• 文献检索
  • 文档翻译
  • 深度研究
  • 学术资讯
  • Suppr Zotero 插件Zotero 插件
  • 邀请有礼
  • 套餐&价格
  • 历史记录
应用&插件
Suppr Zotero 插件Zotero 插件浏览器插件Mac 客户端Windows 客户端微信小程序
定价
高级版会员购买积分包购买API积分包
服务
文献检索文档翻译深度研究API 文档MCP 服务
关于我们
关于 Suppr公司介绍联系我们用户协议隐私条款
关注我们

Suppr 超能文献

核心技术专利:CN118964589B侵权必究
粤ICP备2023148730 号-1Suppr @ 2026

文献检索

告别复杂PubMed语法,用中文像聊天一样搜索,搜遍4000万医学文献。AI智能推荐,让科研检索更轻松。

立即免费搜索

文件翻译

保留排版,准确专业,支持PDF/Word/PPT等文件格式,支持 12+语言互译。

免费翻译文档

深度研究

AI帮你快速写综述,25分钟生成高质量综述,智能提取关键信息,辅助科研写作。

立即免费体验

小分子有机共熔物有望替代塑料。

Small molecule organic eutectics as candidates to replace plastics.

作者信息

Ryan Joshua L, Sosso Gabriele C, Bon Stefan A F

机构信息

Department of Chemistry, The University of Warwick Coventry CV4 7AL UK https://bonlab.info

出版信息

Chem Sci. 2024 Aug 12;15(35):14458-70. doi: 10.1039/d4sc02574a.

DOI:10.1039/d4sc02574a
PMID:39170723
原文链接:https://pmc.ncbi.nlm.nih.gov/articles/PMC11331394/
Abstract

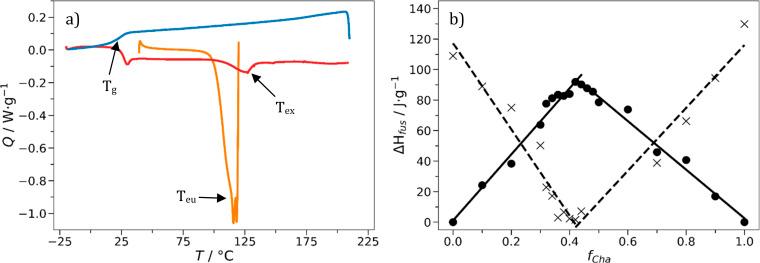
Legislative change and shifting consumer sentiment drive a need to replace polymers in certain products. Herein, we highlight that eutectic molecular glasses and liquids are promising but underutilized candidate materials. We formulate a series of hydrophobic eutectic molecular liquids and glasses by mixing their crystalline components. The eutectic composition of each mixture was determined by both differential scanning calorimetry (DSC) and UV-vis spectroscopic measurements, which were processed and analyzed using a trained partial least squares regression model. With product shelf-life in mind, the long-term stability (up to 14 months) of the amorphous materials towards crystallization was proven using powder X-ray diffraction (PXRD). Molecular dynamics (MD) simulations put forward potential design rules in terms of the physical stability of these glasses. Rheological properties were investigated from the perspective of processability. Low fragility indices were found for all liquids, aiding processability through glassblowing, fiber pulling, film formation and molding. We show that properties can be tailored by blending two different eutectic systems or simply adding a plasticizer. To demonstrate a potential application area, the 4-hydroxychalcone and bifonazole eutectic system was used as a matrix for controlled release studies of a model active ingredient.

摘要

立法变革和消费者观念的转变促使某些产品需要更换聚合物。在此,我们强调低共熔分子玻璃和液体是有前景但未得到充分利用的候选材料。我们通过混合其晶体成分配制了一系列疏水性低共熔分子液体和玻璃。每种混合物的低共熔组成通过差示扫描量热法(DSC)和紫外可见光谱测量来确定,这些测量数据使用经过训练的偏最小二乘回归模型进行处理和分析。考虑到产品保质期,使用粉末X射线衍射(PXRD)证明了无定形材料对结晶的长期稳定性(长达14个月)。分子动力学(MD)模拟从这些玻璃的物理稳定性方面提出了潜在的设计规则。从加工性能的角度研究了流变性能。发现所有液体的脆性指数都很低,有助于通过吹玻璃、拉纤维、成膜和成型等加工过程。我们表明,可以通过混合两种不同的低共熔体系或简单地添加增塑剂来调整性能。为了展示一个潜在的应用领域,4-羟基查耳酮和联苯苄唑低共熔体系被用作模型活性成分控释研究的基质。

