• 文献检索
  • 文档翻译
  • 深度研究
  • 学术资讯
  • Suppr Zotero 插件Zotero 插件
  • 邀请有礼
  • 套餐&价格
  • 历史记录
应用&插件
Suppr Zotero 插件Zotero 插件浏览器插件Mac 客户端Windows 客户端微信小程序
定价
高级版会员购买积分包购买API积分包
服务
文献检索文档翻译深度研究API 文档MCP 服务
关于我们
关于 Suppr公司介绍联系我们用户协议隐私条款
关注我们

Suppr 超能文献

核心技术专利:CN118964589B侵权必究
粤ICP备2023148730 号-1Suppr @ 2026

文献检索

告别复杂PubMed语法,用中文像聊天一样搜索,搜遍4000万医学文献。AI智能推荐,让科研检索更轻松。

立即免费搜索

文件翻译

保留排版,准确专业,支持PDF/Word/PPT等文件格式,支持 12+语言互译。

免费翻译文档

深度研究

AI帮你快速写综述,25分钟生成高质量综述,智能提取关键信息,辅助科研写作。

立即免费体验

利用 ARTIC 协议提高亚基因组 RNA 预测。

Improved sub-genomic RNA prediction with the ARTIC protocol.

机构信息

Univ. Lille, CNRS, Centrale Lille, UMR 9189 CRIStAL, F-59000 Lille, France.

Department of Mathematics, Science for Life Laboratory, Stockholm University, 106 91 Stockholm, Sweden.

出版信息

Nucleic Acids Res. 2024 Sep 23;52(17):e82. doi: 10.1093/nar/gkae687.

DOI:10.1093/nar/gkae687
PMID:39149898
原文链接:https://pmc.ncbi.nlm.nih.gov/articles/PMC11417393/
Abstract

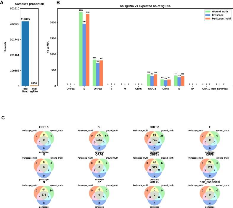
Viral subgenomic RNA (sgRNA) plays a major role in SARS-COV2's replication, pathogenicity, and evolution. Recent sequencing protocols, such as the ARTIC protocol, have been established. However, due to the viral-specific biological processes, analyzing sgRNA through viral-specific read sequencing data is a computational challenge. Current methods rely on computational tools designed for eukaryote genomes, resulting in a gap in the tools designed specifically for sgRNA detection. To address this, we make two contributions. Firstly, we present sgENERATE, an evaluation pipeline to study the accuracy and efficacy of sgRNA detection tools using the popular ARTIC sequencing protocol. Using sgENERATE, we evaluate periscope, a recently introduced tool that detects sgRNA from ARTIC sequencing data. We find that periscope has biased predictions and high computational costs. Secondly, using the information produced from sgENERATE, we redesign the algorithm in periscope to use multiple references from canonical sgRNAs to mitigate alignment issues and improve sgRNA and non-canonical sgRNA detection. We evaluate periscope and our algorithm, periscope_multi, on simulated and biological sequencing datasets and demonstrate periscope_multi's enhanced sgRNA detection accuracy. Our contribution advances tools for studying viral sgRNA, paving the way for more accurate and efficient analyses in the context of viral RNA discovery.

摘要

病毒亚基因组 RNA(sgRNA)在 SARS-COV2 的复制、致病性和进化中起着重要作用。最近已经建立了一些测序方案,如 ARTIC 协议。然而,由于病毒的特殊生物学过程,通过病毒特异性的读测序数据来分析 sgRNA 是一个计算上的挑战。目前的方法依赖于为真核生物基因组设计的计算工具,这导致了针对 sgRNA 检测的工具存在差距。为了解决这个问题,我们做出了两个贡献。首先,我们提出了 sgENERATE,这是一个评估管道,用于使用流行的 ARTIC 测序协议研究 sgRNA 检测工具的准确性和效果。使用 sgENERATE,我们评估了最近引入的从 ARTIC 测序数据中检测 sgRNA 的工具 periscope。我们发现 periscope 有偏向性的预测和高计算成本。其次,我们利用 sgENERATE 生成的信息,重新设计了 periscope 中的算法,使用来自规范 sgRNA 的多个参考来减轻对齐问题,并提高 sgRNA 和非规范 sgRNA 的检测能力。我们在模拟和生物测序数据集上评估了 periscope 和我们的算法 periscope_multi,并展示了 periscope_multi 增强的 sgRNA 检测准确性。我们的贡献推进了用于研究病毒 sgRNA 的工具,为病毒 RNA 发现的更准确和高效分析铺平了道路。

