Suppr超能文献

羟基化α-FeO(0001)表面的稳定性

Stability of Hydroxylated α-FeO(0001) Surfaces.

作者信息

Chen Jiachen, Sharapa Dmitry I, Plessow Philipp N

机构信息

Institute of Catalysis Research and Technology, Karlsruhe Institute of Technology, Hermann-von-Helmholtz Platz 1, 76344 Eggenstein-Leopoldshafen, Germany.

出版信息

ACS Omega. 2024 Aug 5;9(33):35449-35457. doi: 10.1021/acsomega.4c02113. eCollection 2024 Aug 20.

Abstract

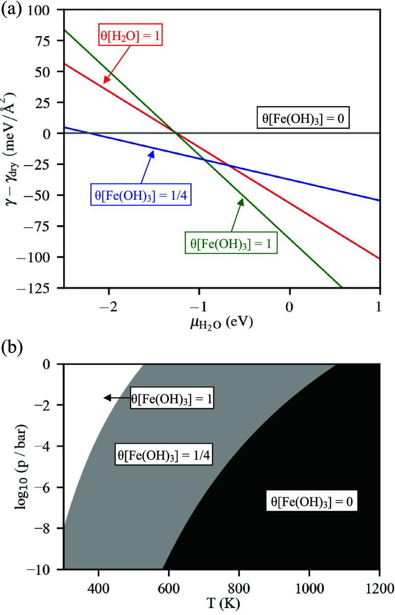
The stability of hydroxylated terminations of the 0001 surface of α-FeO (hematite) is investigated computationally using PBE + calculations with dispersion corrections. Hydroxylated surfaces with low OH concentrations are found to be most stable in a range of the chemical potential of water of -0.95 eV > μ > -2.22 eV. These surfaces can be described as isolated Fe(OH) groups adsorbed on the dry hematite surface and are predicted to be the exposed termination of the 0001 surface in a wide range of relevant experimental conditions. Most investigated reduced surfaces, containing Fe in oxidation state +2, are only stable in a range of the chemical potential of oxygen μ < -2.44 eV, where bulk hematite is less than magnetite. The only reduced surface stable at a higher μ is derived from the most stable nonreduced hydroxylated surfaces by removing a single OH group per unit cell.

摘要

使用带有色散校正的PBE + 计算方法,通过计算研究了α-FeO(赤铁矿)0001表面羟基化末端的稳定性。发现在水的化学势范围为-0.95 eV > μ > -2.22 eV时,低OH浓度的羟基化表面最稳定。这些表面可描述为吸附在干燥赤铁矿表面的孤立Fe(OH)基团,并预计在广泛的相关实验条件下是0001表面的暴露末端。大多数研究的还原表面,其中Fe的氧化态为+2,仅在氧的化学势范围μ < -2.44 eV时稳定,此时块状赤铁矿比磁铁矿少。唯一在较高μ下稳定的还原表面是通过每个晶胞去除一个OH基团,从最稳定的非还原羟基化表面衍生而来。

https://cdn.ncbi.nlm.nih.gov/pmc/blobs/8912/11339807/d07de929a3a0/ao4c02113_0001.jpg

文献检索

告别复杂PubMed语法,用中文像聊天一样搜索,搜遍4000万医学文献。AI智能推荐,让科研检索更轻松。

立即免费搜索

文件翻译

保留排版,准确专业,支持PDF/Word/PPT等文件格式,支持 12+语言互译。

免费翻译文档

深度研究

AI帮你快速写综述,25分钟生成高质量综述,智能提取关键信息,辅助科研写作。

立即免费体验