Suppr超能文献

颞叶癫痫患者小脑白质和灰质异常:基于体素的形态学研究

Cerebellar white and gray matter abnormalities in temporal lobe epilepsy: a voxel-based morphometry study.

作者信息

Chen Yini, Pan Jingyu, Lin Andong, Sun Lu, Li Yufei, Lin Hongsen, Pu Renwang, Wang Ying, Qi Yiwei, Sun Bo

机构信息

Department of Radiology, The First Affiliated Hospital of Dalian Medical University, Dalian, China.

Department of Neurology, The First Affiliated Hospital, Dalian Medical University, Dalian, China.

出版信息

Front Neurosci. 2024 Aug 1;18:1417342. doi: 10.3389/fnins.2024.1417342. eCollection 2024.

Abstract

BACKGROUND

Previous structural neuroimaging studies linked cerebellar deficits to temporal lobe epilepsy (TLE). The functions of various cerebellar regions are increasingly being valued, and their changes in TLE patients warrant further in-depth investigation. In this study, we used the Spatially Unbiased Infratentorial (SUIT) toolbox with a new template to evaluate the cerebellar structural abnormalities in patients with TLE, and further explored the relationship between the changes of different cerebellar regions and cognition.

METHODS

Thirty-two patients with TLE were compared with 39 healthy controls (HC) matched according to age, gender, handedness, and education level. All participants underwent a high-resolution T1-weighted MRI scan on a 3.0 Tesla scanner. We used a voxel-based morphometry (VBM) approach utilizing the SUIT toolbox to provide an optimized and fine-grained exploration of cerebellar structural alterations associated with TLE.

RESULTS

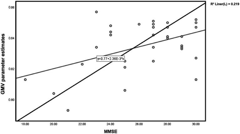
Compared with HC, TLE patients showed a significant reduction in the volume of gray matter in the Left lobule VI and white matter in the Right Crus II. In the TLE patient group, we conducted partial correlation analysis between the volumes of different cerebellar regions and cognitive rating scale scores, such as MMSE and MoCA. The volume of the Left lobule VI (GM) exhibited a positive correlation with the MMSE score, but no significant correlation was found with the MoCA score. On the other hand, there was no significant correlation observed between the volume of the Right Crus II (WM) and the two cognitive scale scores mentioned above. Furthermore, it was observed that the MMSE was more effective than the MoCA in identifying epilepsy patients with cognitive impairment.

CONCLUSION

This study supported previous research indicating that temporal lobe epilepsy (TLE) is linked to structural changes in the cerebellum, specifically affecting the volume of both gray and white matter. These findings offer valuable insights into the neurobiology of TLE and hold potential to inform the development of enhanced diagnostic methods and more effective treatment approaches.

摘要

背景

先前的结构神经影像学研究将小脑缺陷与颞叶癫痫(TLE)联系起来。各个小脑区域的功能越来越受到重视,其在TLE患者中的变化值得进一步深入研究。在本研究中,我们使用具有新模板的无偏颅后窝(SUIT)工具箱来评估TLE患者的小脑结构异常,并进一步探讨不同小脑区域变化与认知之间的关系。

方法

将32例TLE患者与39名根据年龄、性别、利手和教育水平匹配的健康对照者(HC)进行比较。所有参与者均在3.0特斯拉扫描仪上接受了高分辨率T1加权MRI扫描。我们使用基于体素的形态计量学(VBM)方法,利用SUIT工具箱对与TLE相关的小脑结构改变进行优化且精细的探索。

结果

与HC相比,TLE患者左小脑小叶VI的灰质体积和右小脑 Crus II的白质体积显著减少。在TLE患者组中,我们对不同小脑区域的体积与认知评定量表分数(如MMSE和MoCA)进行了偏相关分析。左小脑小叶VI(GM)的体积与MMSE分数呈正相关,但与MoCA分数无显著相关性。另一方面,右小脑Crus II(WM)的体积与上述两个认知量表分数之间未观察到显著相关性。此外,观察到MMSE在识别有认知障碍的癫痫患者方面比MoCA更有效。

结论

本研究支持先前的研究,表明颞叶癫痫(TLE)与小脑结构变化有关,特别是影响灰质和白质的体积。这些发现为TLE的神经生物学提供了有价值的见解,并有可能为改进诊断方法和更有效的治疗方法的开发提供信息。

https://cdn.ncbi.nlm.nih.gov/pmc/blobs/33e2/11328152/2c3f478184af/fnins-18-1417342-g001.jpg

文献AI研究员

20分钟写一篇综述,助力文献阅读效率提升50倍。

立即体验

用中文搜PubMed

大模型驱动的PubMed中文搜索引擎

马上搜索

文档翻译

学术文献翻译模型,支持多种主流文档格式。

立即体验