Suppr超能文献

结合片段分子轨道和 GRID 方法预测配体-金属酶结合亲和力:以 hCA II 抑制剂为例。

Combining the Fragment Molecular Orbital and GRID Approaches for the Prediction of Ligand-Metalloenzyme Binding Affinity: The Case Study of hCA II Inhibitors.

机构信息

Department of Pharmacy, Università "G. D'Annunzio" Di Chieti-Pescara, 66100 Chieti, Italy.

出版信息

Molecules. 2024 Jul 30;29(15):3600. doi: 10.3390/molecules29153600.

Abstract

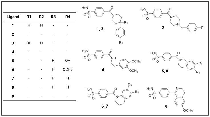
Polarization and charge-transfer interactions play an important role in ligand-receptor complexes containing metals, and only quantum mechanics methods can adequately describe their contribution to the binding energy. In this work, we selected a set of benzenesulfonamide ligands of human Carbonic Anhydrase II (hCA II)-an important druggable target containing a Zn ion in the active site-as a case study to predict the binding free energy in metalloprotein-ligand complexes and designed specialized computational methods that combine the ab initio fragment molecular orbital (FMO) method and GRID approach. To reproduce the experimental binding free energy in these systems, we adopted a machine-learning approach, here named formula generator (FG), considering different FMO energy terms, the hydrophobic interaction energy (computed by GRID) and logP. The main advantage of the FG approach is that it can find nonlinear relations between the energy terms used to predict the binding free energy, explicitly showing their mathematical relation. This work showed the effectiveness of the FG approach, and therefore, it might represent an important tool for the development of new scoring functions. Indeed, our scoring function showed a high correlation with the experimental binding free energy (R = 0.76-0.95, RMSE = 0.34-0.18), revealing a nonlinear relation between energy terms and highlighting the relevant role played by hydrophobic contacts. These results, along with the FMO characterization of ligand-receptor interactions, represent important information to support the design of new and potent hCA II inhibitors.

摘要

极化和电荷转移相互作用在含有金属的配体-受体复合物中起着重要作用,只有量子力学方法才能充分描述它们对结合能的贡献。在这项工作中,我们选择了一组人碳酸酐酶 II(hCA II)的苯磺酰胺配体作为案例研究,以预测金属蛋白-配体复合物中的结合自由能,并设计了专门的计算方法,结合了从头算片段分子轨道(FMO)方法和 GRID 方法。为了在这些系统中重现实验结合自由能,我们采用了一种名为公式生成器(FG)的机器学习方法,考虑了不同的 FMO 能量项、疏水相互作用能(由 GRID 计算)和 logP。FG 方法的主要优势在于它可以找到用于预测结合自由能的能量项之间的非线性关系,明确显示它们的数学关系。这项工作表明了 FG 方法的有效性,因此,它可能代表开发新评分函数的重要工具。事实上,我们的评分函数与实验结合自由能具有高度相关性(R = 0.76-0.95,RMSE = 0.34-0.18),揭示了能量项之间的非线性关系,并强调了疏水相互作用的相关作用。这些结果以及配体-受体相互作用的 FMO 特征,为支持设计新型强效 hCA II 抑制剂提供了重要信息。

https://cdn.ncbi.nlm.nih.gov/pmc/blobs/8caa/11313991/55aac2711132/molecules-29-03600-g001.jpg

文献AI研究员

20分钟写一篇综述,助力文献阅读效率提升50倍。

立即体验

用中文搜PubMed

大模型驱动的PubMed中文搜索引擎

马上搜索

文档翻译

学术文献翻译模型,支持多种主流文档格式。

立即体验