Bartkowska Joanna A, Szalbot Diana, Makowska Jolanta, Adamczyk-Habrajska Małgorzata, Stokłosa Zbigniew
Institute of Materials Engineering, Faculty of Science and Technology, University of Silesia, 75 Pułku Piechoty 1A, 41-500 Chorzow, Poland.
Materials (Basel). 2024 Jul 30;17(15):3760. doi: 10.3390/ma17153760.
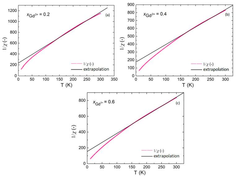
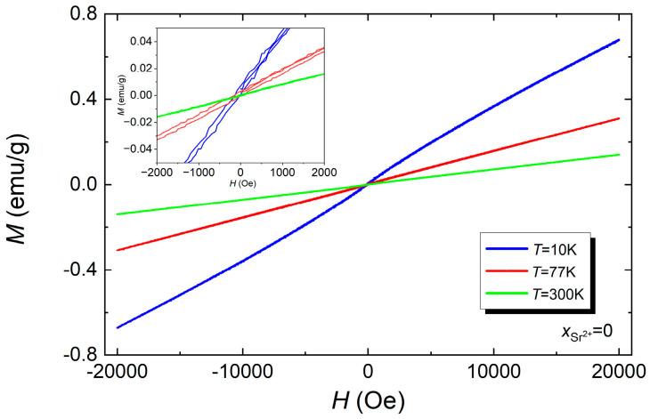
The magnetic properties of Aurivillius-phase BiFeTi3O (BFT) and BiGdFe3Ti3O, where = 0.2, 0.4, and 0.6 (BGFT), were investigated. Ceramic material undoped (BGF) and doped with Gd ions were prepared by conventional solid-state reaction. In order to confirm that the obtained materials belong to Aurivillius structures, XRD tests were performed. The XRD results confirmed that both the undoped and the gadolinium-doped materials belong to the Aurivillius phases. The qualitative chemical composition of the obtained materials was confirmed based on EDS tests. The temperature dependences of magnetization and magnetic susceptibility were examined for the ceramic material both undoped and doped with Gd ions. The measurements were taken in the temperature range from = 10 K to = 300 K. Using Curie's law, the value of the Curie constant was determined, and on its basis, the number of iron ions that take part in magnetic processes was calculated. The value of Curie constant C = 0.266 K, while the concentration of iron ions Fe, which influence the magnetic properties of the material, is equal 3.7 mol% (for BFT). Hysteresis loop measurements were also performed at temperatures of = 10 K, = 77 K, and = 300 K. The dependence of magnetization on the magnetic field was described by the Brillouin function, and on its basis, the concentration of Fe ions, which are involved in magnetic properties, was also calculated (3.4 mol% for BFT). Tests showed that the material is characterized by magnetic properties at low temperatures. At room temperature (RT), it has paramagnetic properties. It was also found that Gd ions improve the magnetic properties of tested material.
研究了钙钛矿相BiFeTi3O(BFT)和BiGdFe3Ti3O(其中 = 0.2、0.4和0.6,即BGFT)的磁性。通过传统的固态反应制备了未掺杂的(BGF)和掺杂钆离子的陶瓷材料。为了确认所获得的材料属于钙钛矿结构,进行了X射线衍射(XRD)测试。XRD结果证实,未掺杂和钆掺杂的材料均属于钙钛矿相。基于能谱(EDS)测试确定了所获得材料的定性化学成分。研究了未掺杂和掺杂钆离子的陶瓷材料的磁化强度和磁化率与温度的关系。测量在温度范围从 = 10 K至 = 300 K内进行。利用居里定律确定了居里常数的值,并在此基础上计算了参与磁过程的铁离子数量。居里常数C的值为0.266 K,而影响材料磁性的铁离子Fe的浓度等于3.7摩尔%(对于BFT)。还在 = 10 K、 = 77 K和 = 300 K的温度下进行了磁滞回线测量。磁化强度与磁场的关系由布里渊函数描述,并在此基础上计算了参与磁性的Fe离子浓度(对于BFT为3.4摩尔%)。测试表明,该材料在低温下具有磁性特性。在室温(RT)下,它具有顺磁性特性。还发现钆离子改善了测试材料的磁性。