https://cdn.ncbi.nlm.nih.gov/pmc/blobs/0cc5/11389661/77ae693d9f1e/d4sc02574a-f7.jpg
https://cdn.ncbi.nlm.nih.gov/pmc/blobs/0cc5/11389661/5be1254acde1/d4sc02574a-f1.jpg
https://cdn.ncbi.nlm.nih.gov/pmc/blobs/0cc5/11389661/f7e08bbdcb31/d4sc02574a-f2.jpg
https://cdn.ncbi.nlm.nih.gov/pmc/blobs/0cc5/11389661/0cc4ac33081b/d4sc02574a-f3.jpg
https://cdn.ncbi.nlm.nih.gov/pmc/blobs/0cc5/11389661/97a096c55030/d4sc02574a-f4.jpg
https://cdn.ncbi.nlm.nih.gov/pmc/blobs/0cc5/11389661/970ebca0e662/d4sc02574a-f5.jpg
https://cdn.ncbi.nlm.nih.gov/pmc/blobs/0cc5/11389661/a06b78d1969b/d4sc02574a-f6.jpg
https://cdn.ncbi.nlm.nih.gov/pmc/blobs/0cc5/11389661/77ae693d9f1e/d4sc02574a-f7.jpg
https://cdn.ncbi.nlm.nih.gov/pmc/blobs/0cc5/11389661/5be1254acde1/d4sc02574a-f1.jpg
https://cdn.ncbi.nlm.nih.gov/pmc/blobs/0cc5/11389661/f7e08bbdcb31/d4sc02574a-f2.jpg
https://cdn.ncbi.nlm.nih.gov/pmc/blobs/0cc5/11389661/0cc4ac33081b/d4sc02574a-f3.jpg
https://cdn.ncbi.nlm.nih.gov/pmc/blobs/0cc5/11389661/97a096c55030/d4sc02574a-f4.jpg
https://cdn.ncbi.nlm.nih.gov/pmc/blobs/0cc5/11389661/970ebca0e662/d4sc02574a-f5.jpg
https://cdn.ncbi.nlm.nih.gov/pmc/blobs/0cc5/11389661/a06b78d1969b/d4sc02574a-f6.jpg
https://cdn.ncbi.nlm.nih.gov/pmc/blobs/0cc5/11389661/77ae693d9f1e/d4sc02574a-f7.jpg

