Suppr超能文献

美国急诊部门中患有传染病的无家可归者的治疗比较:回顾性研究。

Comparative treatment of homeless persons with an infectious disease in the US emergency department setting: a retrospective approach.

机构信息

Family Medicine, University of Michigan Health System, Ann Arbor, Michigan, USA.

Basic Sciences, Kansas City University, Kansas City, Missouri, USA.

出版信息

J Epidemiol Community Health. 2024 Nov 11;78(12):799-805. doi: 10.1136/jech-2023-220572.

Abstract

BACKGROUND

Research has long documented the increased emergency department usage by persons who are homeless compared with their housed counterparts, as well as an increased prevalence of infectious diseases. However, there is a gap in knowledge regarding the comparative treatment that persons who are homeless receive. This study seeks to describe this potential difference in treatment, including diagnostic services tested, procedures performed and medications prescribed.

METHODS

This study used a retrospective, cohort study design to analyse data from the 2007-2010 United States National Hospital Ambulatory Medical Care Survey database, specifically looking at the emergency department subset. Complex sample logistic regression analysis was used to compare variables, including diagnostic services, procedures and medication classes prescribed between homeless and private residence individuals seeking emergency department treatment for infectious diseases. Findings were then adjusted for potential confounding variables.

RESULTS

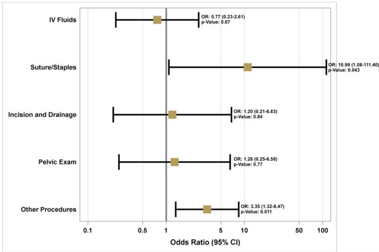
Compared with private residence individuals, persons who are homeless and presenting with an infectious disease were more likely (adjusted OR: 10.99, CI 1.08 to 111.40, p<0.05) to receive sutures or staples and less likely (adjusted OR: 0.29, CI 0.10 to 0.87, p<0.05) to be provided medications when presenting with an infectious disease in US emergency departments. Significant differences were also detected in prescribing habits of multiple anti-infective medication classes.

CONCLUSION

This study detected a significant difference in suturing/stapling and medication prescribing patterns for persons who are homeless with an infectious disease in US emergency departments. While some findings can likely be explained by the prevalence of specific infectious organisms in homeless populations, other findings would benefit from further research.

摘要

背景

研究长期以来记录了与有住房者相比,无家可归者在急诊科的使用量增加,以及传染病的发病率增加。然而,对于无家可归者接受的治疗比较,人们的认识还存在差距。本研究旨在描述这种治疗上的潜在差异,包括测试的诊断服务、进行的程序和开具的药物。

方法

本研究采用回顾性队列研究设计,分析了 2007-2010 年美国国家医院门诊医疗调查数据库的数据,特别是急诊科亚组的数据。使用复杂样本逻辑回归分析比较了无家可归者和私人住所个体在急诊科因传染病就诊时的变量,包括诊断服务、程序和开具的药物类别。然后对潜在的混杂变量进行了调整。

结果

与私人住所个体相比,患有传染病的无家可归者更有可能(调整后的 OR:10.99,CI 1.08 至 111.40,p<0.05)接受缝合或订书钉治疗,而不太可能(调整后的 OR:0.29,CI 0.10 至 0.87,p<0.05)获得药物治疗。在急诊科因传染病就诊时,无家可归者的多种抗感染药物类别的处方习惯也存在显著差异。

结论

本研究在美国急诊科检测到患有传染病的无家可归者在缝合/订书钉和药物处方模式方面存在显著差异。虽然一些发现可能可以用无家可归人群中特定传染病原体的流行情况来解释,但其他发现需要进一步研究。

https://cdn.ncbi.nlm.nih.gov/pmc/blobs/d954/11672003/aaaf1e85ebc7/jech-78-12-g001.jpg

文献检索

告别复杂PubMed语法,用中文像聊天一样搜索,搜遍4000万医学文献。AI智能推荐,让科研检索更轻松。

立即免费搜索

文件翻译

保留排版,准确专业,支持PDF/Word/PPT等文件格式,支持 12+语言互译。

免费翻译文档

深度研究

AI帮你快速写综述,25分钟生成高质量综述,智能提取关键信息,辅助科研写作。

立即免费体验