https://cdn.ncbi.nlm.nih.gov/pmc/blobs/572f/11417393/4c97b3793516/gkae687fig8.jpg
https://cdn.ncbi.nlm.nih.gov/pmc/blobs/572f/11417393/6382aa962f06/gkae687figgra1.jpg
https://cdn.ncbi.nlm.nih.gov/pmc/blobs/572f/11417393/5393c0819826/gkae687fig1.jpg
https://cdn.ncbi.nlm.nih.gov/pmc/blobs/572f/11417393/2251227f5a23/gkae687fig2.jpg
https://cdn.ncbi.nlm.nih.gov/pmc/blobs/572f/11417393/fe4419d26dea/gkae687fig3.jpg
https://cdn.ncbi.nlm.nih.gov/pmc/blobs/572f/11417393/e5a0cb1d912e/gkae687fig4.jpg
https://cdn.ncbi.nlm.nih.gov/pmc/blobs/572f/11417393/f098420aa3ef/gkae687fig5.jpg
https://cdn.ncbi.nlm.nih.gov/pmc/blobs/572f/11417393/6eb7e7eaa6b9/gkae687fig6.jpg
https://cdn.ncbi.nlm.nih.gov/pmc/blobs/572f/11417393/58716253efbf/gkae687fig7.jpg
https://cdn.ncbi.nlm.nih.gov/pmc/blobs/572f/11417393/4c97b3793516/gkae687fig8.jpg
https://cdn.ncbi.nlm.nih.gov/pmc/blobs/572f/11417393/6382aa962f06/gkae687figgra1.jpg
https://cdn.ncbi.nlm.nih.gov/pmc/blobs/572f/11417393/5393c0819826/gkae687fig1.jpg
https://cdn.ncbi.nlm.nih.gov/pmc/blobs/572f/11417393/2251227f5a23/gkae687fig2.jpg
https://cdn.ncbi.nlm.nih.gov/pmc/blobs/572f/11417393/fe4419d26dea/gkae687fig3.jpg
https://cdn.ncbi.nlm.nih.gov/pmc/blobs/572f/11417393/e5a0cb1d912e/gkae687fig4.jpg
https://cdn.ncbi.nlm.nih.gov/pmc/blobs/572f/11417393/f098420aa3ef/gkae687fig5.jpg
https://cdn.ncbi.nlm.nih.gov/pmc/blobs/572f/11417393/6eb7e7eaa6b9/gkae687fig6.jpg
https://cdn.ncbi.nlm.nih.gov/pmc/blobs/572f/11417393/58716253efbf/gkae687fig7.jpg
https://cdn.ncbi.nlm.nih.gov/pmc/blobs/572f/11417393/4c97b3793516/gkae687fig8.jpg

相似文献

1
Improved sub-genomic RNA prediction with the ARTIC protocol.利用 ARTIC 协议提高亚基因组 RNA 预测。
Nucleic Acids Res. 2024 Sep 23;52(17):e82. doi: 10.1093/nar/gkae687.
2
Subgenomic RNA identification in SARS-CoV-2 genomic sequencing data.在 SARS-CoV-2 基因组测序数据中鉴定亚基因组 RNA。
Genome Res. 2021 Apr;31(4):645-658. doi: 10.1101/gr.268110.120. Epub 2021 Mar 15.
3
Comparative analysis of bioinformatics tools to characterize SARS-CoV-2 subgenomic RNAs.比较分析生物信息学工具以描绘 SARS-CoV-2 的亚基因组 RNA。
Life Sci Alliance. 2023 Sep 25;6(12). doi: 10.26508/lsa.202302017. Print 2023 Dec.
4
sgDI-tector: defective interfering viral genome bioinformatics for detection of coronavirus subgenomic RNAs.sgDI-检测仪:用于检测冠状病毒亚基因组 RNA 的缺陷型干扰病毒基因组生物信息学。
RNA. 2022 Mar;28(3):277-289. doi: 10.1261/rna.078969.121. Epub 2021 Dec 22.
5
CoronaHiT: high-throughput sequencing of SARS-CoV-2 genomes.冠昊高通:高通量测序 SARS-CoV-2 基因组。
Genome Med. 2021 Feb 9;13(1):21. doi: 10.1186/s13073-021-00839-5.
6
A short plus long-amplicon based sequencing approach improves genomic coverage and variant detection in the SARS-CoV-2 genome.一种基于短片段和长片段扩增子的测序方法提高了 SARS-CoV-2 基因组的覆盖度和变异检测能力。
PLoS One. 2022 Jan 13;17(1):e0261014. doi: 10.1371/journal.pone.0261014. eCollection 2022.
7
Altered subgenomic RNA abundance provides unique insight into SARS-CoV-2 B.1.1.7/Alpha variant infections.亚基因组 RNA 丰度的改变为深入了解 SARS-CoV-2 B.1.1.7/Alpha 变体感染提供了独特的视角。
Commun Biol. 2022 Jul 5;5(1):666. doi: 10.1038/s42003-022-03565-9.
8
Secondary Structure of Subgenomic RNA M of SARS-CoV-2.SARS-CoV-2 的亚基因组 RNA M 的二级结构。
Viruses. 2022 Feb 4;14(2):322. doi: 10.3390/v14020322.
9
[Evaluation of Viral Subgenomic RNAs and Antigen Presence in SARS-CoV-2 PCR Positive Cases].[严重急性呼吸综合征冠状病毒2型聚合酶链反应阳性病例中病毒亚基因组RNA及抗原存在情况的评估]
Mikrobiyol Bul. 2024 Jul;58(3):309-320. doi: 10.5578/mb.20240037.
10
Targeting sgRNA N secondary structure as a way of inhibiting SARS-CoV-2 replication.靶向 sgRNA N 二级结构抑制 SARS-CoV-2 复制。
Antiviral Res. 2024 Aug;228:105946. doi: 10.1016/j.antiviral.2024.105946. Epub 2024 Jun 24.

