• 文献检索
  • 文档翻译
  • 深度研究
  • 学术资讯
  • Suppr Zotero 插件Zotero 插件
  • 邀请有礼
  • 套餐&价格
  • 历史记录
应用&插件
Suppr Zotero 插件Zotero 插件浏览器插件Mac 客户端Windows 客户端微信小程序
定价
高级版会员购买积分包购买API积分包
服务
文献检索文档翻译深度研究API 文档MCP 服务
关于我们
关于 Suppr公司介绍联系我们用户协议隐私条款
关注我们

Suppr 超能文献

核心技术专利:CN118964589B侵权必究
粤ICP备2023148730 号-1Suppr @ 2026

文献检索

告别复杂PubMed语法,用中文像聊天一样搜索,搜遍4000万医学文献。AI智能推荐,让科研检索更轻松。

立即免费搜索

文件翻译

保留排版,准确专业,支持PDF/Word/PPT等文件格式,支持 12+语言互译。

免费翻译文档

深度研究

AI帮你快速写综述,25分钟生成高质量综述,智能提取关键信息,辅助科研写作。

立即免费体验

作为ADAMTS7抑制剂的芳基磺酰胺的设计、合成及生物学评价

Design, synthesis and biological evaluation of arylsulfonamides as ADAMTS7 inhibitors.

作者信息

Cuffaro Doretta, Burkhard Tina, Bernardoni Bianca Laura, Di Leo Riccardo, Zhang Xiaohan, Galati Salvatore, Tuccinardi Tiziano, Macchia Marco, Rossello Armando, Santamaria Salvatore, de Groot Rens, Nuti Elisa

机构信息

Department of Pharmacy, University of Pisa Via Bonanno 6 56126 Pisa Italy

Department of Biochemical and Physiological Sciences, School of Biosciences, Faculty of Health and Medical Sciences, University of Surrey Edward Jenner Building Guildford GU2 7XH UK

出版信息

RSC Med Chem. 2024 Jun 19;15(8):2806-2825. doi: 10.1039/d4md00149d. eCollection 2024 Aug 14.

DOI:10.1039/d4md00149d
PMID:39149096
原文链接:https://pmc.ncbi.nlm.nih.gov/articles/PMC11324053/
Abstract

