• 文献检索
  • 文档翻译
  • 深度研究
  • 学术资讯
  • Suppr Zotero 插件Zotero 插件
  • 邀请有礼
  • 套餐&价格
  • 历史记录
应用&插件
Suppr Zotero 插件Zotero 插件浏览器插件Mac 客户端Windows 客户端微信小程序
定价
高级版会员购买积分包购买API积分包
服务
文献检索文档翻译深度研究API 文档MCP 服务
关于我们
关于 Suppr公司介绍联系我们用户协议隐私条款
关注我们

Suppr 超能文献

核心技术专利:CN118964589B侵权必究
粤ICP备2023148730 号-1Suppr @ 2026

文献检索

告别复杂PubMed语法,用中文像聊天一样搜索,搜遍4000万医学文献。AI智能推荐,让科研检索更轻松。

立即免费搜索

文件翻译

保留排版,准确专业,支持PDF/Word/PPT等文件格式,支持 12+语言互译。

免费翻译文档

深度研究

AI帮你快速写综述,25分钟生成高质量综述,智能提取关键信息,辅助科研写作。

立即免费体验

组间恢复期间慢呼吸对杠铃后深蹲力量表现的影响

The Effects of Slow Breathing during Inter-Set Recovery on Power Performance in the Barbell Back Squat.

作者信息

Buxton Jeffrey D, Grose Holly M, DeLuca Joseph D, Donofrio Troy P, LePre Vincent R, Parrish Clayton W, Gerhart Hayden D, Prins Philip J

机构信息

Department of Exercise Science/Grove City College, Grove City, PA, USA.

出版信息

J Hum Kinet. 2024 May 17;93:93-103. doi: 10.5114/jhk/185935. eCollection 2024 Jul.

DOI:10.5114/jhk/185935
PMID:39132422
原文链接:https://pmc.ncbi.nlm.nih.gov/articles/PMC11307190/
Abstract

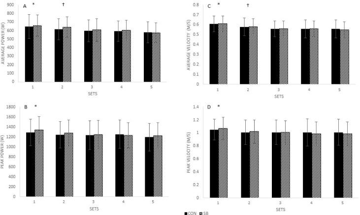
Slow breathing (SB) reduces sympathetic nervous system activity, the heart rate (HR), and blood pressure (BP) and increases parasympathetic nervous system activity, HR variability, and oxygen saturation which may lead to quicker recovery between bouts of exercise. Therefore, the purpose of this study was to examine whether a SB technique using the 4-7-8 method between sets of barbell back squats (SQs) would attenuate drops in power and bar velocity. In a randomized, crossover design, 18 healthy resistance-trained college-aged males (age: 20.7 ± 1.4 years, body height: 178.6 ± 6.4 cm, body mass: 82.2 ± 15.0 kg, 4.5 ± 2.4 years of experience) performed 5 sets of 3 repetitions of SQs with normal breathing (CON) or SB during the 3-min recovery between sets. Peak and average power and bar velocity were assessed using a linear positioning transducer. HR recovery (RHR), systolic BP recovery (RBP), the rating of perceived exertion (RPE) and the rating of perceived recovery score (RS) were assessed after each set. There were no significant differences between conditions for peak and average power and bar velocity, RBP, RPE, and RS (p > 0.211). SB led to a greater RHR after set 2 (SB: 51.0 ± 14.9 bpm vs. CON: 44.5 ± 11.5 bpm, p = 0.025) and 3 (SB: 48.3 ± 13.5 bpm vs. CON: 37.7 ± 11.7 bpm, p = 0.006) compared to the CON condition. SB was well tolerated, did not hinder nor improve training performance and improved RHR after the middle sets of SQs. Further investigations are warranted to examine the effects of other SB techniques and to determine SB's effects on different training stimuli as well as its effects over an entire workout and post-workout recovery metrics.

