• 文献检索
  • 文档翻译
  • 深度研究
  • 学术资讯
  • Suppr Zotero 插件Zotero 插件
  • 邀请有礼
  • 套餐&价格
  • 历史记录
应用&插件
Suppr Zotero 插件Zotero 插件浏览器插件Mac 客户端Windows 客户端微信小程序
定价
高级版会员购买积分包购买API积分包
服务
文献检索文档翻译深度研究API 文档MCP 服务
关于我们
关于 Suppr公司介绍联系我们用户协议隐私条款
关注我们

Suppr 超能文献

核心技术专利:CN118964589B侵权必究
粤ICP备2023148730 号-1Suppr @ 2026

文献检索

告别复杂PubMed语法,用中文像聊天一样搜索,搜遍4000万医学文献。AI智能推荐,让科研检索更轻松。

立即免费搜索

文件翻译

保留排版,准确专业,支持PDF/Word/PPT等文件格式,支持 12+语言互译。

免费翻译文档

深度研究

AI帮你快速写综述,25分钟生成高质量综述,智能提取关键信息,辅助科研写作。

立即免费体验

中性粒细胞与淋巴细胞比值在预测经颈静脉肝内门体分流术术后死亡率中的价值

The Value of Neutrophil-to-Lymphocyte Ratio in Predicting Mortality After Transjugular Intrahepatic Portosystemic Shunt Placement.

作者信息

Tang Hao-Huan, Zhou Lin-Feng, Wang Chun-Xin, Zha Yang, Fan Chen, Zhong Bin-Yan, Zhu Xiao-Li, Wang Wei-Dong

机构信息

Department of Interventional Radiology, The Affiliated Wuxi People's Hospital of Nanjing Medical University, Wuxi People's Hospital, Wuxi Medical Center, Nanjing Medical University, Wuxi, 214023, People's Republic of China.

Department of Interventional Radiology, The First Affiliated Hospital of Soochow University, Suzhou, 215006, People's Republic of China.

出版信息

J Inflamm Res. 2024 Aug 1;17:5211-5221. doi: 10.2147/JIR.S467583. eCollection 2024.

DOI:10.2147/JIR.S467583
PMID:39104908
原文链接:https://pmc.ncbi.nlm.nih.gov/articles/PMC11299797/
Abstract

BACKGROUND AND AIMS

The objective of this study was to investigate the effect of neutrophil-to-lymphocyte ratio (NLR) on the survival of cirrhotic patients with esophagogastric variceal bleeding (EGVB) treated with transjugular intrahepatic portosystemic shunt (TIPS).

METHODS

A total of 293 patients treated with TIPS were included. The receiver operator characteristic curve (ROC) was used to calculate the optimal cut-off values of parameters such as NLR. The Kaplan-Meier curve and Cox proportional risk model were used to evaluate the effects of NLR and other variables on 2-year all-cause mortality.

RESULTS

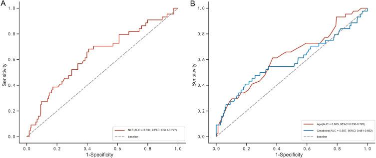
The area under the ROC for NLR was 0.634, with an optimal cutoff value of 4.9. Two-year mortality rates for patients with high (≥4.9) and low (<4.9) NLR were 22.1% and 9.3%, respectively (Log rank test: P = 0.002). After correcting for confounders, multivariate analysis demonstrated that NLR ≥ 4.9 (HR = 2.741, 95% CI 1.467-5.121, P = 0.002), age ≥ 63 (HR = 3.403, 95% CI 1.835-6.310, P < 0.001), and gender (male) (HR = 2.842, 95% CI 1.366-5.912, P = 0.001) were independent risk factors for the mortality outcome. Considering the stratification of early and selective TIPS treatment, high NLR still significantly increased the risk of mortality for patients (Log rank test: P = 0.007, HR = 2.317, 95% CI 1.232-4.356).

CONCLUSION

NLR can help to predict survival in EGVB patients after TIPS, and the type of TIPS should also be considered in practical applications.

