Suppr超能文献

同时接种[具体菌种1]和[具体菌种2]并结合[具体物质]对长相思葡萄酒化学和感官品质的影响。

The impact of simultaneous inoculation with and combined with on chemical and sensory quality of Sauvignon blanc wines.

作者信息

Li Linbo, Yuan Chenyang, Zhang Lei, Chu Ruichao, Yu Qingquan, Cai Jian, Yang Tianyou, Zhang Mingxia

机构信息

School of Life Science, Henan Institute of Science and Technology, Xinxiang, China.

Cofco Great Wall Sanggan Winery (Huailai) Co., Ltd., Huailai, China.

出版信息

Front Microbiol. 2024 Jul 24;15:1413650. doi: 10.3389/fmicb.2024.1413650. eCollection 2024.

Abstract

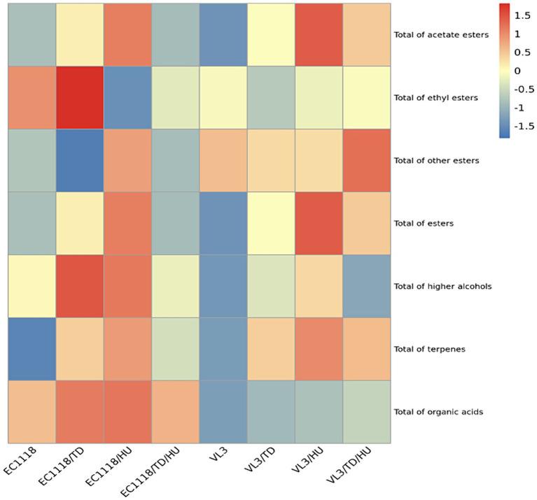
Non- yeasts have great potential in improving wine quality, showing personality characteristics, and highlighting the terroir of wine. In this study, we evaluated the impact of simultaneous inoculation with the non- yeasts or (and) in combination with (EC1118 or VL3) on the aromatic compounds and sensory quality of Sauvignon blanc wines. The growth of yeast groups in the alcoholic fermentation process was tracked using fluorescence hybridization. The presence of non yeast notably impacted the distribution of and was related to the species of yeast. The co-fermentation of and improved the content of total esters, especially acetate esters. Simultaneous inoculation of or (and) significantly increased the content of total terpenes, especially linalool. Similar results were found for some higher alcohols and organic acids. Sensory evaluation showed that the wines mixed fermentation with had significantly tropical fruit aroma characteristics. Citrus and mineral notes, typical aroma characteristics of Sauvignon blanc wine, were enhanced by mixed fermentation strategies with or (and) and different Hence, co-fermentation by or combined with could significantly improve the sensory quality of Sauvignon blanc wine.

摘要

非酵母微生物在改善葡萄酒品质、展现个性特征以及突出葡萄酒风土方面具有巨大潜力。在本研究中,我们评估了同时接种非酵母微生物或(和)与酵母(EC1118或VL3)组合对长相思葡萄酒香气化合物和感官品质的影响。在酒精发酵过程中,利用荧光杂交追踪酵母菌群的生长情况。非酵母微生物的存在显著影响了酵母的分布,且与酵母种类有关。非酵母微生物与酵母的共同发酵提高了总酯含量,尤其是乙酸酯。同时接种非酵母微生物或(和)显著增加了总萜烯含量,尤其是芳樟醇。一些高级醇和有机酸也有类似结果。感官评价表明,与非酵母微生物混合发酵的葡萄酒具有显著的热带水果香气特征。长相思葡萄酒典型的柑橘和矿物质香气特征通过与非酵母微生物或(和)不同酵母的混合发酵策略得到了增强。因此,非酵母微生物或与酵母组合的共同发酵能够显著提升长相思葡萄酒的感官品质。

https://cdn.ncbi.nlm.nih.gov/pmc/blobs/589f/11303216/503faa310825/fmicb-15-1413650-g001.jpg

文献AI研究员

20分钟写一篇综述,助力文献阅读效率提升50倍。

立即体验

用中文搜PubMed

大模型驱动的PubMed中文搜索引擎

马上搜索

文档翻译

学术文献翻译模型,支持多种主流文档格式。

立即体验