Suppr超能文献

在Monaco治疗计划系统中对调强技术的最小射野宽度和注量平滑工具的评估

Evaluation of the Minimum Segment Width and Fluence Smoothing Tools for Intensity-modulated Techniques in Monaco Treatment Planning System.

作者信息

Jiménez-Puertas Sara, Rodríguez Andrea González, Cordero Sergio Lozares, González Tomás González, Chamarro Javier Díez, Hernández Mónica Hernández, Moreno Raquel Castro, Casi Marta Sánchez, Gazulla David Carlos Villa, Martínez Almudena Gandía, Bonel Arantxa Campos, Valiño Maria Del Mar Puertas, Gómez José Antonio Font

机构信息

Department of Medical Physics and Radiation Protection, University Hospital Miguel Servet, P.º de Isabel la Católica, 1-3, 50009 Zaragoza, Spain.

出版信息

J Med Phys. 2024 Apr-Jun;49(2):250-260. doi: 10.4103/jmp.jmp_156_23. Epub 2024 Jun 25.

Abstract

PURPOSE

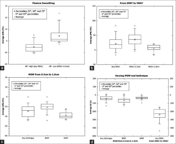
This study aims to minimize monitor units (MUs) of intensity-modulated treatments in the Monaco treatment planning system while preserving plan quality by optimizing the "Minimum Segment Width" (MSW) and "Fluence Smoothing" parameters.

MATERIALS AND METHODS

We retrospectively analyzed 30 prostate, 30 gynecological, 15 breast cancer, 10 head and neck tumor, 11 radiosurgery, and 10 hypo-fractionated plans. Original prostate plans employed "Fluence Smoothing" = and were reoptimized with , , and settings. The remaining pathologies initially used MSW = 0.5 cm and were reoptimized with MSW = 1.0 cm. Plan quality, including total MU, delivery time, and dosimetric constraints, was statistically analyzed with a paired -test.

RESULTS

Prostate plans exhibited the highest MU variation when changing "Fluence Smoothing" from to (average ΔMU = -5.1%; < 0.001). However, a setting may increase overall MU when MSW = 0.5 cm. Gynecological plans changed substantially when MSW increased from 0.5 cm to 1.0 cm (average ΔMU = -29%; < 0.001). Organs at risk sparing and planning target volumes remained within 1.2% differences. Replanning other pathologies with MSW = 1.0 cm affected breast and head and neck tumor plans (average ΔMU = -168.38, average Δt = -11.74 s, and average ΔMU = -256.56, average Δt = -15.05 s, respectively; all with < 0.004). Radiosurgery and hypofractioned highly modulated plans did not yield statistically significant results.

CONCLUSIONS

In breast, pelvis, head and neck, and prostate plans, starting with MSW = 1.0 cm optimally reduces MU and treatment time without compromising plan quality. MSW has a greater impact on MU than the "Fluence Smoothing" parameter. Plans with high modulation might present divergent behavior, requiring a case-specific analysis with MSW values higher than 0.5 cm.

摘要

目的

本研究旨在通过优化“最小射野宽度”(MSW)和“注量平滑”参数,在Monaco治疗计划系统中使调强治疗的监测单位(MUs)最小化,同时保持计划质量。

材料与方法

我们回顾性分析了30例前列腺癌、30例妇科肿瘤、15例乳腺癌、10例头颈部肿瘤、11例放射外科手术和10例大分割计划。原始前列腺癌计划采用“注量平滑” = ,并分别用 、 和 的设置进行重新优化。其余病例最初使用MSW = 0.5 cm,并重新优化为MSW = 1.0 cm。采用配对t检验对计划质量,包括总MU、照射时间和剂量学约束进行统计学分析。

结果

当将“注量平滑”从 更改为 时,前列腺癌计划的MU变化最大(平均ΔMU = -5.1%;P < 0.001)。然而,当MSW = 0.5 cm时, 设置可能会增加总体MU。当MSW从0.5 cm增加到1.0 cm时,妇科肿瘤计划发生了显著变化(平均ΔMU = -29%;P < 0.001)。危及器官的保留和计划靶体积的差异保持在1.2%以内。用MSW = 1.0 cm重新规划其他病例会影响乳腺癌和头颈部肿瘤计划(平均ΔMU分别为 -168.38,平均Δt = -11.74 s,以及平均ΔMU = -256.56,平均Δt = -15.05 s;所有P < 0.004)。放射外科手术和大分割高度调强计划未得出具有统计学意义的结果。

结论

在乳腺癌、盆腔、头颈部和前列腺癌计划中,从MSW = 1.0 cm开始可最佳地减少MU和治疗时间,而不会影响计划质量。MSW对MU的影响大于“注量平滑”参数。高度调强的计划可能表现出不同的行为,需要对MSW值高于0.5 cm的情况进行具体病例分析。

https://cdn.ncbi.nlm.nih.gov/pmc/blobs/74dd/11309139/992af54a8c62/JMP-49-250-g002.jpg

文献检索

告别复杂PubMed语法,用中文像聊天一样搜索,搜遍4000万医学文献。AI智能推荐,让科研检索更轻松。

立即免费搜索

文件翻译

保留排版,准确专业,支持PDF/Word/PPT等文件格式,支持 12+语言互译。

免费翻译文档

深度研究

AI帮你快速写综述,25分钟生成高质量综述,智能提取关键信息,辅助科研写作。

立即免费体验