摘要

背景与目的

本研究旨在探讨中性粒细胞与淋巴细胞比值(NLR)对经颈静脉肝内门体分流术(TIPS)治疗的食管胃静脉曲张破裂出血(EGVB)肝硬化患者生存情况的影响。

方法

共纳入293例行TIPS治疗的患者。采用受试者工作特征曲线(ROC)计算NLR等参数的最佳截断值。使用Kaplan-Meier曲线和Cox比例风险模型评估NLR及其他变量对2年全因死亡率的影响。

结果

NLR的ROC曲线下面积为0.634,最佳截断值为4.9。NLR高(≥4.9)和低(<4.9)的患者2年死亡率分别为22.1%和9.3%(对数秩检验:P = 0.002)。校正混杂因素后,多因素分析表明NLR≥4.9(HR = 2.741,95%CI 1.467 - 5.121,P = 0.002)、年龄≥63岁(HR = 3.403,95%CI 1.835 - 6.310,P < 0.001)和性别(男性)(HR = 2.842,95%CI 1.366 - 5.912,P = 0.001)是死亡结局的独立危险因素。考虑早期和选择性TIPS治疗的分层情况,高NLR仍显著增加患者的死亡风险(对数秩检验:P = 0.007,HR = 2.317,95%CI 1.232 - 4.356)。

结论

NLR有助于预测TIPS术后EGVB患者的生存情况,在实际应用中还应考虑TIPS的类型。

https://cdn.ncbi.nlm.nih.gov/pmc/blobs/0b97/11299797/4d6d206cd09a/JIR-17-5211-g0006.jpg
https://cdn.ncbi.nlm.nih.gov/pmc/blobs/0b97/11299797/7ff3b61e2472/JIR-17-5211-g0001.jpg
https://cdn.ncbi.nlm.nih.gov/pmc/blobs/0b97/11299797/10f4e4f0fa99/JIR-17-5211-g0002.jpg
https://cdn.ncbi.nlm.nih.gov/pmc/blobs/0b97/11299797/8397d2e2611f/JIR-17-5211-g0003.jpg
https://cdn.ncbi.nlm.nih.gov/pmc/blobs/0b97/11299797/eae060f41e8f/JIR-17-5211-g0004.jpg
https://cdn.ncbi.nlm.nih.gov/pmc/blobs/0b97/11299797/68433cdba06c/JIR-17-5211-g0005.jpg
https://cdn.ncbi.nlm.nih.gov/pmc/blobs/0b97/11299797/4d6d206cd09a/JIR-17-5211-g0006.jpg
https://cdn.ncbi.nlm.nih.gov/pmc/blobs/0b97/11299797/7ff3b61e2472/JIR-17-5211-g0001.jpg
https://cdn.ncbi.nlm.nih.gov/pmc/blobs/0b97/11299797/10f4e4f0fa99/JIR-17-5211-g0002.jpg
https://cdn.ncbi.nlm.nih.gov/pmc/blobs/0b97/11299797/8397d2e2611f/JIR-17-5211-g0003.jpg
https://cdn.ncbi.nlm.nih.gov/pmc/blobs/0b97/11299797/eae060f41e8f/JIR-17-5211-g0004.jpg
https://cdn.ncbi.nlm.nih.gov/pmc/blobs/0b97/11299797/68433cdba06c/JIR-17-5211-g0005.jpg
https://cdn.ncbi.nlm.nih.gov/pmc/blobs/0b97/11299797/4d6d206cd09a/JIR-17-5211-g0006.jpg