相似文献

1
Small molecule organic eutectics as candidates to replace plastics.小分子有机共熔物有望替代塑料。
Chem Sci. 2024 Aug 12;15(35):14458-70. doi: 10.1039/d4sc02574a.
2
Determination of Stable Co-Amorphous Drug-Drug Ratios from the Eutectic Behavior of Crystalline Physical Mixtures.通过结晶物理混合物的低共熔行为测定稳定的共无定形药物-药物比例
Pharmaceutics. 2019 Nov 24;11(12):628. doi: 10.3390/pharmaceutics11120628.
3
Drug Solubility Enhancement through the Preparation of Multicomponent Organic Materials: Eutectics of Lovastatin with Carboxylic Acids.通过制备多组分有机材料提高药物溶解度:洛伐他汀与羧酸的低共熔物
Pharmaceutics. 2019 Mar 9;11(3):112. doi: 10.3390/pharmaceutics11030112.
4
Role of Structure, Microenvironmental pH, and Speciation To Understand the Formation and Properties of Febuxostat Eutectics.了解非布司他共晶的形成和性质中结构、微环境 pH 值和形态的作用。
Mol Pharm. 2019 Nov 4;16(11):4610-4620. doi: 10.1021/acs.molpharmaceut.9b00716. Epub 2019 Oct 11.
5
The effect of electrostatic interactions on the formation of pharmaceutical eutectics.静电相互作用对药物共晶形成的影响。
Phys Chem Chem Phys. 2018 Nov 7;20(43):27361-27367. doi: 10.1039/c8cp05905e.
6
Eutectics as improved pharmaceutical materials: design, properties and characterization.低共熔物作为改良型药物材料:设计、性质与特征描述。
Chem Commun (Camb). 2014 Jan 28;50(8):906-23. doi: 10.1039/c3cc47521b.
7
Saquinavir-Piperine Eutectic Mixture: Preparation, Characterization, and Dissolution Profile.沙奎那韦 - 胡椒碱低共熔混合物:制备、表征及溶出曲线
Pharmaceutics. 2023 Oct 11;15(10):2446. doi: 10.3390/pharmaceutics15102446.
8
Rheology and molecular mobility of amorphous blends of citric acid and paracetamol.柠檬酸与对乙酰氨基酚无定形混合物的流变学与分子流动性
Eur J Pharm Biopharm. 2009 Jan;71(1):55-63. doi: 10.1016/j.ejpb.2008.06.029. Epub 2008 Jul 8.
9
Glass transition in binary eutectic systems: best glass-forming composition.二元共晶体系的玻璃化转变:最佳玻璃形成成分。
J Phys Chem B. 2010 Sep 23;114(37):12080-4. doi: 10.1021/jp104562c.
10
Experimental Determination and Theoretical Calculation of the Eutectic Composition of Cefuroxime Axetil Diastereomers.头孢呋辛酯对映异构体共晶组成的实验测定和理论计算。
AAPS PharmSciTech. 2017 Oct;18(7):2570-2578. doi: 10.1208/s12249-017-0739-8. Epub 2017 Feb 22.

本文引用的文献

1
Combining machine learning and molecular simulations to predict the stability of amorphous drugs.结合机器学习和分子模拟预测无定形药物的稳定性。
J Chem Phys. 2023 Jul 7;159(1). doi: 10.1063/5.0156222.
2
Biomolecular glass with amino acid and peptide nanoarchitectonics.含氨基酸和肽纳米结构的生物分子玻璃。
Sci Adv. 2023 Mar 15;9(11):eadd8105. doi: 10.1126/sciadv.add8105. Epub 2023 Mar 17.
3
Introduction to the Colloidal Glass Transition.胶体玻璃化转变简介。
ACS Macro Lett. 2017 Jan 17;6(1):27-34. doi: 10.1021/acsmacrolett.6b00826. Epub 2016 Dec 27.
4
Deep Eutectic Solvents: A Review of Fundamentals and Applications.深共熔溶剂:基础与应用综述。
Chem Rev. 2021 Feb 10;121(3):1232-1285. doi: 10.1021/acs.chemrev.0c00385. Epub 2020 Dec 14.
5
Pressure control using stochastic cell rescaling.使用随机细胞重标度进行压力控制。
J Chem Phys. 2020 Sep 21;153(11):114107. doi: 10.1063/5.0020514.
6
A centrifuge method to determine the solid-liquid phase behavior of eutectic mixtures.一种用于确定低共熔混合物固液相行为的离心方法。
J Chem Phys. 2018 Dec 14;149(22):224505. doi: 10.1063/1.5051515.
7
Determination of Fragility in Organic Small Molecular Glass Forming Liquids: Comparison of Calorimetric and Spectroscopic Data and Commentary on Pharmaceutical Importance.有机小分子玻璃形成液体的脆性测定:热分析和光谱数据的比较及对药物重要性的评论。
Mol Pharm. 2018 Mar 5;15(3):1248-1257. doi: 10.1021/acs.molpharmaceut.7b01068. Epub 2018 Feb 7.
8
Responses of reef building corals to microplastic exposure.造礁石珊瑚对微塑料暴露的响应。
Environ Pollut. 2018 Jun;237:955-960. doi: 10.1016/j.envpol.2017.11.006. Epub 2017 Nov 13.
9
Hybrid glasses from strong and fragile metal-organic framework liquids.由坚固且易碎的金属有机框架液体制成的混合眼镜。
Nat Commun. 2015 Aug 28;6:8079. doi: 10.1038/ncomms9079.
10
Strain induced fragility transition in metallic glass.金属玻璃中的应变诱导脆性转变。
Nat Commun. 2015 May 18;6:7179. doi: 10.1038/ncomms8179.