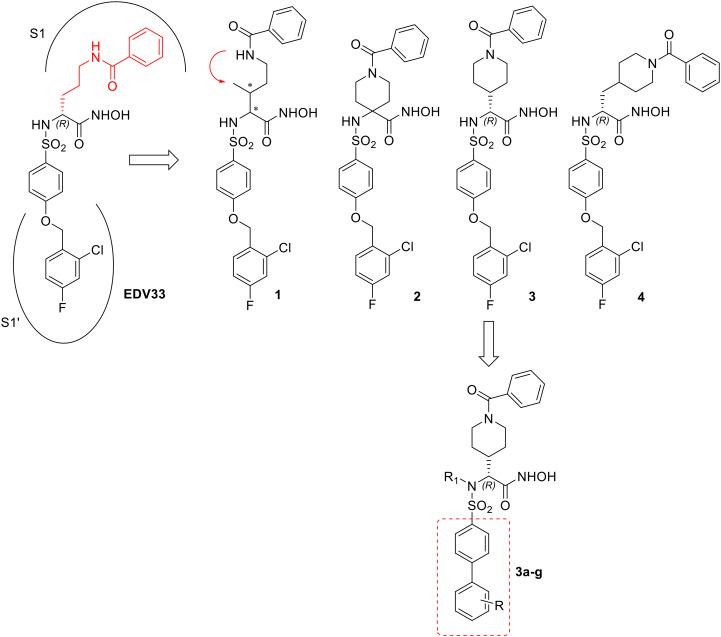
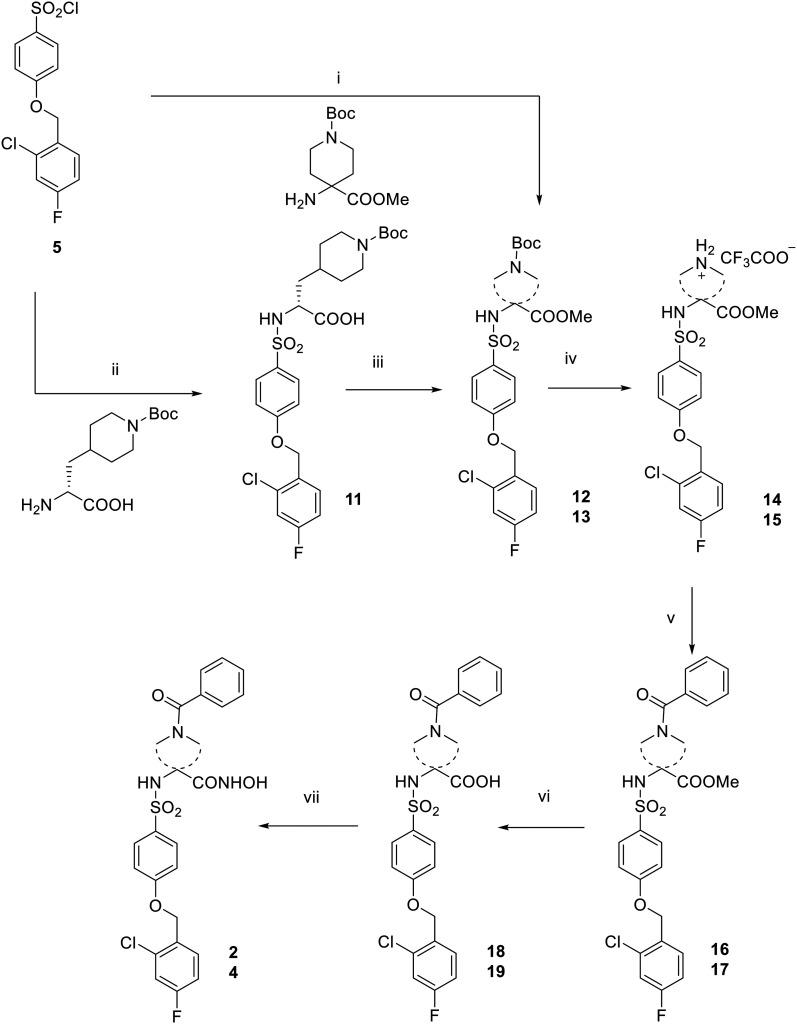
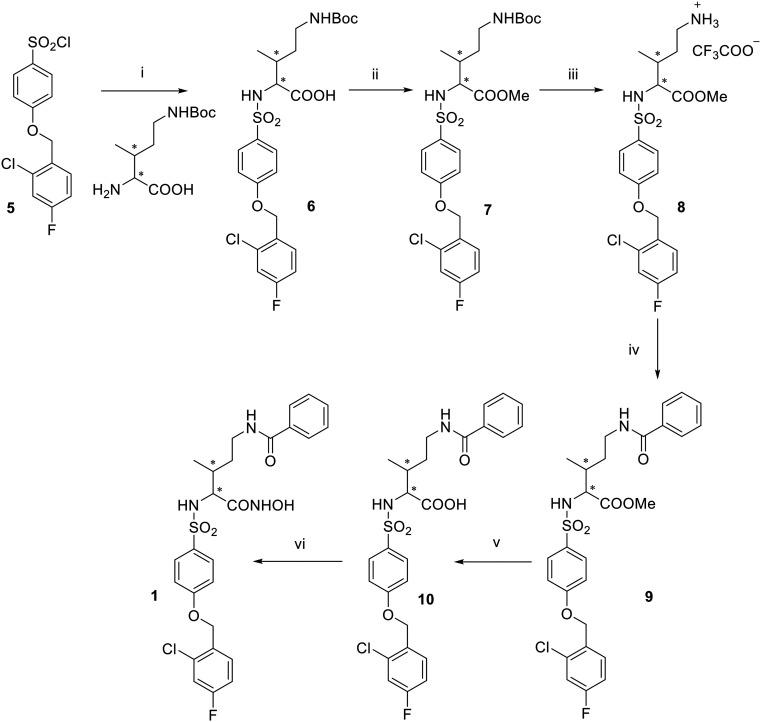
The proteolytic activity of the enzyme ADAMTS7 was recently shown to enhance the progression of atherosclerosis, in line with human genetic findings suggesting that ADAMTS7 has a role in the pathophysiology of coronary heart disease. Targeting the active site of ADAMTS7 with a small molecule inhibitor, therefore, has therapeutic potential. Here, we report the design and synthesis of a novel hydroxamate-based arylsulfonamide that is a potent and selective ADAMTS7 inhibitor. studies guided the hit optimization process aiming to improve selectivity of the previously reported (non-selective) inhibitor EDV33. Our lead compound is a -trifluoromethyl biphenyl sulfonamide, which displayed a 12-fold selectivity for ADAMTS7 ( = 9 nM) over ADAMTS5 ( = 110 nM) and an 8-fold increase in inhibition of ADAMTS7 compared to EDV33 ( = 70 nM). The substitutions switched selectivity and produced a new potent ADAMTS7 inhibitor that can be taken forward for further characterisation.