相似文献

1
The Value of Neutrophil-to-Lymphocyte Ratio in Predicting Mortality After Transjugular Intrahepatic Portosystemic Shunt Placement.中性粒细胞与淋巴细胞比值在预测经颈静脉肝内门体分流术术后死亡率中的价值
J Inflamm Res. 2024 Aug 1;17:5211-5221. doi: 10.2147/JIR.S467583. eCollection 2024.
2
A propensity score matching analysis of neutrophil to lymphocyte ratio forecasts the survival of individuals undergoing the transjugular intrahepatic portosystemic shunt.中性粒细胞与淋巴细胞比值对经颈静脉肝内门体分流术患者生存的预测的倾向评分匹配分析。
Biotechnol Genet Eng Rev. 2024 Nov;40(3):1791-1805. doi: 10.1080/02648725.2023.2196824. Epub 2023 Apr 3.
3
Prognosis value of serum chloride on 1-year mortality in cirrhotic patients receiving transjugular intrahepatic portosystemic shunt.血清氯对接受经颈静脉肝内门体分流术的肝硬化患者 1 年死亡率的预后价值。
J Formos Med Assoc. 2023 Sep;122(9):911-921. doi: 10.1016/j.jfma.2023.02.009. Epub 2023 Mar 4.
4
Controlling nutritional status score as a new indicator of overt hepatic encephalopathy in cirrhotic patients following transjugular intrahepatic portosystemic shunt.经颈静脉肝内门体分流术后肝硬化患者显性肝性脑病新指标:营养状态评分。
Clin Nutr. 2022 Feb;41(2):560-566. doi: 10.1016/j.clnu.2021.12.036. Epub 2022 Jan 4.
5
Prognostic value of neutrophil-to-lymphocyte ratio in cirrhosis patients undergoing transjugular intrahepatic portosystemic shunt.中性粒细胞与淋巴细胞比值在接受经颈静脉肝内门体分流术的肝硬化患者中的预后价值。
Eur J Gastroenterol Hepatol. 2022 Apr 1;34(4):435-442. doi: 10.1097/MEG.0000000000002295.
6
Prognosis after splenectomy plus pericardial devascularization transjugular intrahepatic portosystemic shunt for esophagogastric variceal bleeding.脾切除加心包去血管化联合经颈静脉肝内门体分流术治疗食管胃底静脉曲张破裂出血后的预后
World J Gastrointest Surg. 2023 Aug 27;15(8):1641-1651. doi: 10.4240/wjgs.v15.i8.1641.
7
Surgical portosystemic shunts versus transjugular intrahepatic portosystemic shunt for variceal haemorrhage in people with cirrhosis.肝硬化患者门静脉高压性静脉曲张出血的手术门体分流术与经颈静脉肝内门体分流术对比研究
Cochrane Database Syst Rev. 2018 Oct 31;10(10):CD001023. doi: 10.1002/14651858.CD001023.pub3.
8
Sarcopenia is an independent risk factor for short-term mortality in patients undergoing transjugular intrahepatic portosystemic shunt.肌肉减少症是经颈静脉肝内门体分流术患者短期死亡率的独立危险因素。
Eur J Gastroenterol Hepatol. 2024 Aug 1;36(8):1010-1015. doi: 10.1097/MEG.0000000000002790. Epub 2024 May 27.
9
Prediction of mortality after emergent transjugular intrahepatic portosystemic shunt placement: use of APACHE II, Child-Pugh and MELD scores in Asian patients with refractory variceal hemorrhage.急诊经颈静脉肝内门体分流术后死亡率的预测:亚洲难治性静脉曲张出血患者中急性生理与慢性健康状况评分系统II(APACHE II)、Child-Pugh评分及终末期肝病模型(MELD)评分的应用
Korean J Radiol. 2009 Sep-Oct;10(5):481-9. doi: 10.3348/kjr.2009.10.5.481. Epub 2009 Aug 25.
10
Correlation between serum markers and transjugular intrahepatic portosystemic shunt prognosis in patients with cirrhotic ascites.肝硬化腹水患者血清标志物与经颈静脉肝内门体分流术预后的相关性
World J Gastrointest Surg. 2024 Feb 27;16(2):481-490. doi: 10.4240/wjgs.v16.i2.481.

引用本文的文献

1
Is There a Role for the Neutrophil-to-Lymphocyte Ratio for Rebleeding and Mortality Risk Prediction in Acute Variceal Bleeding? A Comparative 5-Year Retrospective Study.中性粒细胞与淋巴细胞比值在急性静脉曲张出血再出血及死亡风险预测中是否有作用?一项为期5年的比较性回顾性研究。
Diseases. 2025 Aug 16;13(8):265. doi: 10.3390/diseases13080265.
2
Prognostic value of neutrophil-to-lymphocyte ratio for the clinical outcomes of chronic kidney diseases: an update systematic review and meta-analysis.中性粒细胞与淋巴细胞比值对慢性肾脏病临床结局的预后价值:一项更新的系统评价和荟萃分析
BMC Nephrol. 2025 Jul 28;26(1):419. doi: 10.1186/s12882-025-04363-1.

