• 文献检索
  • 文档翻译
  • 深度研究
  • 学术资讯
  • Suppr Zotero 插件Zotero 插件
  • 邀请有礼
  • 套餐&价格
  • 历史记录
应用&插件
Suppr Zotero 插件Zotero 插件浏览器插件Mac 客户端Windows 客户端微信小程序
定价
高级版会员购买积分包购买API积分包
服务
文献检索文档翻译深度研究API 文档MCP 服务
关于我们
关于 Suppr公司介绍联系我们用户协议隐私条款
关注我们

Suppr 超能文献

核心技术专利:CN118964589B侵权必究
粤ICP备2023148730 号-1Suppr @ 2026

文献检索

告别复杂PubMed语法,用中文像聊天一样搜索,搜遍4000万医学文献。AI智能推荐,让科研检索更轻松。

立即免费搜索

文件翻译

保留排版,准确专业,支持PDF/Word/PPT等文件格式,支持 12+语言互译。

免费翻译文档

深度研究

AI帮你快速写综述,25分钟生成高质量综述,智能提取关键信息,辅助科研写作。

立即免费体验

VU6008677的发现:一种结构独特的三环M型正变构调节剂,具有改善的细胞色素P450酶谱。

Discovery of VU6008677: A Structurally Distinct Tricyclic M Positive Allosteric Modulator with Improved CYP450 Profile.

作者信息

Capstick Rory A, Bollinger Sean R, Engers Julie L, Long Madeline F, Chang Sichen, Luscombe Vincent B, Rodriguez Alice L, Niswender Colleen M, Bridges Thomas M, Boutaud Olivier, Conn P Jeffrey, Engers Darren W, Lindsley Craig W, Temple Kayla J

机构信息

Warren Center for Neuroscience Drug Discovery, Vanderbilt University, Nashville, Tennessee 37232, United States.

Department of Pharmacology, Vanderbilt University School of Medicine, Nashville, Tennessee 37232, United States.

出版信息

ACS Med Chem Lett. 2024 Jul 3;15(8):1358-1366. doi: 10.1021/acsmedchemlett.4c00249. eCollection 2024 Aug 8.

DOI:10.1021/acsmedchemlett.4c00249
PMID:39140069
原文链接:https://pmc.ncbi.nlm.nih.gov/articles/PMC11318023/
Abstract

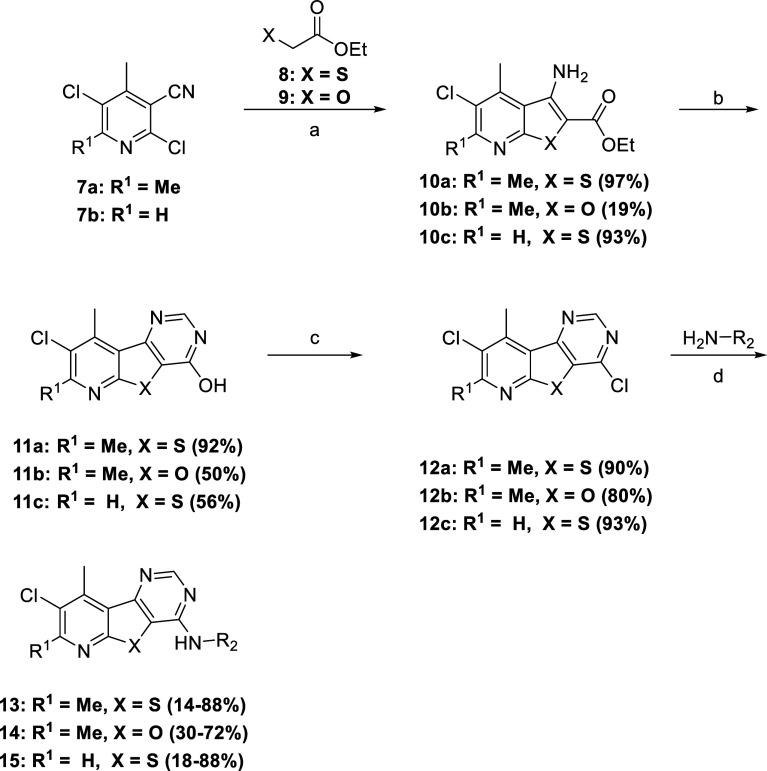
This Letter details our efforts to develop novel tricyclic muscarinic acetylcholine receptor subtype 4 (M) positive allosteric modulator (PAM) scaffolds with improved pharmacological properties. This endeavor involved a "tie-back" strategy to replace the 3-amino-5-chloro-4,6-dimethylthieno[2,3-]pyridine-2-carboxamide core, which led to the discovery of two novel tricyclic cores: an 8-chloro-9-methylpyrido[3',2':4,5]thieno[3,2-]pyrimidin-4-amine core and 8-chloro-7,9-dimethylpyrido[3',2':4,5]furo[3,2-]pyrimidin-4-amine core. Both tricyclic cores displayed low nanomolar potency against human M and greatly reduced cytochrome P450 inhibition when compared with parent compound .