摘要

最近研究表明,酶ADAMTS7的蛋白水解活性会促进动脉粥样硬化的发展,这与人类遗传学研究结果一致,表明ADAMTS7在冠心病的病理生理学中起作用。因此,用小分子抑制剂靶向ADAMTS7的活性位点具有治疗潜力。在此,我们报告了一种新型异羟肟酸基芳基磺酰胺的设计与合成,该化合物是一种强效且选择性的ADAMTS7抑制剂。研究指导了命中优化过程,旨在提高先前报道的(非选择性)抑制剂EDV33的选择性。我们的先导化合物是一种α-三氟甲基联苯磺酰胺,它对ADAMTS7(IC50 = 9 nM)的选择性是对ADAMTS5(IC50 = 110 nM)的12倍,与EDV33(IC50 = 70 nM)相比,对ADAMTS7的抑制作用增加了8倍。这些取代改变了选择性,产生了一种新的强效ADAMTS7抑制剂,可进一步进行表征。

https://cdn.ncbi.nlm.nih.gov/pmc/blobs/4c96/11324053/3404e17a56d5/d4md00149d-f3.jpg
https://cdn.ncbi.nlm.nih.gov/pmc/blobs/4c96/11324053/6a8fda37edec/d4md00149d-f1.jpg
https://cdn.ncbi.nlm.nih.gov/pmc/blobs/4c96/11324053/0b40c8bcb805/d4md00149d-s1.jpg
https://cdn.ncbi.nlm.nih.gov/pmc/blobs/4c96/11324053/a66fc3585ca8/d4md00149d-s2.jpg
https://cdn.ncbi.nlm.nih.gov/pmc/blobs/4c96/11324053/6238dca4ac06/d4md00149d-s3.jpg
https://cdn.ncbi.nlm.nih.gov/pmc/blobs/4c96/11324053/f4f8672188f2/d4md00149d-s4.jpg
https://cdn.ncbi.nlm.nih.gov/pmc/blobs/4c96/11324053/edf0a5f9e5c4/d4md00149d-f2.jpg
https://cdn.ncbi.nlm.nih.gov/pmc/blobs/4c96/11324053/3404e17a56d5/d4md00149d-f3.jpg
https://cdn.ncbi.nlm.nih.gov/pmc/blobs/4c96/11324053/6a8fda37edec/d4md00149d-f1.jpg
https://cdn.ncbi.nlm.nih.gov/pmc/blobs/4c96/11324053/0b40c8bcb805/d4md00149d-s1.jpg
https://cdn.ncbi.nlm.nih.gov/pmc/blobs/4c96/11324053/a66fc3585ca8/d4md00149d-s2.jpg
https://cdn.ncbi.nlm.nih.gov/pmc/blobs/4c96/11324053/6238dca4ac06/d4md00149d-s3.jpg
https://cdn.ncbi.nlm.nih.gov/pmc/blobs/4c96/11324053/f4f8672188f2/d4md00149d-s4.jpg
https://cdn.ncbi.nlm.nih.gov/pmc/blobs/4c96/11324053/edf0a5f9e5c4/d4md00149d-f2.jpg
https://cdn.ncbi.nlm.nih.gov/pmc/blobs/4c96/11324053/3404e17a56d5/d4md00149d-f3.jpg