本文引用的文献

1
Comparative analysis of bioinformatics tools to characterize SARS-CoV-2 subgenomic RNAs.比较分析生物信息学工具以描绘 SARS-CoV-2 的亚基因组 RNA。
Life Sci Alliance. 2023 Sep 25;6(12). doi: 10.26508/lsa.202302017. Print 2023 Dec.
2
sgRNAs: A SARS-CoV-2 emerging issue.单导向RNA:一个新型冠状病毒出现的问题。
Asp Mol Med. 2023;1:100008. doi: 10.1016/j.amolm.2023.100008. Epub 2023 Apr 16.
3
Efficient mapping of accurate long reads in minimizer space with mapquik.使用 mapquik 在 minimizer 空间中高效映射准确的长读段。
Genome Res. 2023 Jul;33(7):1188-1197. doi: 10.1101/gr.277679.123. Epub 2023 Jun 30.
4
A survey of mapping algorithms in the long-reads era.长读时代的图谱算法研究综述。
Genome Biol. 2023 Jun 1;24(1):133. doi: 10.1186/s13059-023-02972-3.
5
VirPipe: an easy-to-use and customizable pipeline for detecting viral genomes from Nanopore sequencing.VirPipe:一个用于从纳米孔测序中检测病毒基因组的易用且可定制的管道。
Bioinformatics. 2023 May 4;39(5). doi: 10.1093/bioinformatics/btad293.
6
BLEND: a fast, memory-efficient and accurate mechanism to find fuzzy seed matches in genome analysis.BLEND:一种在基因组分析中快速、节省内存且准确地查找模糊种子匹配项的机制。
NAR Genom Bioinform. 2023 Jan 20;5(1):lqad004. doi: 10.1093/nargab/lqad004. eCollection 2023 Mar.
7
ESPRESSO: Robust discovery and quantification of transcript isoforms from error-prone long-read RNA-seq data.ESPRESSO:从易错的长读 RNA-seq 数据中稳健地发现和定量转录本异构体。
Sci Adv. 2023 Jan 20;9(3):eabq5072. doi: 10.1126/sciadv.abq5072.
8
Strobealign: flexible seed size enables ultra-fast and accurate read alignment.Strobealign:灵活的种子大小可实现超快速和准确的读取对齐。
Genome Biol. 2022 Dec 15;23(1):260. doi: 10.1186/s13059-022-02831-7.
9
Analyzing viral epitranscriptomes using nanopore direct RNA sequencing.利用纳米孔直接 RNA 测序分析病毒的外转录组。
J Microbiol. 2022 Sep;60(9):867-876. doi: 10.1007/s12275-022-2324-4. Epub 2022 Aug 24.
10
Analysis of SARS-CoV-2 known and novel subgenomic mRNAs in cell culture, animal model, and clinical samples using LeTRS, a bioinformatic tool to identify unique sequence identifiers.利用 LeTRS 分析细胞培养物、动物模型和临床样本中的 SARS-CoV-2 已知和新型亚基因组 mRNAs,LeTRS 是一种用于识别独特序列标识符的生物信息学工具。
Gigascience. 2022 May 26;11. doi: 10.1093/gigascience/giac045.