects and were further analyzed pharmacokinetically. , in particular, showed a significant lung accumulation, up to 12.9-fold greater than plasma exposure, and was effective in a mouse model of SARS-CoV-2 infection, as well as against several SARS-CoV-2 variants. These findings highlight the potential of as an in vivo chemical probe for studying PLpro inhibition in SARS-CoV-2 infection.

摘要

严重急性呼吸综合征冠状病毒 2 (SARS-CoV-2 )的木瓜蛋白酶样蛋白酶(PLpro)对于病毒的加工和免疫反应的破坏至关重要,是治疗 SARS-CoV-2 急性感染的有希望的靶点。迄今为止,还没有报道具有亚微摩尔效力和动物模型疗效的 PLpro 抑制剂。为了解决 PLpro 无特征活性位点的挑战,通过调节 PLpro 活性位点的 BL2-环并与 BL2-槽结合,开发了一个具有 50 多个新类似物的非共价抑制剂库。值得注意的是,化合物 和 表现出强大的抗病毒作用,并进一步进行了药代动力学分析。特别是化合物 显示出显著的肺部蓄积,比血浆暴露高 12.9 倍,在 SARS-CoV-2 感染的小鼠模型中以及针对几种 SARS-CoV-2 变体均有效。这些发现强调了化合物 作为研究 SARS-CoV-2 感染中 PLpro 抑制的体内化学探针的潜力。

https://cdn.ncbi.nlm.nih.gov/pmc/blobs/b425/11345844/172427a54f9a/jm4c00378_0001.jpg

文献检索

告别复杂PubMed语法,用中文像聊天一样搜索,搜遍4000万医学文献。AI智能推荐,让科研检索更轻松。

立即免费搜索

文件翻译

保留排版,准确专业,支持PDF/Word/PPT等文件格式,支持 12+语言互译。

免费翻译文档

深度研究

AI帮你快速写综述,25分钟生成高质量综述,智能提取关键信息,辅助科研写作。

立即免费体验