相似文献

1
Design, synthesis and biological evaluation of arylsulfonamides as ADAMTS7 inhibitors.作为ADAMTS7抑制剂的芳基磺酰胺的设计、合成及生物学评价
RSC Med Chem. 2024 Jun 19;15(8):2806-2825. doi: 10.1039/d4md00149d. eCollection 2024 Aug 14.
2
BAY-9835: Discovery of the First Orally Bioavailable ADAMTS7 Inhibitor.BAY-9835:首个口服生物可利用的 ADAMTS7 抑制剂的发现。
J Med Chem. 2024 Feb 22;67(4):2907-2940. doi: 10.1021/acs.jmedchem.3c02036. Epub 2024 Feb 13.
3
Classification of ADAMTS binding sites: The first step toward selective ADAMTS7 inhibitors.ADAMTS 结合位点的分类:迈向选择性 ADAMTS7 抑制剂的第一步。
Biochem Biophys Res Commun. 2016 Mar 11;471(3):380-5. doi: 10.1016/j.bbrc.2016.02.025. Epub 2016 Feb 10.
4
Knockout of Adamts7, a novel coronary artery disease locus in humans, reduces atherosclerosis in mice.敲除人类新型冠心病相关基因座Adamts7可减轻小鼠动脉粥样硬化。
Circulation. 2015 Mar 31;131(13):1202-1213. doi: 10.1161/CIRCULATIONAHA.114.012669. Epub 2015 Feb 20.
5
ADAMTS7: a Novel Therapeutic Target in Atherosclerosis.ADAMTS7:动脉粥样硬化的新治疗靶点。
Curr Atheroscler Rep. 2023 Aug;25(8):447-455. doi: 10.1007/s11883-023-01115-0. Epub 2023 Jun 24.
6
Genetic Variation at the Locus is Associated With Reduced Severity of Coronary Artery Disease.该位点的遗传变异与冠状动脉疾病严重程度降低有关。
J Am Heart Assoc. 2017 Oct 31;6(11):e006928. doi: 10.1161/JAHA.117.006928.
7
Association of ADAMTS7 gene polymorphism with cardiovascular survival in coronary artery disease.ADAMTS7基因多态性与冠心病心血管生存的关联
Physiol Genomics. 2016 Nov 1;48(11):810-815. doi: 10.1152/physiolgenomics.00059.2016. Epub 2016 Sep 9.
8
ADAMTS-7 Modulates Atherosclerotic Plaque Formation by Degradation of TIMP-1.ADAMTS-7 通过降解 TIMP-1 调节动脉粥样硬化斑块的形成。
Circ Res. 2023 Sep 29;133(8):674-686. doi: 10.1161/CIRCRESAHA.123.322737. Epub 2023 Sep 7.
9
Biochemistry and physiological functions of ADAMTS7 metalloprotease.ADAMTS7金属蛋白酶的生物化学与生理功能
Adv Biochem. 2013;1(3). doi: 10.11648/j.ab.20130103.11.
10
Effect of a coronary-heart-disease-associated variant of ADAMTS7 on endothelial cell angiogenesis.载脂蛋白相关蛋白 7 基因的一个与冠心病相关的变异对血管内皮细胞血管生成的影响。
Atherosclerosis. 2020 Mar;296:11-17. doi: 10.1016/j.atherosclerosis.2020.01.015. Epub 2020 Jan 21.