本文引用的文献

1
The Value of Neutrophil-to-Lymphocyte Ratio to Identify Bacterial Infection and Predict Short-Term Mortality in Patients with Acutely Decompensated Cirrhosis.中性粒细胞与淋巴细胞比值在急性失代偿期肝硬化患者中识别细菌感染及预测短期死亡率的价值
Diagnostics (Basel). 2023 Sep 14;13(18):2954. doi: 10.3390/diagnostics13182954.
2
A Novel Neutrophil-to-Lymphocyte Ratio and Sarcopenia Based TACE-Predict Model of Hepatocellular Carcinoma Patients.一种基于新型中性粒细胞与淋巴细胞比值和肌肉减少症的肝细胞癌患者经动脉化疗栓塞术预测模型。
J Hepatocell Carcinoma. 2023 Apr 20;10:659-671. doi: 10.2147/JHC.S407646. eCollection 2023.
3
Adipopenia in body composition analysis: a promising imaging biomarker and potential predictive factor for patients undergoing transjugular intrahepatic portosystemic shunt placement.
体成分分析中的脂肪减少症:经颈静脉肝内门体分流术患者有希望的影像学生物标志物和潜在预测因子。
Br J Radiol. 2023 Jun 1;96(1146):20220863. doi: 10.1259/bjr.20220863. Epub 2023 Apr 22.
4
MELD 3.0 Score for Predicting Survival in Patients with Cirrhosis After Transjugular Intrahepatic Portosystemic Shunt Creation.MELD3.0 评分预测经颈静脉肝内门体分流术创建后肝硬化患者的生存。
Dig Dis Sci. 2023 Jul;68(7):3185-3192. doi: 10.1007/s10620-023-07834-3. Epub 2023 Jan 30.
5
Large Paraumbilical Vein Shunts Increase the Risk of Overt Hepatic Encephalopathy after Transjugular Intrahepatic Portosystemic Shunt Placement.大的脐旁静脉分流增加经颈静脉肝内门体分流术后显性肝性脑病的风险。
J Clin Med. 2022 Dec 25;12(1):158. doi: 10.3390/jcm12010158.
6
Emergent Transjugular Intrahepatic Portosystemic Shunt as a First-Line Therapy in Patients with Cirrhosis with Acute Gastroesophageal Variceal Hemorrhage.急诊经颈静脉肝内门体分流术作为肝硬化合并急性食管胃静脉曲张出血患者的一线治疗方法
J Vasc Interv Radiol. 2023 Mar;34(3):344-350. doi: 10.1016/j.jvir.2022.11.015. Epub 2022 Nov 19.
7
Usefulness of neutrophil-to-lymphocyte ratio in predicting progression and survival outcomes after atezolizumab-bevacizumab treatment for hepatocellular carcinoma.中性粒细胞与淋巴细胞比值在预测阿替利珠单抗联合贝伐单抗治疗肝细胞癌后的疾病进展和生存结局中的作用
Hepatol Res. 2023 Jan;53(1):61-71. doi: 10.1111/hepr.13836. Epub 2022 Oct 4.
8
Mortality after transjugular intrahepatic portosystemic shunt in older adult patients with cirrhosis: A validated prediction model.老年肝硬化患者经颈静脉肝内门体分流术后的死亡率:一个经过验证的预测模型。
Hepatology. 2023 Feb 1;77(2):476-488. doi: 10.1002/hep.32704. Epub 2022 Aug 17.
9
Transjugular intrahepatic portosystemic shunt with or without gastro-oesophageal variceal embolisation for the prevention of variceal rebleeding: a randomised controlled trial.经颈静脉肝内门体分流术联合或不联合胃食管静脉曲张栓塞预防静脉曲张再出血的随机对照试验。
Lancet Gastroenterol Hepatol. 2022 Aug;7(8):736-746. doi: 10.1016/S2468-1253(22)00087-5. Epub 2022 May 17.
10
Sarcopenia in Patients with Cirrhosis after Transjugular Intrahepatic Portosystemic Shunt Placement.肝硬化经颈静脉肝内门体分流术患者的肌肉减少症。
Radiology. 2022 Jun;303(3):711-719. doi: 10.1148/radiol.211172. Epub 2022 Mar 15.