摘要

本信函详细介绍了我们开发具有改善药理学特性的新型三环毒蕈碱型乙酰胆碱受体亚型4(M4)正变构调节剂(PAM)支架的工作。这一努力涉及一种“回连”策略,以取代3-氨基-5-氯-4,6-二甲基噻吩并[2,3-b]吡啶-2-甲酰胺核心,从而发现了两个新型三环核心:一个8-氯-9-甲基吡啶并[3',2':4,5]噻吩并[3,2-b]嘧啶-4-胺核心和8-氯-7,9-二甲基吡啶并[3',2':4,5]呋喃并[3,2-b]嘧啶-4-胺核心。与母体化合物相比,这两个三环核心对人M4均显示出低纳摩尔效力,并且细胞色素P450抑制作用大大降低。

https://cdn.ncbi.nlm.nih.gov/pmc/blobs/0a39/11318023/1705ec03e164/ml4c00249_0003.jpg
https://cdn.ncbi.nlm.nih.gov/pmc/blobs/0a39/11318023/7820ee5eca40/ml4c00249_0001.jpg
https://cdn.ncbi.nlm.nih.gov/pmc/blobs/0a39/11318023/02353f2750db/ml4c00249_0002.jpg
https://cdn.ncbi.nlm.nih.gov/pmc/blobs/0a39/11318023/1705ec03e164/ml4c00249_0003.jpg
https://cdn.ncbi.nlm.nih.gov/pmc/blobs/0a39/11318023/7820ee5eca40/ml4c00249_0001.jpg
https://cdn.ncbi.nlm.nih.gov/pmc/blobs/0a39/11318023/02353f2750db/ml4c00249_0002.jpg
https://cdn.ncbi.nlm.nih.gov/pmc/blobs/0a39/11318023/1705ec03e164/ml4c00249_0003.jpg