引用本文的文献

1
A scaffold repositioning approach: dihydroBenzoImidazoTriazineDione (BITD) derivatives as selective ALDH1A1 inhibitors.一种支架重新定位方法:二氢苯并咪唑三嗪二酮(BITD)衍生物作为选择性醛脱氢酶1A1(ALDH1A1)抑制剂。
Mol Divers. 2025 Apr 4. doi: 10.1007/s11030-025-11179-6.

本文引用的文献

1
BAY-9835: Discovery of the First Orally Bioavailable ADAMTS7 Inhibitor.BAY-9835:首个口服生物可利用的 ADAMTS7 抑制剂的发现。
J Med Chem. 2024 Feb 22;67(4):2907-2940. doi: 10.1021/acs.jmedchem.3c02036. Epub 2024 Feb 13.
2
VenomPred 2.0: A Novel Platform for an Extended and Human Interpretable Toxicological Profiling of Small Molecules.毒液预测 2.0:一种新型平台,用于对小分子进行扩展和人类可解释的毒理学分析。
J Chem Inf Model. 2024 Apr 8;64(7):2275-2289. doi: 10.1021/acs.jcim.3c00692. Epub 2023 Sep 7.
3
ADAMTS-7 Modulates Atherosclerotic Plaque Formation by Degradation of TIMP-1.
ADAMTS-7 通过降解 TIMP-1 调节动脉粥样硬化斑块的形成。
Circ Res. 2023 Sep 29;133(8):674-686. doi: 10.1161/CIRCRESAHA.123.322737. Epub 2023 Sep 7.
4
MolBook UNIPI─Create, Manage, Analyze, and Share Your Chemical Data for Free.莫尔本 UNIPI─免费创建、管理、分析和共享您的化学数据。
J Chem Inf Model. 2023 Jul 10;63(13):3977-3982. doi: 10.1021/acs.jcim.3c00278. Epub 2023 Jun 26.
5
ADAMTS7: a Novel Therapeutic Target in Atherosclerosis.ADAMTS7:动脉粥样硬化的新治疗靶点。
Curr Atheroscler Rep. 2023 Aug;25(8):447-455. doi: 10.1007/s11883-023-01115-0. Epub 2023 Jun 24.
6
The C-terminal domains of ADAMTS1 contain exosites involved in its proteoglycanase activity.ADAMTS1 的 C 端结构域包含参与蛋白聚糖酶活性的外显子。
J Biol Chem. 2023 Apr;299(4):103048. doi: 10.1016/j.jbc.2023.103048. Epub 2023 Feb 21.
7
Targeting Aggrecanases for Osteoarthritis Therapy: From Zinc Chelation to Exosite Inhibition.靶向聚集素酶治疗骨关节炎:从锌螯合到外位点抑制。
J Med Chem. 2022 Oct 27;65(20):13505-13532. doi: 10.1021/acs.jmedchem.2c01177. Epub 2022 Oct 17.
8
ADAMTS Proteins and Vascular Remodeling in Aortic Aneurysms.ADAMTS 蛋白与主动脉瘤中的血管重构。
Biomolecules. 2021 Dec 22;12(1):12. doi: 10.3390/biom12010012.
9
The Role of ADAMTS-4 in Atherosclerosis and Vessel Wall Abnormalities.ADAMTS-4在动脉粥样硬化和血管壁异常中的作用。
J Vasc Res. 2022;59(2):69-77. doi: 10.1159/000521498. Epub 2022 Jan 20.
10
Development of a fluorogenic ADAMTS-7 substrate.ADAMTS-7 荧光底物的研制。
J Enzyme Inhib Med Chem. 2021 Dec;36(1):2160-2169. doi: 10.1080/14756366.2021.1983808.