Suppr超能文献

猪β防御素 2 通过 TLRs-NF-κB/MAPK 信号通路抑制 IPPEC-J2 细胞对大肠杆菌的炎症反应。

Porcine beta defensin 2 attenuates inflammatory responses in IPEC-J2 cells against Escherichia coli via TLRs-NF-κB/MAPK signaling pathway.

机构信息

College of Animal Science and Technology, Henan Agricultural University, No. 218, PingAn Road, Zheng Dong New District, Zhengzhou, 460045, Henan, The People's Republic of China.

College of Animal Science and Veterinary Medicine, Henan Institute of Science and Technology, Xinxiang, 453003, Henan, The People's Republic of China.

出版信息

BMC Vet Res. 2024 Aug 10;20(1):357. doi: 10.1186/s12917-024-04220-7.

Abstract

BACKGROUND

Porcine beta defensin 2 (pBD2) is one of the porcine beta defensins that has antibacterial activity, and plays an important role in the immunomodulatory activity that protects cells from pathogens. It has been reported that pBD2 plays their immunomodulatory functions related to the TLR4-NF-κB signal pathways. However, it is not completely clear how pBD2 reduces the inflammatory response caused by pathogens.

RESULTS

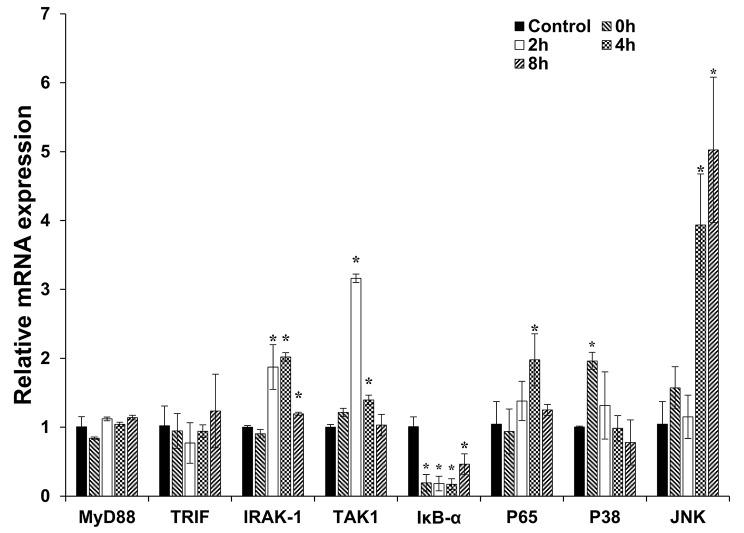
In this study, the effect of pBD2 on the expression of genes in the TLRs signaling pathway was investigated after IPEC-J2 cells were challenged with E. coli. The results showed that pBD2 decreased the expression of IL-8 induced by E. coli (P < 0.05), and pBD2 significantly decreased the expression of TLR4, TLR5 and TLR7 (P < 0.05), as well as the key downstream genes p38 and JNK which activated by E. coli (P < 0.05). In addition, pBD2 inhibited the p-p65, p-p38 and p-JNK which were up-regulated by E. coli.

CONCLUSIONS

pBD2 could reduce the inflammatory response induced by E. coli perhaps by inhibiting the TLRs-TAK1-NF-κB/MAPK signaling pathway which was activated by E. coli in IPEC-J2 cells. Our study further reveals the immunomodulatory activity of recombinant pBD2 against E. coli, and provides insights into the molecular mechanisms that protect cells from E. coli infection.

摘要

背景

猪β防御素 2(pBD2)是具有抗菌活性的猪β防御素之一,在保护细胞免受病原体侵害的免疫调节活性中发挥重要作用。据报道,pBD2 通过 TLR4-NF-κB 信号通路发挥其免疫调节功能。然而,pBD2 如何降低病原体引起的炎症反应尚不完全清楚。

结果

本研究在大肠杆菌刺激 IPEC-J2 细胞后,研究了 pBD2 对 TLRs 信号通路相关基因表达的影响。结果表明,pBD2 降低了大肠杆菌诱导的 IL-8 的表达(P<0.05),并显著降低了 TLR4、TLR5 和 TLR7 的表达(P<0.05),以及由大肠杆菌激活的关键下游基因 p38 和 JNK(P<0.05)。此外,pBD2 抑制了大肠杆菌上调的 p-p65、p-p38 和 p-JNK。

结论

pBD2 可能通过抑制大肠杆菌在 IPEC-J2 细胞中激活的 TLRs-TAK1-NF-κB/MAPK 信号通路来降低大肠杆菌诱导的炎症反应。我们的研究进一步揭示了重组 pBD2 对大肠杆菌的免疫调节活性,并为保护细胞免受大肠杆菌感染的分子机制提供了新的见解。

https://cdn.ncbi.nlm.nih.gov/pmc/blobs/fb40/11316325/f3a14eedfb5b/12917_2024_4220_Fig1_HTML.jpg

文献AI研究员

20分钟写一篇综述,助力文献阅读效率提升50倍。

立即体验

用中文搜PubMed

大模型驱动的PubMed中文搜索引擎

马上搜索

文档翻译

学术文献翻译模型,支持多种主流文档格式。

立即体验