相似文献

1
Discovery of VU6008677: A Structurally Distinct Tricyclic M Positive Allosteric Modulator with Improved CYP450 Profile.VU6008677的发现:一种结构独特的三环M型正变构调节剂,具有改善的细胞色素P450酶谱。
ACS Med Chem Lett. 2024 Jul 3;15(8):1358-1366. doi: 10.1021/acsmedchemlett.4c00249. eCollection 2024 Aug 8.
2
Discovery of structurally distinct tricyclic M positive allosteric modulator (PAM) chemotypes - Part 2.结构独特的三环 M 型正变构调节剂(PAM)化学型的发现 - 第 2 部分。
Bioorg Med Chem Lett. 2021 Dec 1;53:128416. doi: 10.1016/j.bmcl.2021.128416. Epub 2021 Oct 26.
3
Discovery of VU6016235: A Highly Selective, Orally Bioavailable, and Structurally Distinct Tricyclic M Muscarinic Acetylcholine Receptor Positive Allosteric Modulator (PAM).VU6016235的发现:一种高选择性、口服生物可利用且结构独特的三环M型毒蕈碱乙酰胆碱受体正变构调节剂(PAM)。
ACS Chem Neurosci. 2024 Sep 24;15(20):3744-54. doi: 10.1021/acschemneuro.4c00465.
4
Discovery of structurally distinct tricyclic M positive allosteric modulator (PAM) chemotypes.发现结构独特的三环 M 型正变构调节剂(PAM)化合物类型。
Bioorg Med Chem Lett. 2020 Feb 15;30(4):126811. doi: 10.1016/j.bmcl.2019.126811. Epub 2019 Nov 11.
5
Discovery of a novel 2,4-dimethylquinoline-6-carboxamide M positive allosteric modulator (PAM) chemotype via scaffold hopping.通过骨架跃迁发现一种新型2,4-二甲基喹啉-6-甲酰胺M正变构调节剂(PAM)化学类型。
Bioorg Med Chem Lett. 2017 Nov 15;27(22):4999-5001. doi: 10.1016/j.bmcl.2017.10.016. Epub 2017 Oct 9.
6
SAR inspired by aldehyde oxidase (AO) metabolism: Discovery of novel, CNS penetrant tricyclic M PAMs.基于醛氧化酶(AO)代谢的 SAR 研究:新型中枢神经系统穿透性三环 M PAMs 的发现。
Bioorg Med Chem Lett. 2019 Aug 15;29(16):2224-2228. doi: 10.1016/j.bmcl.2019.06.032. Epub 2019 Jun 20.
7
Discovery of a novel 2,3-dimethylimidazo[1,2-a]pyrazine-6-carboxamide M positive allosteric modulator (PAM) chemotype.发现一种新型 2,3-二甲基咪唑并[1,2-a]吡嗪-6-甲酰胺 M 正变构调节剂(PAM)化学型。
Bioorg Med Chem Lett. 2020 Feb 1;30(3):126812. doi: 10.1016/j.bmcl.2019.126812. Epub 2019 Nov 13.
8
Development of a radioligand, [(3)H]LY2119620, to probe the human M(2) and M(4) muscarinic receptor allosteric binding sites.开发一种放射性配体 [(3)H]LY2119620,以探测人源 M(2)和 M(4)毒蕈碱型乙酰胆碱受体变构结合位点。
Mol Pharmacol. 2014 Jul;86(1):116-23. doi: 10.1124/mol.114.091785. Epub 2014 May 7.
9
Discovery of a novel 3,4-dimethylcinnoline carboxamide M positive allosteric modulator (PAM) chemotype via scaffold hopping.通过骨架跃迁发现一种新型3,4-二甲基喹喔啉甲酰胺M正变构调节剂(PAM)化学类型。
Bioorg Med Chem Lett. 2019 Nov 1;29(21):126678. doi: 10.1016/j.bmcl.2019.126678. Epub 2019 Sep 10.
10
Discovery and optimization of a novel series of highly CNS penetrant M4 PAMs based on a 5,6-dimethyl-4-(piperidin-1-yl)thieno[2,3-d]pyrimidine core.基于5,6-二甲基-4-(哌啶-1-基)噻吩并[2,3-d]嘧啶核心的新型系列高中枢神经系统渗透性M4型正变构调节剂的发现与优化
Bioorg Med Chem Lett. 2016 Jul 1;26(13):3029-3033. doi: 10.1016/j.bmcl.2016.05.010. Epub 2016 May 5.

引用本文的文献

1
Discovery of Pre-Clinical Candidate /: A Highly Selective, Orally Bioavailable, and Structurally Distinct Tricyclic M Muscarinic Acetylcholine Receptor Positive Allosteric Modulator (PAM) with Robust In Vivo Efficacy.临床前候选药物的发现:一种高选择性、口服生物可利用且结构独特的三环M型毒蕈碱乙酰胆碱受体正向变构调节剂(PAM),具有强大的体内疗效。
ACS Chem Neurosci. 2025 Jun 4;16(11):2141-2162. doi: 10.1021/acschemneuro.5c00277. Epub 2025 May 26.
2
Discovery of VU6016235: A Highly Selective, Orally Bioavailable, and Structurally Distinct Tricyclic M Muscarinic Acetylcholine Receptor Positive Allosteric Modulator (PAM).VU6016235的发现:一种高选择性、口服生物可利用且结构独特的三环M型毒蕈碱乙酰胆碱受体正变构调节剂(PAM)。
ACS Chem Neurosci. 2024 Sep 24;15(20):3744-54. doi: 10.1021/acschemneuro.4c00465.