摘要

慢呼吸(SB)可降低交感神经系统活动、心率(HR)和血压(BP),并增加副交感神经系统活动、HR变异性和血氧饱和度,这可能会使运动间歇期的恢复更快。因此,本研究的目的是检验在杠铃后深蹲(SQ)组间使用4-7-8方法的慢呼吸技术是否会减弱力量和杠铃速度的下降。在一项随机交叉设计中,18名健康的、有抗阻训练经验的大学年龄男性(年龄:20.7±1.4岁,身高:178.6±6.4厘米,体重:82.2±15.0千克,训练经验4.5±2.4年)在组间3分钟恢复期间,以正常呼吸(CON)或慢呼吸进行5组,每组3次的深蹲。使用线性定位传感器评估峰值和平均功率以及杠铃速度。每组后评估HR恢复(RHR)、收缩压恢复(RBP)、主观用力程度评分(RPE)和主观恢复评分(RS)。在峰值和平均功率、杠铃速度、RBP、RPE和RS方面,各条件之间无显著差异(p>0.211)。与CON条件相比,慢呼吸在第2组(慢呼吸:51.0±14.9次/分钟 vs. CON:44.5±11.5次/分钟,p = 0.025)和第3组后导致更高的RHR(慢呼吸:48.3±13.5次/分钟 vs. CON:37.7±11.7次/分钟,p = 0.006)。慢呼吸耐受性良好,既不阻碍也不改善训练表现,并在深蹲中间组后改善了RHR。有必要进行进一步研究,以检验其他慢呼吸技术的效果,并确定慢呼吸对不同训练刺激的影响,以及其对整个训练和训练后恢复指标的影响。

https://cdn.ncbi.nlm.nih.gov/pmc/blobs/823e/11307190/5b86e0ffbe9f/JHK-93-185935-g003.jpg
https://cdn.ncbi.nlm.nih.gov/pmc/blobs/823e/11307190/fa2c5951e63d/JHK-93-185935-g001.jpg
https://cdn.ncbi.nlm.nih.gov/pmc/blobs/823e/11307190/c751bf23620a/JHK-93-185935-g002.jpg
https://cdn.ncbi.nlm.nih.gov/pmc/blobs/823e/11307190/5b86e0ffbe9f/JHK-93-185935-g003.jpg
https://cdn.ncbi.nlm.nih.gov/pmc/blobs/823e/11307190/fa2c5951e63d/JHK-93-185935-g001.jpg
https://cdn.ncbi.nlm.nih.gov/pmc/blobs/823e/11307190/c751bf23620a/JHK-93-185935-g002.jpg
https://cdn.ncbi.nlm.nih.gov/pmc/blobs/823e/11307190/5b86e0ffbe9f/JHK-93-185935-g003.jpg

相似文献

1
The Effects of Slow Breathing during Inter-Set Recovery on Power Performance in the Barbell Back Squat.组间恢复期间慢呼吸对杠铃后深蹲力量表现的影响
J Hum Kinet. 2024 May 17;93:93-103. doi: 10.5114/jhk/185935. eCollection 2024 Jul.
2
Comparison of Olympic and Safety Squat Bar Barbells on Force, Velocity, and Rating of Perceived Exertion During Acute High-Intensity Back Squats in Recreationally Trained Men.奥林匹克杠铃与安全深蹲杆在休闲训练男性急性高强度后深蹲过程中的力量、速度及主观用力程度比较
Int J Exerc Sci. 2024 Aug 1;17(7):1120-1133. doi: 10.70252/QTXB6775. eCollection 2024.
3
Influence of exercise order in a resistance-training exercise session.抗阻训练课程中运动顺序的影响。
J Strength Cond Res. 2006 Feb;20(1):141-4. doi: 10.1519/R-18185.1.
4
Influence of Movement Velocity on Accuracy of Estimated Repetitions to Failure in Resistance-Trained Men.运动速度对抗阻训练男性预估失败重复次数准确性的影响。
J Strength Cond Res. 2022 Oct 1;36(10):2701-2708. doi: 10.1519/JSC.0000000000003978. Epub 2021 Jan 22.
5
Using Session RPE to Monitor Different Methods of Resistance Exercise.使用运动感觉评估(Session RPE)监测不同的抗阻运动方法。
J Sports Sci Med. 2006 Jun 1;5(2):289-95. eCollection 2006.
6
Differences in Lift Quality During the Barbell Back Squat When Using Perceived Recovery Status-Regulated Intrasession Recovery Compared With Standardized Recovery Intervals.使用感知恢复状态调节的组间恢复与标准化恢复间歇相比,在杠铃深蹲时的提升质量的差异。
J Strength Cond Res. 2024 Mar 1;38(3):444-449. doi: 10.1519/JSC.0000000000004649. Epub 2023 Dec 13.
7
Influence of Cluster Sets on Mechanical and Perceptual Variables in Adolescent Athletes.群组训练对青少年运动员力学和感知变量的影响。
Int J Environ Res Public Health. 2023 Feb 5;20(4):2810. doi: 10.3390/ijerph20042810.
8
Effect of the Repetitions-In-Reserve Resistance Training Strategy on Bench Press Performance, Perceived Effort, and Recovery in Trained Men.重复次数储备阻力训练策略对有训练经验男性的卧推表现、感知努力和恢复的影响。
J Strength Cond Res. 2022 Jan 1;36(1):1-9. doi: 10.1519/JSC.0000000000004158.
9
Rating of Perceived Exertion and Velocity Relationships Among Trained Males and Females in the Front Squat and Hexagonal Bar Deadlift.在深蹲和六角杠铃硬拉中,训练有素的男性和女性的感知用力等级和速度关系。
J Strength Cond Res. 2021 Feb 1;35(Suppl 1):S23-S30. doi: 10.1519/JSC.0000000000003905.
10
Comparison Between Traditional and Alternated Resistance Exercises on Blood Pressure, Acute Neuromuscular Responses, and Rating of Perceived Exertion in Recreationally Resistance-Trained Men.传统抗阻训练与交替抗阻训练对血压、急性神经肌肉反应和业余抗阻训练男性主观用力感知评估的比较。
J Strength Cond Res. 2024 May 1;38(5):e211-e218. doi: 10.1519/JSC.0000000000004723.

