Suppr超能文献

IGF1 在儿童和青少年生长激素缺乏症及特发性身材矮小症患者的身体成分决定中的作用。

The role of IGF1 in determining body composition in children and adolescents with growth hormone deficiency and those with idiopathic short stature.

机构信息

The Institute of Pediatric Endocrinology, Diabetes and Metabolism, Dana-Dwek Children's Hospital, Tel Aviv Sourasky Medical Center, Tel Aviv, Israel.

Faculty of Medicine, Tel Aviv University, Tel Aviv, Israel.

出版信息

Endocrine. 2024 Dec;86(3):1110-1120. doi: 10.1007/s12020-024-03992-0. Epub 2024 Aug 14.

Abstract

PURPOSE

Treatment with recombinant human growth hormone (rhGH) increases insulin growth factor-1 (IGF1) levels, therefore, monitoring both IGF1 and growth constitutes an acceptable parameter of therapeutic safety and efficacy. We aimed to investigate the relationship between IGF1 level and body composition in children and adolescents undergoing rhGH therapy for growth hormone deficiency (GHD) and idiopathic short stature (ISS).

METHODS

This observational retrospective study included the bioimpedance analysis (BIA) reports (n = 305) of 135 pediatric patients (age 5-18 years), 64 with GHD and 71 with ISS, conducted as part of routine clinic visits. Sociodemographic and clinical data were extracted from medical records. Generalized estimating equations linear models were used to explore the contributing factors for body composition components of fat percentage (FATP), appendicular skeletal muscle mass (ASMM) z-score, and muscle-to-fat ratio (MFR) z-score while adjusting for cumulative doses of rhGH.

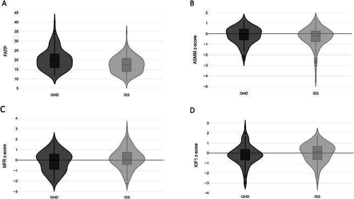
RESULTS

Subjects with GHD exhibited higher body mass index z-scores (p < 0.001), higher FATP and truncal FATP scores, lower MFR z-score, and higher diastolic blood pressure percentiles than the ISS group (p = 0.010, p = 0.027, p = 0.050, and p = 0.050, respectively). Female sex (p < 0.001) and a GHD diagnosis (p < 0.001), were major contributors to higher FATP scores; female sex (p = 0.049) and ISS diagnosis (p = 0.005) were major contributors to higher MFR z-scores; and female sex (p < 0.001), older age (p < 0.001) and higher insulin-like growth factor 1 z-scores (p = 0.021) were major contributors to higher ASMM z-scores. Socioeconomic position and cumulative rhGH dose were not significant contributors to body composition parameters.

CONCLUSION

Children with GHD, including those undergoing rhGH treatment, may be at risk for increased adiposity and associated metabolic implications. Sex- and age-adjusted IGF1 levels were related to muscle mass but not to adiposity. Hence, rhGH treatment aimed at increasing IGF1 levels may alleviate these effects by promoting muscle growth.

摘要

目的

重组人生长激素(rhGH)治疗会增加胰岛素样生长因子 1(IGF1)水平,因此,监测 IGF1 和生长情况是治疗安全性和疗效的可接受参数。我们旨在研究生长激素缺乏症(GHD)和特发性身材矮小(ISS)接受 rhGH 治疗的儿童和青少年中 IGF1 水平与身体成分之间的关系。

方法

这是一项观察性回顾性研究,纳入了 135 名儿科患者(年龄 5-18 岁)的生物电阻抗分析(BIA)报告(n=305),其中 64 名 GHD 患者和 71 名 ISS 患者,这些报告是在常规就诊时进行的。从病历中提取社会人口统计学和临床数据。使用广义估计方程线性模型,在调整 rhGH 累积剂量后,探索身体成分成分脂肪百分比(FATP)、四肢骨骼肌质量(ASMM)z 评分和肌肉与脂肪比(MFR)z 评分的影响因素。

结果

与 ISS 组相比,GHD 组的体质指数 z 评分更高(p<0.001),脂肪百分比和躯干脂肪百分比评分更高,MFR z 评分更低,舒张压百分位数更高(p=0.010、p=0.027、p=0.050 和 p=0.050,分别)。女性(p<0.001)和 GHD 诊断(p<0.001)是 FATP 评分较高的主要因素;女性(p=0.049)和 ISS 诊断(p=0.005)是 MFR z 评分较高的主要因素;女性(p<0.001)、年龄较大(p<0.001)和 IGF1 z 评分较高(p=0.021)是 ASMM z 评分较高的主要因素。社会经济地位和 rhGH 累积剂量不是身体成分参数的显著因素。

结论

包括接受 rhGH 治疗的 GHD 儿童在内,可能存在肥胖风险增加和相关代谢影响。性别和年龄调整后的 IGF1 水平与肌肉质量有关,但与脂肪量无关。因此,rhGH 治疗旨在增加 IGF1 水平,可能通过促进肌肉生长来缓解这些影响。

https://cdn.ncbi.nlm.nih.gov/pmc/blobs/a571/11554836/b787c136b8a4/12020_2024_3992_Fig1_HTML.jpg

文献检索

告别复杂PubMed语法,用中文像聊天一样搜索,搜遍4000万医学文献。AI智能推荐,让科研检索更轻松。

立即免费搜索

文件翻译

保留排版,准确专业,支持PDF/Word/PPT等文件格式,支持 12+语言互译。

免费翻译文档

深度研究

AI帮你快速写综述,25分钟生成高质量综述,智能提取关键信息,辅助科研写作。

立即免费体验