本文引用的文献

1
Discovery of structurally distinct tricyclic M positive allosteric modulator (PAM) chemotypes - Part 2.结构独特的三环 M 型正变构调节剂(PAM)化学型的发现 - 第 2 部分。
Bioorg Med Chem Lett. 2021 Dec 1;53:128416. doi: 10.1016/j.bmcl.2021.128416. Epub 2021 Oct 26.
2
Muscarinic Cholinergic Receptor Agonist and Peripheral Antagonist for Schizophrenia.精神分裂症的毒蕈碱型乙酰胆碱受体激动剂和外周拮抗剂。
N Engl J Med. 2021 Feb 25;384(8):717-726. doi: 10.1056/NEJMoa2017015.
3
Discovery of structurally distinct tricyclic M positive allosteric modulator (PAM) chemotypes.
发现结构独特的三环 M 型正变构调节剂(PAM)化合物类型。
Bioorg Med Chem Lett. 2020 Feb 15;30(4):126811. doi: 10.1016/j.bmcl.2019.126811. Epub 2019 Nov 11.
4
Discovery of a novel 2,3-dimethylimidazo[1,2-a]pyrazine-6-carboxamide M positive allosteric modulator (PAM) chemotype.发现一种新型 2,3-二甲基咪唑并[1,2-a]吡嗪-6-甲酰胺 M 正变构调节剂(PAM)化学型。
Bioorg Med Chem Lett. 2020 Feb 1;30(3):126812. doi: 10.1016/j.bmcl.2019.126812. Epub 2019 Nov 13.
5
Discovery of a novel 3,4-dimethylcinnoline carboxamide M positive allosteric modulator (PAM) chemotype via scaffold hopping.通过骨架跃迁发现一种新型3,4-二甲基喹喔啉甲酰胺M正变构调节剂(PAM)化学类型。
Bioorg Med Chem Lett. 2019 Nov 1;29(21):126678. doi: 10.1016/j.bmcl.2019.126678. Epub 2019 Sep 10.
6
Discovery, Optimization, and Biological Characterization of 2,3,6-Trisubstituted Pyridine-Containing M Positive Allosteric Modulators.发现、优化及 2,3,6-三取代吡啶含 M 正变构调节剂的生物学特征。
ChemMedChem. 2019 May 6;14(9):943-951. doi: 10.1002/cmdc.201900088. Epub 2019 Mar 28.
7
Discovery of a novel 2,4-dimethylquinoline-6-carboxamide M positive allosteric modulator (PAM) chemotype via scaffold hopping.通过骨架跃迁发现一种新型2,4-二甲基喹啉-6-甲酰胺M正变构调节剂(PAM)化学类型。
Bioorg Med Chem Lett. 2017 Nov 15;27(22):4999-5001. doi: 10.1016/j.bmcl.2017.10.016. Epub 2017 Oct 9.
8
Challenges in the development of an M PAM preclinical candidate: The discovery, SAR, and in vivo characterization of a series of 3-aminoazetidine-derived amides.MPAM临床前候选药物开发中的挑战:一系列3-氨基氮杂环丁烷衍生酰胺的发现、构效关系及体内特性研究
Bioorg Med Chem Lett. 2017 Jul 1;27(13):2990-2995. doi: 10.1016/j.bmcl.2017.05.014. Epub 2017 May 6.
9
Optimization of M positive allosteric modulators (PAMs): The discovery of VU0476406, a non-human primate in vivo tool compound for translational pharmacology.M 阳性变构调节剂(PAMs)的优化:VU0476406 的发现,一种用于转化药理学的非人灵长类动物体内工具化合物。
Bioorg Med Chem Lett. 2017 Jun 1;27(11):2296-2301. doi: 10.1016/j.bmcl.2017.04.043. Epub 2017 Apr 13.
10
Discovery of VU0467485/AZ13713945: An M PAM Evaluated as a Preclinical Candidate for the Treatment of Schizophrenia.VU0467485/AZ13713945的发现:一种被评估为治疗精神分裂症临床前候选药物的代谢型谷氨酸受体正向变构调节剂
ACS Med Chem Lett. 2016 Dec 16;8(2):233-238. doi: 10.1021/acsmedchemlett.6b00461. eCollection 2017 Feb 9.