Suppr超能文献

尺度问题:确定用于模拟小型鲸类动物分布的环境变量的最佳时空尺度。

A matter of scale: Identifying the best spatial and temporal scale of environmental variables to model the distribution of a small cetacean.

作者信息

Goh Tiffany, Jessopp Mark, Rogan Emer, Pirotta Enrico

机构信息

School of Biological, Earth and Environmental Sciences University College Cork, Enterprise Centre, Distillery Fields Cork Ireland.

MaREI Centre, Beaufort Building, Environmental Research Institute University College Cork Cork Ireland.

出版信息

Ecol Evol. 2024 Aug 6;14(8):e70102. doi: 10.1002/ece3.70102. eCollection 2024 Aug.

Abstract

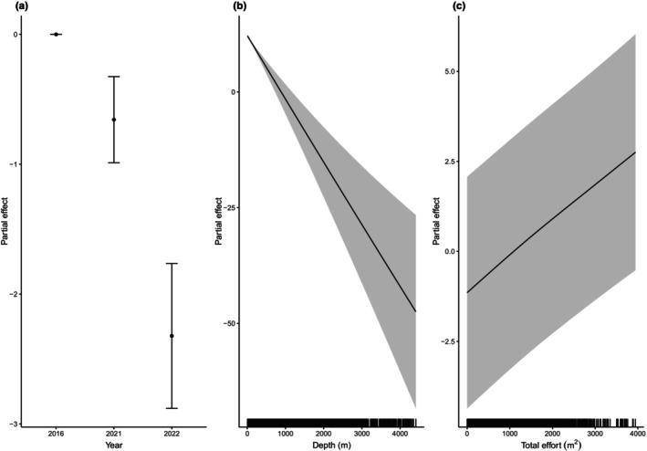
The importance of scale when investigating ecological patterns and processes is recognised across many species. In marine ecosystems, the processes that drive species distribution have a hierarchical structure over multiple nested spatial and temporal scales. Hence, multi-scale approaches should be considered when developing accurate distribution models to identify key habitats, particularly for populations of conservation concern. Here, we propose a modelling procedure to identify the best spatial and temporal scale for each modelled and remotely sensed oceanographic variable to model harbour porpoise () distribution within the Irish Exclusive Economic Zone. Harbour porpoise sightings were recorded during dedicated line-transect aerial surveys conducted in the summers of 2016, 2021 and 2022. Binary generalised additive models were used to assess the relationships between porpoise presence and oceanographic variables at different spatial (5-40 km) and temporal (daily, monthly and across survey period) scales. Selected variables included sea surface temperature, thermal fronts, chlorophyll-a, sea surface height, mixed layer depth and salinity. A total of 30,514 km was covered on-effort with 216 harbour porpoise sightings recorded. Overall, the best spatial scale corresponded to the coarsest resolution considered in this study (40 km), while porpoise presence showed stronger association with oceanographic variables summarised at a longer temporal scale. Habitat models including covariates at coarse spatial and temporal scales may better reflect the processes driving availability and abundance of resources at these large scales. These findings support the hypothesis that a multi-scale approach should be applied when investigating species distribution. Identifying suitable spatial and temporal scale would improve the functional interpretation of the underlying relationships, particularly when studying how a small marine predator interacts with its environment and responds to climate and ecosystem changes.

摘要

在研究许多物种的生态模式和过程时,尺度的重要性已得到广泛认可。在海洋生态系统中,驱动物种分布的过程在多个嵌套的空间和时间尺度上具有层次结构。因此,在开发准确的分布模型以识别关键栖息地时,应考虑采用多尺度方法,特别是对于需要保护的种群。在此,我们提出一种建模程序,以确定每个建模的和遥感的海洋学变量的最佳空间和时间尺度,从而模拟爱尔兰专属经济区内港湾鼠海豚()的分布。在2016年、2021年和2022年夏季进行的专门的线状断面空中调查中记录了港湾鼠海豚的目击情况。使用二元广义相加模型来评估在不同空间(5-40公里)和时间(每日、每月以及整个调查期)尺度上,鼠海豚出现与海洋学变量之间的关系。选定的变量包括海表温度、热锋、叶绿素a、海表高度、混合层深度和盐度。共覆盖了30514公里的调查范围,记录到216次港湾鼠海豚目击情况。总体而言,最佳空间尺度对应于本研究中考虑的最粗分辨率(40公里),而鼠海豚的出现与在较长时间尺度上汇总的海洋学变量表现出更强的关联。包含粗空间和时间尺度协变量的栖息地模型可能能更好地反映在这些大尺度上驱动资源可用性和丰度的过程。这些发现支持了在研究物种分布时应采用多尺度方法的假设。确定合适的空间和时间尺度将改善对潜在关系的功能解释,特别是在研究小型海洋捕食者如何与其环境相互作用以及如何应对气候和生态系统变化时。

https://cdn.ncbi.nlm.nih.gov/pmc/blobs/a7d6/11301658/75901087c8bc/ECE3-14-e70102-g001.jpg

文献检索

告别复杂PubMed语法,用中文像聊天一样搜索,搜遍4000万医学文献。AI智能推荐,让科研检索更轻松。

立即免费搜索

文件翻译

保留排版,准确专业,支持PDF/Word/PPT等文件格式,支持 12+语言互译。

免费翻译文档

深度研究

AI帮你快速写综述,25分钟生成高质量综述,智能提取关键信息,辅助科研写作。

立即免费体验