本文引用的文献

1
Foot Cooling between Interval Bouts Enhances Repeated Lower Limb Power Performance: The Role of Delaying Fatigue.间歇运动期间的足部冷却可增强下肢重复力量表现:延迟疲劳的作用。
J Hum Kinet. 2023 Jan 20;86:107-116. doi: 10.5114/jhk/159623. eCollection 2023 Mar.
2
Effects of sleep deprivation and 4-7-8 breathing control on heart rate variability, blood pressure, blood glucose, and endothelial function in healthy young adults.睡眠剥夺和 4-7-8 呼吸控制对健康年轻成年人心率变异性、血压、血糖和内皮功能的影响。
Physiol Rep. 2022 Jul;10(13):e15389. doi: 10.14814/phy2.15389.
3
Benefits from one session of deep and slow breathing on vagal tone and anxiety in young and older adults.
单次深呼吸对年轻和老年成年人迷走神经张力和焦虑的益处。
Sci Rep. 2021 Sep 29;11(1):19267. doi: 10.1038/s41598-021-98736-9.
4
The effect of breathing technique on sticking region during maximal bench press.最大卧推时呼吸技巧对黏滞区的影响。
Biol Sport. 2021 Sep;38(3):445-450. doi: 10.5114/biolsport.2021.100362. Epub 2020 Nov 4.
5
Hyperventilation-Aided Recovery for Extra Repetitions on Bench Press and Leg Press.呼吸过度辅助恢复在卧推和腿举上的额外重复次数。
J Strength Cond Res. 2020 May;34(5):1274-1284. doi: 10.1519/JSC.0000000000003506.
6
Systematic review of intra-abdominal and intrathoracic pressures initiated by the Valsalva manoeuvre during high-intensity resistance exercises.高强度抗阻运动期间瓦尔萨尔瓦动作引发的腹内压和胸内压的系统评价
Biol Sport. 2019 Dec;36(4):373-386. doi: 10.5114/biolsport.2019.88759. Epub 2019 Oct 17.
7
Contributions of Lower-Body Strength Parameters to Critical Power and Anaerobic Work Capacity.下肢力量参数对临界功率和无氧工作能力的贡献。
J Strength Cond Res. 2021 Jan 1;35(1):97-101. doi: 10.1519/JSC.0000000000002555.
8
The physiological effects of slow breathing in the healthy human.健康人体中慢呼吸的生理效应。
Breathe (Sheff). 2017 Dec;13(4):298-309. doi: 10.1183/20734735.009817.
9
Recovery of the cardiac autonomic nervous and vascular system after maximal cardiopulmonary exercise testing in recreational athletes.在业余运动员进行最大心肺运动测试后,心脏自主神经系统和血管系统的恢复。
Eur J Appl Physiol. 2018 Jan;118(1):205-211. doi: 10.1007/s00421-017-3762-2. Epub 2017 Nov 15.
10
Visual Feedback Attenuates Mean Concentric Barbell Velocity Loss and Improves Motivation, Competitiveness, and Perceived Workload in Male Adolescent Athletes.视觉反馈可减轻男性青少年运动员的杠铃平均向心速度损失,并提高其积极性、竞争力和感知的工作量。
J Strength Cond Res. 2019 Sep;33(9):2420-2425. doi: 10.1519/JSC.0000000000002133.