Suppr超能文献

基于计算机断层扫描(CT)的骨骼肌与椎体相关指数用于评估非小细胞肺癌患者的低肌肉量。

Computed tomography (CT)-based skeletal muscle vertebral-related index to assess low muscle mass in patients with non-small cell lung cancer.

作者信息

Huang Yilong, Yuan Feng, Yang Lei, Guo Honglei, Jiang Yuanming, Cun Hanxue, Mou Zhanglin, Chen Jiaxin, Li Chunli, Zhang Zhenguang, He Bo

机构信息

Department of Medical Imaging, the First Affiliated Hospital of Kunming Medical University, Kunming, China.

出版信息

Quant Imaging Med Surg. 2024 Aug 1;14(8):5737-5747. doi: 10.21037/qims-24-120. Epub 2024 Jul 11.

Abstract

BACKGROUND

Patients with lung cancer accompanied by sarcopenia may have a poor prognosis. Normally, low muscle mass associated with sarcopenia is assessed using the skeletal muscle index (SMI). It remains unclear whether the standardized skeletal muscle area (SMA) using 2-dimensional (2D) vertebral metrics (called the skeletal muscle vertebral related index, SMVI) could substitute for SMI when it is missing. The aim of this study was to investigate the feasibility of SMVI as an alternative to SMI, and their associations with overall survival (OS) in patients with non-small cell lung cancer (NSCLC).

METHODS

In this single-center study, a retrospective analysis was conducted on 433 NSCLC patients who underwent computed tomography (CT) scans. At the third lumbar vertebra (L3) level, measurements were taken for SMA, vertebral body area, transverse vertebral diameter (TVD), longitudinal vertebral diameter (LVD), and vertebral height (VH). The 4 SMVIs were skeletal muscle vertebral ratio (SMVR) (SMA/vertebral body area), skeletal muscle transverse vertebral diameter index (SMTVDI) (SMA/TVD2), skeletal muscle longitudinal vertebral diameter index (SMLVDI) (SMA/LVD2), and skeletal muscle vertebral height index (SMVHI) (SMA/VH2). The patients were categorized into low and high muscle mass groups based on SMI, and the differences in SMVIs between the 2 groups were compared to assess their correlation with SMI. Receiver operating characteristic (ROC) curves and the area under the curve (AUC) were utilized to assess the discriminatory ability. Kaplan-Meier curves were employed to compare the survival disparity between the 2 groups.

RESULTS

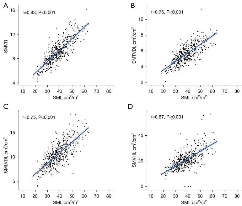
We included 191 male and 242 female patients in this study. Compared to the high muscle mass group, patients in the low muscle mass group exhibited significantly lower SMVR, SMTVDI, SMLVDI, and SMVHI (all P<0.05). All 4 SMVIs showed a positive correlation with SMI, with Spearman correlation coefficients of 0.83, 0.76, 0.75, and 0.67, respectively (all P<0.001). The AUC for diagnosing low muscle mass was higher than 0.8 for all 4 SMVI parameters. The Kaplan-Meier curve revealed that the low-risk group had a better survival probability than the high-risk group in the SMVR, SMTVDI, and SMLVDI.

CONCLUSIONS

The SMVI functions as an alternative metric for evaluating skeletal muscle mass in the assessment of NSCLC based on SMI.

摘要

背景

伴有肌肉减少症的肺癌患者预后可能较差。通常,使用骨骼肌指数(SMI)评估与肌肉减少症相关的低肌肉量。目前尚不清楚当SMI缺失时,使用二维(2D)椎体测量指标的标准化骨骼肌面积(SMA)(称为骨骼肌椎体相关指数,SMVI)是否可以替代SMI。本研究的目的是探讨SMVI替代SMI的可行性,以及它们与非小细胞肺癌(NSCLC)患者总生存期(OS)的相关性。

方法

在这项单中心研究中,对433例接受计算机断层扫描(CT)的NSCLC患者进行了回顾性分析。在第三腰椎(L3)水平,测量SMA、椎体面积、椎体横径(TVD)、椎体纵径(LVD)和椎体高度(VH)。4个SMVI分别为骨骼肌椎体比值(SMVR)(SMA/椎体面积)、骨骼肌椎体横径指数(SMTVDI)(SMA/TVD2)、骨骼肌椎体纵径指数(SMLVDI)(SMA/LVD2)和骨骼肌椎体高度指数(SMVHI)(SMA/VH2)。根据SMI将患者分为低肌肉量组和高肌肉量组,比较两组间SMVI的差异,以评估它们与SMI的相关性。采用受试者工作特征(ROC)曲线和曲线下面积(AUC)评估其鉴别能力。采用Kaplan-Meier曲线比较两组间的生存差异。

结果

本研究纳入191例男性和242例女性患者。与高肌肉量组相比,低肌肉量组患者的SMVR、SMTVDI、SMLVDI和SMVHI显著降低(均P<0.05)。所有4个SMVI均与SMI呈正相关,Spearman相关系数分别为0.83、0.76、0.75和0.67(均P<0.001)。所有4个SMVI参数诊断低肌肉量的AUC均高于0.8。Kaplan-Meier曲线显示,在SMVR、SMTVDI和SMLVDI方面,低风险组的生存概率优于高风险组。

结论

在基于SMI评估NSCLC时,SMVI可作为评估骨骼肌量的替代指标。

https://cdn.ncbi.nlm.nih.gov/pmc/blobs/f090/11320558/764978daa8ef/qims-14-08-5737-f1.jpg

文献AI研究员

20分钟写一篇综述,助力文献阅读效率提升50倍。

立即体验

用中文搜PubMed

大模型驱动的PubMed中文搜索引擎

马上搜索

文档翻译

学术文献翻译模型,支持多种主流文档格式。

立即体验